随着对CCA的深入研究,是时候对CCA进行一下总结了。
本菜鸡主要研究方向为故障诊断,故会带着从应用角度进行理解。
典型相关分析
基本原理
从字面意义上理解CCA,我们可以知道,简单说来就是对不同变量之间做相关分析。较为专业的说就是,一种度量两组变量之间相关程度的多元统计方法。
关于相似性度量距离问题,在这里有一篇Blog可以参考参考。
首先,从基本的入手。
当我们需要对两个变量X , Y 进行相关关系分析时,则常常会用到相关系数来反映。学过概率统计的小伙伴应该都知道的吧。还是解释一下。
相关系数:是一种用以反映变量之间相关关系密切程度的统计指标。相关系数是按积差方法计算,同样以两变量与各自平均值的离差为基础,通过两个离差相乘来反映两变量之间相关程度;着重研究线性的单相关系数。
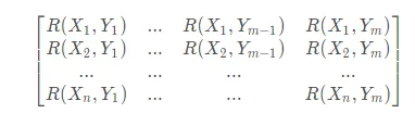
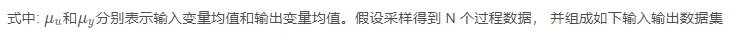
复习了一下大学本科概率统计知识,那么,如果我们需要分析的对象是两组或者多组向量,又该怎么做呢?
CCA的数学表达
我们会得到一个这样的矩阵:
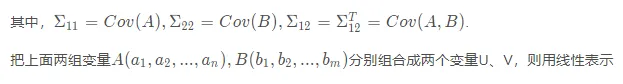
这样的话,我们把每个变量的相关系数都求了出来,不知道会不会和我一样觉得这样很繁琐呢。如果我们能找到两组变量之间的各自的线性组合,那么我们就只分析讨论线性组合之间的相关分析。
典型相关系数:是先对原来各组变量进行主成分分析,得到新的线性关系的综合指标,再通过综合指标之间的线性相关系数来研究原各组变量间相关关系。
现在我们利用主成分分析(PCA)的思想,可以把多个变量与多个变量之间的相关转化成两个变量之间的相关。
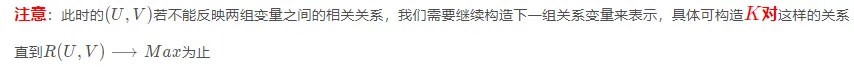
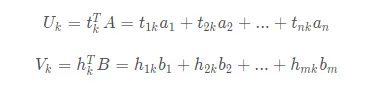
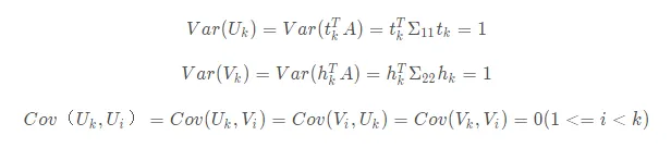
典型相关分析最朴素的思想:首先分别在每组变量中找出第一对典型变量,使其具有最大相关性,然后在每组变量中找出第二对典型变量,使其分别与本组内的第一对典型变量不相关,第二对本身具有次大的相关性。如此下去,直到进行到K步,两组变量的相关系被提取完为止,可以得到K组变量。
So,
典型相关系数及变量的求法
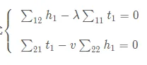
(一起来复习高数–拉格朗日乘数法)
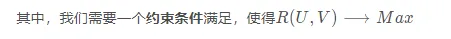
前提条件,我们有个计算公式,约束条件也有了,故这是一个求解条件极值题呀!!!
列出我们的拉格朗日函数:
也就是
我们由式
可得
典型相关分析应用
基于 CCA 的故障检测方法
对于CCA应用在故障检测中,基于 CCA 的故障检测方法可以视为基于 PCA 和基于 PLS 故障检测方法的一种扩展。
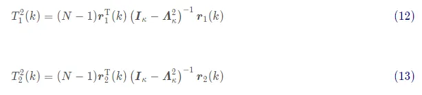
基本思想:是利用典型相关关系构建一个残差发生器, 通过对残差信号的评价做出故障检测的相应决策。该方法中提出了 4 个统计量, 将输入空间分为两个部分, 即与输出空间相关的子空间和与输出空间不相关的子空间;同理,将输出空间分为两个部分, 即与输入空间相关的子空间和与输入空间不相关的子空间。
结合 CCA 方法, 可得:
但是在实际系统中, 测量变量难免受到噪声影响, 两者之间的相关性可表示为:
同理, 还可以得到另一残差向量
其协方差矩阵
由式(9)(11) 可以看出, 残差 r1和 r2的协方差相同。 对于故障检测, 可构造如下两个统计量:
同理, 为了检测发生在输入空间且与输出不相关的那部分故障, 可构造另一统计量
Python代码:
## 通过sklearn工具包内置的CCA实现 import numpy as np from sklearn.cross_decomposition import CCA from icecream import ic # ic用于显示,类似于print A = [[3, 4, 5, 6, 7] for i in range(2000)] B = [[8, 9, 10, 11, 12] for i in range(2000)] # 注意在A、B中的数为输入变量及输出变量参数 # 建模 cca = CCA(n_components=1) # 若想计算第二主成分对应的相关系数,则令cca = CCA(n_components=2) # 训练数据 cca.fit(X, Y) # 降维操作 X_train_r, Y_train_r = cca.transform(X, Y) #输出相关系数 ic(np.corrcoef(X_train_r[:, 0], Y_train_r[:, 0])[0, 1]) #如果想计算第二主成分对应的相关系数 print(np.corrcoef(X_train_r[:, 1], Y_train_r[:, 1])[0, 1])
Matlab代码:
function[ccaEigvector1, ccaEigvector2] = CCA(data1, data2) dataLen1 = size(data1, 2); dataLen2 = size(data2, 2); % Construct the scatter of each view and the scatter between them data = [data1 data2]; covariance = cov(data); % Sxx = covariance(1 : dataLen1, 1 : dataLen1) + eye(dataLen1) * 10^(-7); Sxx = covariance(1 : dataLen1, 1 : dataLen1); % Syy = covariance(dataLen1 + 1 : size(covariance, 2), dataLen1 + 1 : size(covariance, 2)) ... % + eye(dataLen2) * 10^(-7); Syy = covariance(dataLen1 + 1 : size(covariance, 2), dataLen1 + 1 : size(covariance, 2)); Sxy = covariance(1 : dataLen1, dataLen1 + 1 : size(covariance, 2)); % Syx = Sxy'; % using SVD to compute the projection Hx = (Sxx)^(-1/2); Hy = (Syy)^(-1/2); H = Hx * Sxy * Hy; [U, D, V] = svd(H, 'econ'); ccaEigvector1 = Hx * U; ccaEigvector2 = Hy * V; % make the canonical correlation variable has unit variance ccaEigvector1 = ccaEigvector1 * diag(diag((eye(size(ccaEigvector1, 2)) ./ sqrt(ccaEigvector1' * Sxx * ccaEigvector1)))); ccaEigvector2 = ccaEigvector2 * diag(diag((eye(size(ccaEigvector2, 2)) ./ sqrt(ccaEigvector2' * Syy * ccaEigvector2)))); end


























































