深度强化学习从入门到大师:简单介绍A3C (第五部分)

简介: 本文为 AI 研习社编译的技术博客,原标题 :An intro to Advantage Actor Critic methods: let’s play So
TB1lhABB7voK1RjSZPfXXXPKFXa.jpg

本文为 AI 研习社编译的技术博客,原标题 :

An intro to Advantage Actor Critic methods: let’s play Sonic the Hedgehog!

作者 | Thomas Simonini

翻译、校对 | 斯蒂芬•二狗子

审核 |  邓普斯•杰弗

整理 | 菠萝妹

原文链接:

https://medium.freecodecamp.org/an-intro-to-advantage-actor-critic-methods-lets-play-sonic-the-hedgehog-86d6240171d

深度强化学习从入门到大师:简单介绍A3C (第五部分)

TB1UuIDB7voK1RjSZFNXXcxMVXa.jpg

从本系列课程开始,我们研究了两种不同的强化学习方法:

基于数值的方法(Q-learning,Deep Q-learning):该方法是学习一个值函数,该值函数将每组状态、动作映射到一个数值。多亏了这个方法, 可以找到了每个状态的最佳行动 - 具有最大Q值的行动。当行动个数有限时,该方法很有效。

基于策略函数的方法(策略梯度方法之REINFORCE 算法):我们不使用值函数,而直接优化策略。当动作空间是连续的或随机时,这很有效。该方法的主要问题是找到一个好的评分函数来计算策略的好坏程度。我们使用episode的总奖赏作为评分函数(每个Episode中获得的奖励之和)。

但这两种方法都有很大的缺点。这就是为什么今天我们将研究一种新型的强化学习方法,我们称之为“混合方法”: Actor Critic(AC)。我们将用到两个神经网络:

衡量所采取的行动的好坏的评价器(critic)(基于值函数)

控制智能体行为方式的行动者(actor)(基于策略)

掌握这种架构对于理解最先进的算法(如近端策略优化Proximal Policy Optimization,又名PPO)至关重要。PPO是基于Advantage Actor Critic(优势行动者评论家算法)。

本文中,你将通过Advantage Actor Critic(A2C)来实现一个可以学习如何玩刺猬索尼克的智能体!

  寻找更好的学习模型

策略梯度存在的问题

策略梯度法有一个很大的问题是,当使用蒙特卡洛策略梯度方法时,会等到整个情景episode结束后计算奖励。据此可以得出结论,若结果回报值很高R(t),整个情景中所做的行动都被是指定为是有利的(行动),即使有些行动非常糟糕。

TB1BiAJB3HqK1RjSZFEXXcGMXXa.jpg

正如我们在这个例子中所看到的,尽管A3 是一个不好的行动(会造成负奖励),总回报(total reward)的重要评分使得所有被执行过的行动的策略参数被平均。

因此,学习模型要获得最优策略,就需要大量样本。因此导致训练过程耗时,因为这需要花费大量的时间来收敛loss函数。

那么,如果我们可以在每个时间步对参数进行更新,结果会有什么不同?

  介绍Actor Critic (表演者-评论家)

表演者-评论家模型是一个更好的得分函数。我们不会像在蒙特卡洛这种传统强化学习方法那样,等到情景episode结束才更新参数,而是在每个步骤进行更新(即时序差分学习,TD学习)。

TB1JiAJB3HqK1RjSZFEXXcGMXXa.jpg

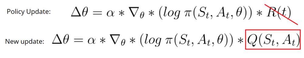
因为每个时间步都进行参数更新,所以不再使用总回报R(t)。我们还需要训练一个与值函数近似的评论家模型(记得,值函数是通过给定状态和动作计算的最大未来回报的期望值)。这个值函数被用来代替使用策略梯度时的奖励函数。

ctor Critic 是如何运行的

想一下,你和你的朋友一起玩视频游戏,你朋友一直回应你。你就是表演者,你朋友是评论家。

TB1cKI2B4jaK1RjSZKzXXXVwXXa.jpg

刚开始,你不会玩,所以你随机尝试一些行动。评论家(你朋友)将对你的行为的评价反馈给你。

通过在反馈中学习,你不断更新玩游戏的策略,并玩的越来越好了。

另一方面,你的朋友(评论家)也会更新他们提供反馈的方式,以便下次更好。

在我们看来,这个表演者-评论家的思想需要两个神经网络。我们给出两者表达式:

