【车辆】基于深度强化学习稳定车辆在崎岖地形上的垂直运动附matlab代码

简介: ✅作者简介:热爱科研的Matlab仿真开发者,擅长毕业设计辅导、数学建模、数据处理、建模仿真、程序设计、完整代码获取、论文复现及科研仿真。🍎 往期回顾关注个人主页:Matlab科研工作室 👇 关注我领取海量matlab电子书和数学建模资料 🍊个人信条:格物致知,完整Matlab代码获取及仿真咨询内容私信。🔥 内容介绍一、崎岖地形车辆垂直运动控制的挑战在崎岖地形行驶时,车辆面临诸多困难,其垂直运动的稳定控制尤为关键:复杂地形激励:崎岖地形表面起伏不定,存在坑洼、凸起、斜坡等多种不规则形状。车辆行驶其上,车轮受到的地面激励复杂且多变,这会导致车辆产生剧烈的垂直振动,

✅作者简介:热爱科研的Matlab仿真开发者,擅长毕业设计辅导、数学建模、数据处理、建模仿真、程序设计、完整代码获取、论文复现及科研仿真

🍎 往期回顾关注个人主页:Matlab科研工作室

👇 关注我领取海量matlab电子书和数学建模资料

🍊个人信条:格物致知,完整Matlab代码获取及仿真咨询内容私信

🔥 内容介绍

一、崎岖地形车辆垂直运动控制的挑战

在崎岖地形行驶时,车辆面临诸多困难,其垂直运动的稳定控制尤为关键:

  1. 复杂地形激励:崎岖地形表面起伏不定,存在坑洼、凸起、斜坡等多种不规则形状。车辆行驶其上,车轮受到的地面激励复杂且多变,这会导致车辆产生剧烈的垂直振动,如车身的跳动、俯仰和侧倾等。这些振动不仅影响乘客的舒适性,还可能对车辆的零部件造成损害,缩短车辆使用寿命。
  2. 非线性动力学特性:车辆系统本身具有非线性动力学特性,在崎岖地形行驶时,这种非线性会被进一步放大。例如,车辆的悬挂系统在不同的压缩和拉伸状态下,其刚度和阻尼特性并非线性变化;轮胎与地面的接触力也会随着地形的变化以及车辆运动状态的改变而呈现非线性关系。传统的基于线性模型的控制方法难以准确描述和处理这种复杂的非线性特性,从而无法有效稳定车辆的垂直运动。
  3. 不确定性因素众多:行驶过程中存在大量不确定性因素,如地形的突然变化难以提前精确感知,车辆自身参数(如悬挂系统的磨损导致刚度变化)也会随使用时间和行驶里程而改变。此外,外界环境因素(如雨天路面湿滑影响轮胎摩擦力)也会对车辆垂直运动产生影响。这些不确定性增加了控制的难度,要求控制系统具有较强的自适应能力。

二、深度强化学习的原理与优势

深度强化学习(DRL)结合了深度学习强大的感知能力和强化学习的决策优化能力,为解决车辆在崎岖地形上垂直运动稳定控制问题提供了有效途径:

  1. 强化学习原理:强化学习是智能体(agent)通过与环境进行交互,根据环境反馈的奖励信号来学习最优行为策略的过程。智能体在每个状态下采取一个动作,环境根据该动作转移到新的状态,并给予智能体一个奖励值。智能体的目标是学习到一个策略,使得在长期运行过程中累计奖励最大化。例如,在车辆垂直运动控制场景中,车辆就是智能体,车辆的当前状态(如车身位移、速度、加速度等)为状态信息,对悬挂系统的控制输入(如调整阻尼力大小)为动作,而车辆垂直振动的平稳程度(如振动加速度的均方根值越小越好)可作为奖励信号。
  2. 深度学习融入:深度学习通过构建多层神经网络,能够自动从高维数据中提取特征。在车辆应用中,可将车辆传感器采集到的大量数据(如加速度计、陀螺仪等测量的车辆运动数据,以及激光雷达、摄像头等获取的地形信息)作为深度学习网络的输入。网络通过对这些数据的学习,能够提取出与车辆垂直运动状态和地形特征相关的有效信息,为强化学习的决策提供更丰富、准确的状态表示。例如,卷积神经网络(CNN)可以处理激光雷达点云数据或摄像头图像,提取地形的几何特征;循环神经网络(RNN)或其变体(如 LSTM、GRU)能够处理随时间变化的车辆运动数据序列,捕捉车辆运动的动态特征。
  3. 优势体现:深度强化学习能够处理复杂的非线性问题,通过对大量数据的学习,自动适应车辆动力学特性的变化以及地形的不确定性。与传统控制方法相比,无需精确的车辆动力学模型和地形模型,降低了建模难度和对模型准确性的依赖。同时,深度强化学习具有在线学习能力,可根据实时的车辆状态和环境信息不断调整控制策略,以适应不同的崎岖地形条件,从而有效稳定车辆的垂直运动。

