matlab中使用VMD(变分模态分解)

简介: matlab中使用VMD(变分模态分解)

拨号音信号的变模分解

创建一个以4 kHz采样的信号,类似于拨打数字电话的所有键。将信号另存为MATLAB®时间数据。

fs = 4e3;
t = 0:1/fs:0.5-1/fs;

绘制时间表的变分模态分解。

多分量信号的VMD

生成由频率为2 Hz,10 Hz和30 Hz的三个正弦波组成的多分量信号。正弦波以1 kHz采样2秒。将信号嵌入方差为0.01²的高斯白噪声中。

计算噪声信号的IMF,并在3-D图中可视化它们。

plot3(p,q,imf)
grid on
xlabel('Time Values')
ylabel('Mode Number')
zlabel('Mode Amplitude')

使用计算出的IMF绘制多分量信号的希尔伯特频谱。将频率范围限制为[0,40] Hz。

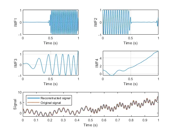
分段信号的VMD

生成一个由二次趋势,线性调频信号和余弦组成的分段复合信号,在t  = 0.5时,两个恒定频率之间会发生急剧过渡  。


x(t)= 6t2 + cos(4πt+10πt2)+ {cos(60πt),cos(100πt-10π),t≤0.5,t> 0.5。


信号以1 kHz采样1秒。绘制每个单独的分量和复合信号。

plot(t,6*t.^2)
xlabel('Time (s)')
ylabel('Quadratic trend')

nexttile(5,[1 2])
plot(t,x)
xlabel('Time (s)')
ylabel('Signal')

执行变分模态分解以计算四个本征模式函数。信号的四个不同分量得以恢复。

通过添加模式函数和残差来重构信号。绘制并比较原始信号和重构信号。

plot(t,x,':','LineWidth',2)
xlabel('Time (s)')
ylabel('Signal')
hold off
legend('Reconstructed signal','Original signal', ...
       'Location','northwest')

计算原始信号与重构信号之间的差异的范数。


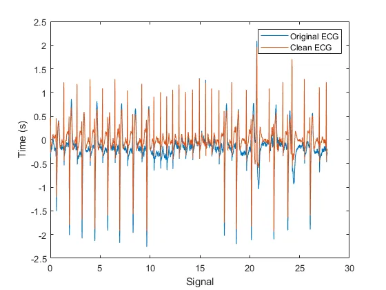
使用VMD从ECG信号中去除噪声

在此示例中标记的信号来自MIT-BIH心律失常数据库  [3]  (信号处理工具箱)。数据库中的信号以360 Hz采样。

加载与记录200相对应的MIT数据库信号并绘制该信号。

plot(tm,ecgsig)
ylabel('Time (s)')
xlabel('Signal')

ECG信号包含由心跳的节奏和振荡的低频模式驱动的尖峰。ECG的不同辐条会产生重要的高次谐波。

计算开窗信号的九种固有模式函数,可视化IMF。

第一种模式包含最多的噪声,第二种模式以心跳的频率振荡。通过将除第一个和最后一个VMD模式之外的所有模式相加,构造一个干净的ECG信号,从而丢弃低频基线振荡和大部分高频噪声。

相关文章
|
4月前
|
机器学习/深度学习 数据采集 算法
【VMD-SSA-LSSVM】基于变分模态分解与麻雀优化Lssvm的负荷预测【多变量】(Matlab代码实现)
【VMD-SSA-LSSVM】基于变分模态分解与麻雀优化Lssvm的负荷预测【多变量】(Matlab代码实现)
119 0
|
4月前
|
传感器 机器学习/深度学习 运维
一种欠定盲源分离方法及其在模态识别中的应用(Matlab代码实现)
一种欠定盲源分离方法及其在模态识别中的应用(Matlab代码实现)
117 0
|
3月前
|
算法
【电力系统潮流】5节点系统潮流计算-牛拉法和PQ分解法(Matlab代代码实现)
【电力系统潮流】5节点系统潮流计算-牛拉法和PQ分解法(Matlab代代码实现)
396 3
|
4月前
|
存储 并行计算 算法
【图像压缩】在 MATLAB 中使用奇异值分解 (SVD) 进行图像压缩(Matlab代码实现)
【图像压缩】在 MATLAB 中使用奇异值分解 (SVD) 进行图像压缩(Matlab代码实现)
323 3
|
3月前
|
机器学习/深度学习 存储 算法
基于广义benders分解法的综合能源系统优化规划(Matlab代码实现)
基于广义benders分解法的综合能源系统优化规划(Matlab代码实现)
113 0
|
4月前
|
机器学习/深度学习 编解码 运维
数据驱动的自适应线性调频模式分解研究(Matlab代码实现)
数据驱动的自适应线性调频模式分解研究(Matlab代码实现)
|
4月前
|
机器学习/深度学习 算法 Python
基于ADMM的车辆路径问题与时间窗口(VRPTW)的问题分解方案(Matlab代码实现)
基于ADMM的车辆路径问题与时间窗口(VRPTW)的问题分解方案(Matlab代码实现)
123 0
基于广义Benders分解法的综合能源系统优化规划(matlab程序)
基于广义Benders分解法的综合能源系统优化规划(matlab程序)
|
机器学习/深度学习 算法 数据安全/隐私保护
基于DCT变换和位平面分解的数字水印嵌入提取算法matlab仿真
这是一个关于数字水印算法的摘要:使用MATLAB2022a实现,结合DCT和位平面分解技术。算法先通过DCT变换将图像转至频域,随后利用位平面分解嵌入水印,确保在图像处理后仍能提取。核心程序包括水印嵌入和提取,以及性能分析部分,通过PSNR和NC指标评估水印在不同噪声条件下的鲁棒性。

热门文章

最新文章