✅作者简介:热爱科研的Matlab仿真开发者,修心和技术同步精进,matlab项目合作可私信。
🍎个人主页:Matlab科研工作室
🍊个人信条:格物致知。
更多Matlab仿真内容点击👇
⛄ 内容介绍
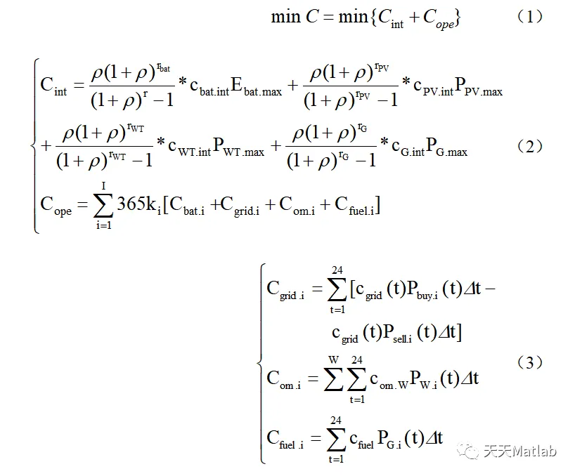
目标函数:
目标函数主要考虑了投资成本和运行成本两部分,其中,投资成本主要为储能的等年值投资成本,运行成本则包括配电网交互成本(购售电成本)、各单元运维成本以及微型燃气轮机的燃料成本。
⛄ 部分代码
clc
clear
%%绘图版块:主要绘制了各微网的日运行计划,容量配置结果,迭代过程等等
figure(1)
plot(x(1:24),'-r*')
xlim([1 24])
grid
hold on
plot(x(25:48),'-b*')
bar(x(49:72))
plot(x(73:96),'-gd')
plot(x(97:120),'-md')
title('典型日1场景下微网运行计划')
legend('购电功率','售电功率 ','燃气轮机功率','储能充电','储能放电')
xlabel('时间')
ylabel('功率')
figure(2)
plot(x(121:144),'-r*')
xlim([1 24])
grid
hold on
plot(x(145:168),'-b*')
bar(x(169:192))
plot(x(193:216),'-g*')
plot(x(217:240),'-m*')
title('典型日2场景下微网运行计划')
legend('购电功率','售电功率 ','燃气轮机功率','储能充电','储能放电')
xlabel('时间')
ylabel('功率')
figure(3)
plot(x(241:264),'-r*')
xlim([1 24])
grid
hold on
plot(x(265:288),'-b*')
bar(x(289:312))
plot(x(313:336),'-g*')
plot(x(337:360),'-m*')
title('典型日3场景下微网运行计划')
legend('购电功率','售电功率 ','燃气轮机功率','储能充电','储能放电')
xlabel('时间')
ylabel('功率')
figure(4)
plot(x(361:384),'-r*')
xlim([1 24])
grid
hold on
plot(x(385:408),'-b*')
bar(x(409:432))
plot(x(433:456),'-g*')
plot(x(457:480),'-m*')
title('典型日4场景下微网运行计划')
legend('购电功率','售电功率 ','燃气轮机功率','储能充电','储能放电')
xlabel('时间')
ylabel('功率')
% figure(1)
% bar(R_31);
% set(gca,'XTickLabel',{'A','B','C'});
% for i=1:3
% text(i,R_31(i)+0.03,num2str(R_31(i)),'VerticalAlignment','bottom','HorizontalAlignment','center');%就是用test加数值,这个0.03看情况定,根据数值大小,再改就好了
% end
% ylim([0,1.2]);
% ylabel('R^2');
figure(5)
bar([ee_bat_int,p_g_int,p_pv_int,p_wt_int],0.5);
set(gca,'XTickLabel',{'储能容量','燃气轮机容量','光伏容量','风机容量'});
ylim([0,620]);
ylabel('配置结果');
figure(6)
[ss,gg]=meshgrid(1:4,1:24 );
plot3(ss,gg,p_load,'-');
xlabel('微网编号');
ylabel('时刻');
zlabel('负荷值');
title('负荷调度结果图');
legend('负荷曲线1','负荷曲线2 ','负荷曲线3 ','负荷曲线4 ')
figure(7)
[ss,gg]=meshgrid(1:4,1:24 );
plot3(ss,gg,p_pv,'-');
xlabel('微网编号');
ylabel('时刻');
zlabel('光伏出力');
title('光伏调度结果图');
legend('光伏曲线1','光伏曲线2 ','光伏曲线3 ','光伏曲线4 ')
figure(8)
[ss,gg]=meshgrid(1:4,1:24 );
mesh(ss,gg,p_wt);
xlabel('微网编号');
ylabel('时刻');
zlabel('风机出力');
title('风机调度结果图');
legend('风机曲线1','风机曲线2 ','风机曲线3 ','风机曲线4 ')
figure(9)
plot(pub(1:10),'-*')
hold on
plot(plb(1:10),'-*')
xlabel('迭代次数')
ylabel('数值')
legend('上界限曲线','下界限曲线 ')
title('运行曲线')
figure(10)
plot(p(1:10))
xlabel('迭代次数')
ylabel('UB-LB')
title('运行曲线')
⛄ 运行结果
⛄ 参考文献
晏鸣宇,艾小猛,张艺镨,等.考虑机组禁止运行区间的含风电鲁棒机组组合[J].中国电机工程学报,2018,38(11):3195-3203.
[1]于雷. 含多类型能源的微网与外部电网协调运行机制和容量配置研究[D]. 华北电力大学(北京), 2016.














