数据结构和算法——快速排序(算法概述、选主元、子集划分、小规模数据的处理、算法实现)

简介: 数据结构和算法——快速排序(算法概述、选主元、子集划分、小规模数据的处理、算法实现)

算法概述

图示

快速排序和归并排序有一些相似,都是用到了分而治之的思想:

伪代码

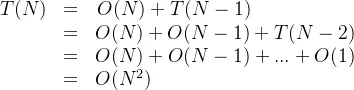
通过初步的认识,我们能够知道快速排序算法最好的情况应该是:

每次都正好中分,即每次选主元都为元素的中位数的位置。

最好情况的时间复杂度为

选主元

假设我们把第一个元素设为主元,看以下的一种特殊情况:

选了第一个元素为主元之后,扫描所有元素所用时间复杂度为O(N),然后还有N-1个元素要进行递归,时间复杂度记为T(N-1),所以最终它的时间复杂度为:

既然这种方法不行,那如果我们随机取pivot呢?

很显然,rand()函数的时间效率是很低的,当然也不考虑。

所以我们就想,

取头、中、尾的中位数,例如取三个数的中位数:8、12、3的中位数就是8;或者五个数选取中位数等等。

下面就是三个数中选取中位数的算法:

ElementType Median3( ElementType A[], int Left, int Right )
{ 
    int Center = (Left+Right) / 2;
    if ( A[Left] > A[Center] )
        Swap( &A[Left], &A[Center] );
    if ( A[Left] > A[Right] )
        Swap( &A[Left], &A[Right] );
    if ( A[Center] > A[Right] )
        Swap( &A[Center], &A[Right] );
    /* 此时A[Left] <= A[Center] <= A[Right] */
    Swap( &A[Center], &A[Right-1] ); /* 将基准Pivot藏到右边*/
    /* 只需要考虑A[Left+1] … A[Right-2] */
    return  A[Right-1];  /* 返回基准Pivot */
}

选好基准之后,我们就进入子集的划分。

子集划分

注意:如果有元素正好等于pivot时,则停下来进行交换。

小规模数据的处理

快速排序有一个比较明显的问题,那就是用递归,而递归需要频繁地调用栈;在小规模数据的处理上不占优势。


也就是说,对小规模的数据(例如N不到100)可能还不如插入排序快。


解决方案


  • 当递归的数据规模充分小时,则停止递归,直接调用简单排序(例如插入排序)
  • 在程序中定义一个Cutoff的阈值

算法实现

ElementType Median3( ElementType A[], int Left, int Right )
{ 
    int Center = (Left+Right) / 2;
    if ( A[Left] > A[Center] )
        Swap( &A[Left], &A[Center] );
    if ( A[Left] > A[Right] )
        Swap( &A[Left], &A[Right] );
    if ( A[Center] > A[Right] )
        Swap( &A[Center], &A[Right] );
    /* 此时A[Left] <= A[Center] <= A[Right] */
    Swap( &A[Center], &A[Right-1] ); /* 将基准Pivot藏到右边*/
    /* 只需要考虑A[Left+1] … A[Right-2] */
    return  A[Right-1];  /* 返回基准Pivot */
}
 
void Qsort( ElementType A[], int Left, int Right )
{ /* 核心递归函数 */ 
     int Pivot, Cutoff, Low, High;
      
     if ( Cutoff <= Right-Left ) { /* 如果序列元素充分多,进入快排 */
          Pivot = Median3( A, Left, Right ); /* 选基准 */ 
          Low = Left; High = Right-1;
          while (1) { /*将序列中比基准小的移到基准左边,大的移到右边*/
               while ( A[++Low] < Pivot ) ;
               while ( A[--High] > Pivot ) ;
               if ( Low < High ) Swap( &A[Low], &A[High] );
               else break;
          }
          Swap( &A[Low], &A[Right-1] );   /* 将基准换到正确的位置 */ 
          Qsort( A, Left, Low-1 );    /* 递归解决左边 */ 
          Qsort( A, Low+1, Right );   /* 递归解决右边 */  
     }
     else InsertionSort( A+Left, Right-Left+1 ); /* 元素太少,用简单排序 */ 
}
 