TB1XeADBYvpK1RjSZFqXXcXUVXa.png

ACTOR:一个控制智能体行为的策略函数

TB1J1ACBVzqK1RjSZFvXXcB7VXa.png

CRITIC:一个衡量这些行为好坏程度的值函数

两个模型同时运行。

因为我们有两个模型(Actor和Critic)需要被训练,所以需要分别优化两组权重(用于行动的 和用于评论的w)

TB1d_MHB3HqK1RjSZJnXXbNLpXa.jpg

Actor Critic表演-评论过程

TB10VcAB4TpK1RjSZFGXXcHqFXa.png

在每个时间步,我们从环境中获取当前状态(St),并将其作为输入传到Actor表演者和Critic评论家两模型中。

TB1_XcAB4TpK1RjSZFGXXcHqFXa.png

我们的策略获得状态,输出一行动(At),并再接收一个新状态(St+1)和奖励(Rt+1)。

多亏那样:

评论家模型计算当前状态下采用某行动的得分q

表演者模型使用这个q值更新自身的策略权重

TB17yIDBVzqK1RjSZSgXXcpAVXa.png TB1V5EFB4TpK1RjSZFMXXbG_VXa.png

因为这一步的参数更新,使得在新状态St+1到来时,Actor可以获取到对应的行动At+1,随后,Critic更新他的参数值。

TB1_usCB4TpK1RjSZR0XXbEwXXa.png

  A2C 和 A3C

介绍平稳地学习的优势函数Advantage function

在 深度Q学习的改进 这篇文章中我们了解,基于值函数的方法具有大的训练波动。

这里我们讨论了优势函数的使用,就是为了缓解这个问题。

优势函数定义如下:

TB1RhUzBVYqK1RjSZLeXXbXppXa.png

该函数给出相比在当前状态下采用平均行动(动作值函数)的优势值。换句话说,如果我采取这个行动,该函数计算我这个行动得到的奖励。

(注:优势函数的目的是,使用动作值函数减去了对应状态拥有的基准值,使之变为动作带来的增益,从而因而降低因状态基准值的变化引起的方差)

如果 A(s,a) > 0: 梯度将朝梯度的那个方向更进一步。

如果 A(s,a) < 0:(我们的行为比该状态的平均值更差),梯度将朝相反的方向进一步。

实现这个优势函数的需要两个值函数-- Q(s,a) 和 V(s) 。幸运的是,我们可以使用 差分时间序列误差TD Error 作为该优势函数的(无偏)估计。

TB1d4g4B4naK1RjSZFtXXbC2VXa.jpg

(Q(s,a)是动作值函数,V(s)也就是在状态s下所有动作值函数动作概率的期望)

  两种不同的策略:异步或同步

我们有两种不同的策略来实现Actor Critic智能体:

A2C(又名优势演员评论家)

A3C(又名异步优势演员评论家)

因此,我们使用与A2C,而不是A3C。如果您想看到完整的A3C实现,请查看 Arthur Juliani的优秀文章  A3C  和  Doom 实现。

在A3C中,我们不使用经验回放,因为这需要大量内存。不同的是,我们可以并行的在多个环境实例上异步执行不同的智能体。(可多核CPU跑)每个work(网络模型的副本)将异步地更新全局网络。

另一方面,A2C与A3C的唯一区别是A2C是同步更新全局网络。我们等到所有works完成训练后,计算他们的梯度的均值,以更新全局网络参数。

选择A2C还是A3C?

这篇很棒的文章解释了A3C存在的问题 。由于A3C的异步特性,一些works(智能体的副本)使用较旧版本的参数。因此,这样几个work聚合地更新参数不是最好的。

这就是为什么A2C在更新全局参数之前等待每个actor模型完成他们网络的各自部分的经验训练的原因。然后,我们重新开始一个使用各自部分经验的新训练,并且所有并行模型具有相同的新参数。

