C4.5决策树算法概念学习

简介: 数据挖掘一般是指从大量的数据中自动搜索隐藏于其中的有着特殊关系性的信息的过程。 •分类和聚类 •分类(Classification)就是按照某种标准给对象贴标签,再根据标签来区分归类,类别数不变。 •聚类(clustering)是指根据“物以类聚”的原理,将本身没有类别的样本聚集成不同的组,这样的一组数据对象的集合叫做簇,并且对每一个这样的簇进行描述的过程。

数据挖掘一般是指从大量的数据中自动搜索隐藏于其中的有着特殊关系性的信息的过程。

•分类和聚类
•分类(Classification) 就是按照某种标准给对象贴标签,再根据标签来区分归类,类别数不变
•聚类(clustering)是 指根据“物以类聚”的原理,将本身没有类别的样本聚集成不同的组,这样的一组数据对象的集合叫做簇,并且对每一个这样的簇进行描述的过程。
 
C4.5算法应该解决的问题有哪些呢?
一、如何选择测试属性构造决策树?
二、对于连续变量决策树中的测试是怎样的呢?
三、如何选择处理连续变量(阈值)?
四、如何终止树的增长?
五、如何确定叶子节点的类?
决策树:
 
如何选择测试属性构造决策树?
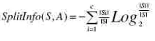
用信息增益率来选择属性
•这个指标实际上就等于 增益/熵,之所以采用这个指标是为了克服 采用增益作为衡量标准的缺点, 采用增益作为衡量标准会导致分类树倾向于优先选择那些具有比较多的分支的测试,也就是 选择取值较多的属性,这种倾向需要被抑制
                                                                                            
•其中,S1到Sc是c个不同值的属性A分割S而形成的c个样本子集。如按照属性A把S集(含30个用例)分成了10个用例和20个用例两个集合则SplitInfo(S,A)=-1/3*log(1/3)-2/3*log(2/3)
                                                                                            
•很明显,我们看到这个例子中对于连续变量,所有连续变量的测试分支都是2条,因此在C4.5算法中, 连续变量的分支总是两条,分支其测试分支分别对应着{<=θ,>θ},θ对应着分支阈值,但是这个θ怎么确定呢?
 
•很简单,把 需要处理的样本(对应根节点)或样本子集(对应子树)按照连续变量的大小从小到大进行排序,假设该属性对应的不同的属性值一共有N个,那么总共有N-1个可能的候选分割阈值点, 每个候选的分割阈值点的值为上述排序后的属性值链表中两两前后连续元素的中点,那么我们的任务就是从这个N-1个候选分割阈值点中选出一个,使得前面提到的信息论标准最大。举个例子,对于Golf数据集,我们来处理温度属性,来选择合适的阈值。首先按照温度大小对对应样本进行排序如下:
                                
•那么可以看到有13个可能的候选阈值点,比如middle[64,65], middle[65,68]….,middle[83,85]。那么最优的阈值该选多少呢?应该是middle[71,72],如上图中红线所示。为什么呢?如下计算:
                                
•通过上述计算方式,0.939是最大的,因此测试的增益是最小的。( 测试的增益和测试后的熵是成反比的,这个从后面的公式可以很清楚的看到)。根据上面的描述,我们需要对每个候选分割阈值进行增益或熵的计算才能得到最优的阈值,我们需要算N-1次增益或熵(对应温度这个变量而言就是13次计算)。能否有所改进呢?少算几次,加快速度。
 
 
如何终止树的增长?
•前面提到 树的增长实际上是一个递归过程,那么这个递归什么时候到达终止条件退出递归呢?有两种方式,第一种方式是如果某一节点的分支所覆盖的样本都属于同一类的时候,那么递归就可以终止,该分支就会产生一个叶子节点.还有一种方式就是,如果某一分支覆盖的样本的个数如果小于一个阈值,那么也可产生叶子节点,从而终止树的增长。
 
如何确定叶子节点的类?
•Tree-Growth终止的方式有2种,对于第一种方式,叶子节点覆盖的样本都属于同一类,那么这种情况下叶子节点的类自然不必多言。对于第二种方式,叶子节点覆盖的样本未必属于同一类,直接一点的方法就是,该叶子节点所覆盖的样本哪个类占大多数,那么该叶子节点的类别就是那个占大多数的类。
 
