MATLAB计算黎曼积分曲线围成的面积
假设一个曲线方程f(x)= x.^3-x.^2-2*x。
f(x)与笛卡尔坐标x坐标轴有交点,如图:

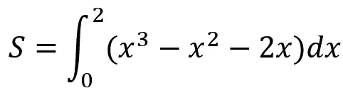
计算该曲线与x(1<= x <=2)围成的面积。显然这是一个黎曼积分计算面积问题。
设所求面积为S,那么:

但是f(x)与x坐标轴相交形成的两块面积,在x区域[-1,0]为正,[0,2]为负,因此要对[0,2]区域的面积分开计算,分别为:

然后取绝对值相加。
matlab:
syms x f;
f=x.^3-x.^2-2*x;
line=ezplot(f,[-1,2]);
set(line,'Color','r','LineWidth',0.5);
grid on;
hold on;
a=int(f,[-1,0])
b=int(f,[0,2])
a+abs(b)
a =
5/12
b =
-8/3
ans =
37/12
最终结果S=37/12。