三、基于深度强化学习的车辆垂直运动稳定控制实现

  1. 状态定义:综合考虑车辆的运动状态和地形信息来定义智能体的状态。车辆运动状态可包括车身垂直位移、速度、加速度,以及俯仰角、侧倾角及其变化率等;地形信息可通过传感器测量得到,如激光雷达获取的地形高度数据、摄像头识别的地形类型等。将这些信息进行融合和预处理后,作为深度强化学习算法的输入状态。
  2. 动作设计:动作通常对应于车辆悬挂系统的控制输入。例如,对于主动悬挂系统,动作可以是调整阻尼系数、改变弹簧刚度等;对于半主动悬挂系统,主要是调节阻尼力的大小。通过合理设计动作空间,使智能体能够通过选择不同的动作来改变车辆悬挂系统的特性,进而影响车辆的垂直运动。
  3. 奖励函数设计:奖励函数的设计至关重要,它引导智能体学习到期望的行为策略。奖励函数应与车辆垂直运动的稳定性相关,例如,可以将车身垂直加速度的均方根值作为奖励的主要衡量指标,加速度越小,奖励值越高,以鼓励智能体采取动作使车辆垂直振动最小化。同时,为了保证车辆的安全性和正常行驶,还可以考虑添加一些约束条件相关的奖励或惩罚,如防止车辆过度颠簸导致零部件损坏的惩罚项,以及保持车辆在一定行驶姿态范围内的奖励项等。
  4. 算法训练与优化:选择合适的深度强化学习算法(如深度 Q 网络 DQN 及其变体、策略梯度算法如 A2C、A3C、PPO 等)进行训练。在训练过程中,智能体不断与模拟的崎岖地形环境进行交互,根据环境反馈的奖励信号调整策略网络的参数,以逐渐学习到最优的控制策略。为了提高训练效率和稳定性,通常会采用一些技巧,如经验回放(将智能体的经验样本存储在经验池中,随机抽取样本进行训练,打破样本之间的相关性)、目标网络(引入一个与策略网络结构相同但参数更新缓慢的目标网络,用于计算目标 Q 值,减少训练过程中的波动)等。训练完成后,得到的策略网络即可应用于实际车辆,在崎岖地形行驶时实时稳定车辆的垂直运动。