TB1.VIEB9zqK1RjSZFpXXakSXXa.jpg

此架构思想受益于这篇文章

因此,训练过程将使得模型间更密切联系,并且训练更快速度。

实现一个玩刺猬索尼克的A2C智能体

实际情况中的A2C

实际上,正如 Reddit帖子中 所解释的那样 , 因为A2C的同步性,所有我们不需要 A2C 的不同版本(不同的work)。

A2C中的每个work都具有相同的权重集,与A3C不同的是,A2C同时更新所有work(的参数)。

实际上,我们创建了多种版本的环境(比如八个),然后将它们并行地执行。

该过程如下:

TB1yS3CB6TpK1RjSZKPXXa3UpXa.jpg

使用“multiprocessing”库创建一个具有n个环境的向量

创建一个对象“runner”,用来并行处理不同的环境

使用两种网络模型:

step_model:  从环境中产生经验样本

train_model:  训练经验样本

当 runner 迈出一步时(单步模型),将分别从n个环境中的每个环境执行一个步骤,并输出了一批经验样本。

然后使用 train_model 和在这一批经验样本上计算(所有work)梯度。

最后,使用计算得出的新权重更新单步模型。

请记住,这样一次计算所有梯度和每个 work 分别收集数据,并计算每个工人的梯度,然后求全局平均值是一样的。为什么?因为求导数的和(梯度的总和)与求和的导数相同。但求和的导数是使用GPU更好的方式(节省训练时间)。

刺猬索尼克的A2C

目前,我们了解了A2C一般的运行方式,我们可以开发这个玩索尼克的A2C智能体了!这个视频展示了我们的智能体训练10分钟(左)和训练10小时(右)的行为对比。

A2C Agent playing Sonic the Hedgehog (Left 1 update // Right 260)

实现代码在GitHub上能找到(here), 代码的细节在notebook中给出了解释。我还给你一个在GPU上训练了10+小时的模型。

这个代码实现比以前的代码要复杂好多。我们要开始复现最先进的算法,因此需要代码的更高的效率。这也是为什么,我们将整个code分为不同对对象和文件来实现代码。

Understand A2C implementation playing Sonic the Hedgehog

就像这样!你刚刚创建了一个学习玩刺猬索尼克的智能体。 好棒!我们可以看到,在10小时的训练中,智能体还是不理解“looping”,所以我们需要使用更稳定的架构:PPO。

花点时间来想想我们从第一节课到现在取得的所有成就:从简单的文本游戏(OpenAI taxi-v2)到像毁灭战士、索尼克这些复杂的游戏,我们采用越来越复杂的模型结构。这真是极好的!

下次,我们会来了解近端策略梯度,这个结构赢得了 OpenAI 迁移学习竞赛,我们将训练智能体玩索尼克2和索尼克3的全部关卡。

不要忘了,亲自写写代码实现每个部分。试着添加epochs,改模型架构,调整学习率等等。尝试是最好的学习方式,玩的愉快~

想要继续查看该篇文章相关链接和参考文献?

长按链接点击打开或点击底部【深度强化学习从入门到大师:简单介绍A3C(第五部分)】:

https://ai.yanxishe.com/page/TextTranslation/1407

【点击查看本系列文章】

深度强化学习从入门到大师:简介篇(第一部分)

深度强化学习从入门到大师:通过Q学习进行强化学习(第二部分)

深度强化学习从入门到大师:以Doom为例一文带你读懂深度Q学习(第三部分 - 上)

深度强化学习从入门到大师:进一步了解深度Q学习(第三部分 - 下)

深度强化学习从入门到大师:以 Cartpole 和 Doom 为例介绍策略梯度 (第四部分)

AI研习社每日更新精彩内容,观看更多精彩内容:雷锋网雷锋网(公众号:雷锋网)雷锋网

7分钟了解Tensorflow.js

在Keras中理解和编程ResNet

初学者怎样使用Keras进行迁移学习

如果你想学数据科学,这 7 类资源千万不能错过

等你来译:

深度学习目标检测算法综述

一文教你如何用PyTorch构建 Faster RCNN

高级DQNs:利用深度强化学习玩吃豆人游戏

用于深度强化学习的结构化控制网络 (ICML 论文讲解)