 
借鉴于:大数据经典算法c4.5讲解
目录
相关文章
|
4月前
|
机器学习/深度学习 算法 数据挖掘
没发论文的注意啦!重磅更新!GWO-BP-AdaBoost预测!灰狼优化、人工神经网络与AdaBoost集成学习算法预测研究(Matlab代码实现)
没发论文的注意啦!重磅更新!GWO-BP-AdaBoost预测!灰狼优化、人工神经网络与AdaBoost集成学习算法预测研究(Matlab代码实现)
151 0
|
2月前
|
存储 机器学习/深度学习 监控
网络管理监控软件的 C# 区间树性能阈值查询算法
针对网络管理监控软件的高效区间查询需求,本文提出基于区间树的优化方案。传统线性遍历效率低,10万条数据查询超800ms,难以满足实时性要求。区间树以平衡二叉搜索树结构,结合节点最大值剪枝策略,将查询复杂度从O(N)降至O(logN+K),显著提升性能。通过C#实现,支持按指标类型分组建树、增量插入与多维度联合查询,在10万记录下查询耗时仅约2.8ms,内存占用降低35%。测试表明,该方案有效解决高负载场景下的响应延迟问题,助力管理员快速定位异常设备,提升运维效率与系统稳定性。
185 4
|
3月前
|
机器学习/深度学习 运维 算法
【微电网多目标优化调度】多目标学习者行为优化算法MOLPB求解微电网多目标优化调度研究(Matlab代码实现)
【微电网多目标优化调度】多目标学习者行为优化算法MOLPB求解微电网多目标优化调度研究(Matlab代码实现)
207 1
|
4月前
|
机器学习/深度学习 算法 数据可视化
近端策略优化算法PPO的核心概念和PyTorch实现详解
本文深入解析了近端策略优化(PPO)算法的核心原理,并基于PyTorch框架实现了完整的强化学习训练流程。通过Lunar Lander环境展示了算法的全过程,涵盖环境交互、优势函数计算、策略更新等关键模块。内容理论与实践结合,适合希望掌握PPO算法及其实现的读者。
622 2
近端策略优化算法PPO的核心概念和PyTorch实现详解
|
5月前
|
监控 算法 安全
基于 C# 基数树算法的网络屏幕监控敏感词检测技术研究
随着数字化办公和网络交互迅猛发展,网络屏幕监控成为信息安全的关键。基数树(Trie Tree)凭借高效的字符串处理能力,在敏感词检测中表现出色。结合C#语言,可构建高时效、高准确率的敏感词识别模块,提升网络安全防护能力。
134 2
|
7月前
|
存储 机器学习/深度学习 算法
KMP、Trie树 、AC自动机‌ ,三大算法实现 优雅 过滤 netty 敏感词
KMP、Trie树 、AC自动机‌ ,三大算法实现 优雅 过滤 netty 敏感词
KMP、Trie树 、AC自动机‌ ,三大算法实现 优雅 过滤 netty  敏感词
|
7月前
|
监控 算法 数据处理
基于 C++ 的 KD 树算法在监控局域网屏幕中的理论剖析与工程实践研究
本文探讨了KD树在局域网屏幕监控中的应用,通过C++实现其构建与查询功能,显著提升多维数据处理效率。KD树作为一种二叉空间划分结构,适用于屏幕图像特征匹配、异常画面检测及数据压缩传输优化等场景。相比传统方法,基于KD树的方案检索效率提升2-3个数量级,但高维数据退化和动态更新等问题仍需进一步研究。未来可通过融合其他数据结构、引入深度学习及开发增量式更新算法等方式优化性能。
183 17
|
7月前
|
存储 监控 算法
局域网上网记录监控的 C# 基数树算法高效检索方案研究
在企业网络管理与信息安全领域,局域网上网记录监控是维护网络安全、规范网络行为的关键举措。随着企业网络数据量呈指数级增长,如何高效存储和检索上网记录数据成为亟待解决的核心问题。基数树(Trie 树)作为一种独特的数据结构,凭借其在字符串处理方面的卓越性能,为局域网上网记录监控提供了创新的解决方案。本文将深入剖析基数树算法的原理,并通过 C# 语言实现的代码示例,阐述其在局域网上网记录监控场景中的具体应用。
172 7
|
9月前
|
算法 数据可视化 开发者
为什么要学习数据结构与算法
今天,我向大家介绍一门非常重要的课程——《数据结构与算法》。这门课不仅是计算机学科的核心,更是每一位开发者从“小白”迈向“高手”的必经之路。
为什么要学习数据结构与算法
|
6月前
|
机器学习/深度学习 算法 搜索推荐
决策树算法如何读懂你的购物心理?一文看懂背后的科学
"你为什么总能收到刚好符合需求的商品推荐?你有没有好奇过,为什么刚浏览过的商品就出现了折扣通知?

热门文章

最新文章