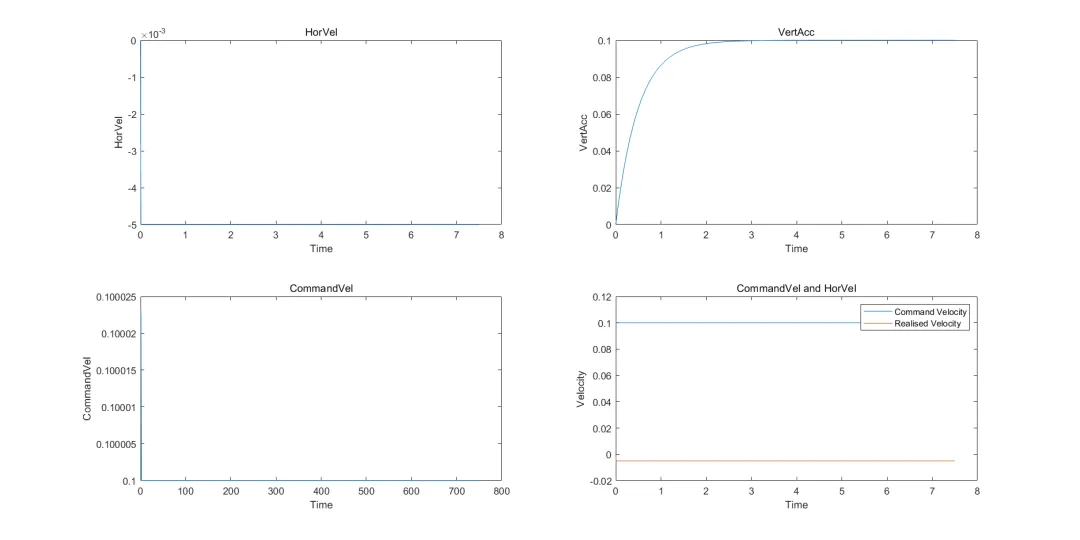
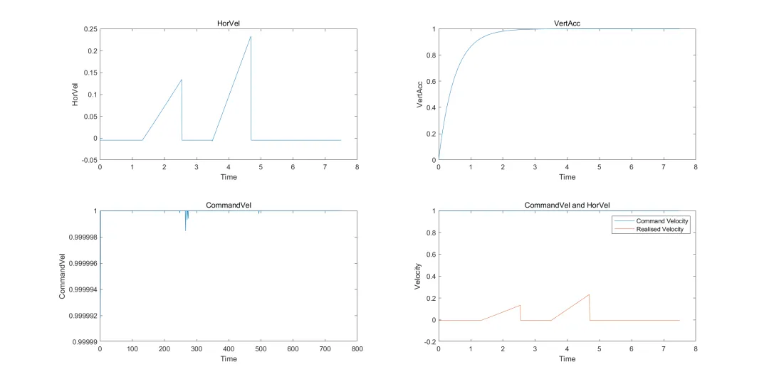
⛳️ 运行结果

📣 部分代码

function dXdt = HalfCar(t,X,b)


% x = [x,dx,z,dz,th,dth]

x = X(1);

dx = X(2);

z = X(3);

dz = X(4);

th = X(5);

dth = X(6);


z1 = z - b.L1*th;

z2 = z + b.L2*th;


dz1 = dz - b.L1*dth;

dz2 = dz + b.L2*dth;


x1 = x - b.L1*cos(th);

x2 = x + b.L2*cos(th);


dzr1 = b.dzrx(x1)*dx;

dzr2 = b.dzrx(x2)*dx;


ddz = 1/b.m*(-b.k1*(z1 - b.zr(x1)) - b.c1*(dz1 - dzr1) - b.k2*(z2 - b.zr(x2)) - b.c2*(dz2 - dzr2));

ddth = 1/b.I*(b.k1*(z1-b.zr(x1))*b.L1 + b.c1*(dz1 - dzr1) - b.k2*(z2 - b.zr(x2))*b.L2 - b.c2*(dz2 - dzr2)*b.L2);

ddx = 1/b.tau*(b.ux-dx);


dXdt = [dx;

       ddx;

       dz;

       ddz;

       dth;

       ddth];

   

%fprintf('mu = %4.1f \t t = %4.2f\t x = %4.2f \t z = %4.2f \t zr = %4.2f \t dzdt = %4.2f\n',b.mu, t, x, z, b.zr(x),dXdt(4))