目录
相关文章
|
机器学习/深度学习 PyTorch 算法框架/工具
目标检测实战(一):CIFAR10结合神经网络加载、训练、测试完整步骤
这篇文章介绍了如何使用PyTorch框架,结合CIFAR-10数据集,通过定义神经网络、损失函数和优化器,进行模型的训练和测试。
790 2
目标检测实战(一):CIFAR10结合神经网络加载、训练、测试完整步骤
|
前端开发 关系型数据库 MySQL
开源云真机平台-Sonic应用实践
Sonic,一站式开源分布式集群云真机测试平台,致力服务于中小企业的客户端UI测试。 Sonic当前的愿景是能帮助中小型企业解决在客户端自动化或远控方面缺少工具和测试手段的问题。
开源云真机平台-Sonic应用实践
|
数据可视化 PyTorch 算法框架/工具
零一万物Yi-34B-Chat 微调模型及量化版开源!魔搭社区最佳实践教程!
11月24日,零一万物基正式发布并开源微调模型 Yi-34B-Chat,可申请免费商用。同时,零一万物还为开发者提供了 4bit/8bit 量化版模型,Yi-34B-Chat 4bit 量化版模型可以直接在消费级显卡(如RTX3090)上使用。魔搭社区已支持下载、推理训练体验,并推出相关教程,欢迎大家来玩!
|
前端开发 JavaScript 小程序
7 款最棒的开源 React UI 库测评 - 特别针对国内使用场景推荐
优秀的 React UI 组件库,帮我们节省开发时间,提高开发效率,统一设计语言。更棒的是内置的功能复杂,我们自己很难处理的常用组件,比如表格、表单、富文本编辑器、时间日期选择器、实时拖拽组件等,再进一步,还有帮我们把组件的轮子装好的 React admin 后台管理系统。本文推荐 7 款适用于中文使用者习惯的开源 React UI 库,特别针对国内使用场景推荐。
1492 0
|
机器学习/深度学习 PyTorch 算法框架/工具
【PyTorch实战演练】使用Cifar10数据集训练LeNet5网络并实现图像分类(附代码)
【PyTorch实战演练】使用Cifar10数据集训练LeNet5网络并实现图像分类(附代码)
922 0
|
10月前
|
API
揭秘电商API接口:商品订单支付全解析
电商API接口种类繁多,涵盖商品、订单、支付、营销、用户等多方面。常见的有:商品相关(如item_get获取详情、item_search搜索商品)、订单相关(如buyer_order_list获取订单列表)、支付接口(处理支付请求)、营销相关(优惠券、促销活动接口)、用户相关(用户信息、授权、地址管理)及其他常用接口(评价、上下架、购物车管理等)。不同平台提供的API可能有所差异,需参考具体文档。
384 0
|
存储 安全 测试技术
【计算机三级数据库技术】第4章 数据库应用系统功能设计与实现--附思维导图
重点介绍了数据库应用系统(DBAS)的功能设计和实现。
502 1
|
Ubuntu 编译器 C语言
Ubuntu 源码编译指定版本 make:神秘代码背后的激情冒险,等你来战!
【8月更文挑战第19天】在Ubuntu中编译指定版本的`make`工具是一项高级技巧,能让你针对特定需求定制软件。首先确保已安装`build-essential`等必要组件。下载所需版本源码后,遵循README指南配置与编译。使用`./configure`检测环境,`make`编译,最后`sudo make install`安装。面对问题如缺失依赖或编译选项不当,需耐心解决。对于大型项目,可利用多核加速编译,如`make -j 4`。这一过程虽具挑战,却能显著提升软件性能与功能适配。
347 2
|
运维 负载均衡 算法
负载均衡 6 大使用场景
本文翻译自国外论坛 medium,原文地址:medium.com/@maheshsain…,文章作者:Mahesh Saini 在如今常见微服务系统中,负载均衡组件是一种将流量分配到多个服务的技术,目的是提高系统的性能和可用性。负载均衡有两种常见的模式:服务端模式和客户端模式。服务端模式使用独立的应用程序(如 Nginx)来转发请求,客户端模式使用类库(如 Ribbon、Spring Cloud LoadBalancer)来选择后端服务。负载均衡还有不同的算法,如轮询、随机、最小连接数、区域等。本文将给大家介绍在微服务系统中负载均衡组件常见使用场景
1370 1
|
自动驾驶 算法 5G
5G中的超可靠低延迟通信(URLLC)
【8月更文挑战第31天】
2706 0

热门文章

最新文章

下一篇
开通oss服务