void QuickSort( ElementType A[], int N )
{ /* 统一接口 */
     Qsort( A, 0, N-1 );
}

end



目录
相关文章
|
6月前
|
机器学习/深度学习 算法 前端开发
别再用均值填充了!MICE算法教你正确处理缺失数据
MICE是一种基于迭代链式方程的缺失值插补方法,通过构建后验分布并生成多个完整数据集,有效量化不确定性。相比简单填补,MICE利用变量间复杂关系,提升插补准确性,适用于多变量关联、缺失率高的场景。本文结合PMM与线性回归,详解其机制并对比效果,验证其在统计推断中的优势。
1525 11
别再用均值填充了!MICE算法教你正确处理缺失数据
|
8月前
|
机器学习/深度学习 Dragonfly 人工智能
基于蜻蜓算法优化支持向量机(DA-SVM)的数据多特征分类预测研究(Matlab代码实现)
基于蜻蜓算法优化支持向量机(DA-SVM)的数据多特征分类预测研究(Matlab代码实现)
178 1
|
7月前
|
传感器 机器学习/深度学习 算法
【使用 DSP 滤波器加速速度和位移】使用信号处理算法过滤加速度数据并将其转换为速度和位移研究(Matlab代码实现)
【使用 DSP 滤波器加速速度和位移】使用信号处理算法过滤加速度数据并将其转换为速度和位移研究(Matlab代码实现)
440 1
|
6月前
|
Java 数据挖掘 数据处理
(Pandas)Python做数据处理必选框架之一!(一):介绍Pandas中的两个数据结构;刨析Series:如何访问数据;数据去重、取众数、总和、标准差、方差、平均值等;判断缺失值、获取索引...
Pandas 是一个开源的数据分析和数据处理库,它是基于 Python 编程语言的。 Pandas 提供了易于使用的数据结构和数据分析工具,特别适用于处理结构化数据,如表格型数据(类似于Excel表格)。 Pandas 是数据科学和分析领域中常用的工具之一,它使得用户能够轻松地从各种数据源中导入数据,并对数据进行高效的操作和分析。 Pandas 主要引入了两种新的数据结构:Series 和 DataFrame。
637 0
|
7月前
|
机器学习/深度学习 算法 调度
14种智能算法优化BP神经网络(14种方法)实现数据预测分类研究(Matlab代码实现)
14种智能算法优化BP神经网络(14种方法)实现数据预测分类研究(Matlab代码实现)
522 0
|
9月前
|
传感器 机器学习/深度学习 分布式计算
卡尔曼滤波的多传感器数据融合算法
卡尔曼滤波的多传感器数据融合算法
1400 0
|
11月前
|
存储 监控 算法
基于 C++ 哈希表算法实现局域网监控电脑屏幕的数据加速机制研究
企业网络安全与办公管理需求日益复杂的学术语境下,局域网监控电脑屏幕作为保障信息安全、规范员工操作的重要手段,已然成为网络安全领域的关键研究对象。其作用类似网络空间中的 “电子眼”,实时捕获每台电脑屏幕上的操作动态。然而,面对海量监控数据,实现高效数据存储与快速检索,已成为提升监控系统性能的核心挑战。本文聚焦于 C++ 语言中的哈希表算法,深入探究其如何成为局域网监控电脑屏幕数据处理的 “加速引擎”,并通过详尽的代码示例,展现其强大功能与应用价值。
216 2
|
7月前
|
存储 监控 算法
企业电脑监控系统中基于 Go 语言的跳表结构设备数据索引算法研究
本文介绍基于Go语言的跳表算法在企业电脑监控系统中的应用,通过多层索引结构将数据查询、插入、删除操作优化至O(log n),显著提升海量设备数据管理效率,解决传统链表查询延迟问题,实现高效设备状态定位与异常筛选。
186 3
|
6月前
|
机器学习/深度学习 人工智能 算法
【基于TTNRBO优化DBN回归预测】基于瞬态三角牛顿-拉夫逊优化算法(TTNRBO)优化深度信念网络(DBN)数据回归预测研究(Matlab代码实现)
【基于TTNRBO优化DBN回归预测】基于瞬态三角牛顿-拉夫逊优化算法(TTNRBO)优化深度信念网络(DBN)数据回归预测研究(Matlab代码实现)
259 0
|
7月前
|
算法 数据挖掘 定位技术
基于密度的聚类算法能够在含有噪声的数据集中识别出任意形状和大小的簇(Matlab代码实现)
基于密度的聚类算法能够在含有噪声的数据集中识别出任意形状和大小的簇(Matlab代码实现)
166 1