end

🔗 参考文献


🍅往期回顾扫扫下方二维码


相关文章
|
2月前
|
监控 安全 数据处理
基于控制障碍函数(CBF)的多无人机编队避障路径规划研究附MATLAB代码
✅作者简介:热爱科研的Matlab仿真开发者,擅长毕业设计辅导、数学建模、数据处理、建模仿真、程序设计、完整代码获取、论文复现及科研仿真。 🍎 往期回顾关注个人主页:Matlab科研工作室 👇 关注我领取海量matlab电子书和数学建模资料 🍊个人信条:格物致知,完整Matlab代码获取及仿真咨询内容私信。 🔥 内容介绍 一、多无人机编队应用需求与挑战 广泛的应用场景:多无人机编队在诸多领域展现出巨大潜力。在军事领域,可执行侦察、监视、攻击等任务,通过编队协同提高作战效能;在民用方面,诸如测绘、物流配送、大型活动安保等场景中,多无人机编队能够凭借集体优势,高效完成任务。例如,
|
机器学习/深度学习 数据采集 人工智能
掌握随机森林:基于决策树的集成模型
掌握随机森林:基于决策树的集成模型
1296 0
|
2月前
|
人工智能 安全 Java
给“氛围编程”系上安全带:阿里集团 AI 代码评审实践与 Benchmark 开源
阿里集团历时一年半、经数万亿Token真实场景打磨,推出AI代码评审助手,实现人机协作新范式:AI接管基础评审,人类聚焦核心风险。联合南京大学开源业界首个支持10语言、具备仓库级上下文感知的CodeReview Benchmark(AACR-Bench),由80+资深工程师多轮交叉标注,显著提升隐性缺陷检出率。
给“氛围编程”系上安全带:阿里集团 AI 代码评审实践与 Benchmark 开源
|
2月前
|
人工智能 监控 安全
AI 应用开发全流程
AI应用开发以“数据+模型效果”为核心,不同于传统APP。2026主流流程涵盖:需求与可行性评估、架构选型(LLM/STT/TTS/RAG)、Prompt工程与微调、多模态交互设计、安全后端集成、红队测试及持续迭代。重在AI能力落地与儿童场景适配。
|
2月前
|
传感器 数据采集 算法
【优化覆盖】基于粒子群算法PSO优化无线传感器网络附Matlab代码
✅作者简介:热爱科研的Matlab仿真开发者,擅长毕业设计辅导、数学建模、数据处理、建模仿真、程序设计、完整代码获取、论文复现及科研仿真。 🍎 往期回顾关注个人主页:Matlab科研工作室 👇 关注我领取海量matlab电子书和数学建模资料 🍊个人信条:格物致知,完整Matlab代码获取及仿真咨询内容私信。 🔥 内容介绍 一、无线传感器网络覆盖问题的重要性与挑战 重要性 :无线传感器网络(WSN)由大量部署在监测区域内的传感器节点组成,其目的是收集和传输监测数据。网络覆盖范围决定了能够获取信息的区域大小,对 WSN 的性能起着关键作用。例如,在环境监测中,全面的覆盖可确保准确收集到整个
|
1月前
|
人工智能 测试技术 Apache
Gemma 4 开源发布: Google 迄今最强开放模型,主打推理与 Agent 能力
Google正式开源Gemma 4系列(Apache 2.0许可),含E2B/E4B(端侧多模态)、26B MoE与31B Dense四款模型。参数效率卓越:31B位列开放模型榜第3,26B第6;边缘模型支持128K上下文、原生音视频处理,单卡/手机均可高效运行。
1137 12
Gemma 4 开源发布: Google 迄今最强开放模型,主打推理与 Agent 能力
|
2月前
|
机器学习/深度学习 并行计算 算法
【独家原创】基于DE-Transformer-BiLSTM单变量时序预测【24年新算法】 (单输入单输出)Matlab代码
✅作者简介:热爱科研的Matlab仿真开发者,擅长 毕业设计辅导、数学建模、数据处理、建模仿真、程序设计、完整代码获取、论文复现及科研仿真 。 🍎 往期回顾关注个人主页: Matlab科研工作室  👇 关注我领取海量matlab电子书和数学建模资料  🍊个人信条:格物致知, 完整Matlab代码获取及仿真咨询内容私信 。 🔥  内容介绍  研究背景 实际应用需求 :在金融、气象、工业等领域,单变量时序预测至关重要。如金融领域的股票价格预测、气象领域的气温预测等,准确的预测有助于决策制定、资源分配和风险防范。 传统方法的局限 :传统预测方法如 ARIMA 等,存在线性假设,难以刻画实际时
【独家原创】基于DE-Transformer-BiLSTM单变量时序预测【24年新算法】 (单输入单输出)Matlab代码
|
2月前
|
人工智能 安全 API
AI数字员工落地:OpenClaw阿里云/本地企业级部署与千问/Coding Plan API配置指南
2026年AI智能体技术已进入规模化落地阶段,以Qwen3系列为代表的大模型具备超长文本上下文、多模态理解与多步骤复杂任务执行能力,让AI从辅助工具进化为可独立执行业务流程的数字员工。阿里云百炼平台推出的qwen3-max-2026-01-23模型,融合自主思考、联网检索、代码解析能力,在企业场景中实现高精度决策与任务处理。面对这一趋势,企业需要轻量化、安全可控、易扩展的AI智能体管理平台,OpenClaw(Clawdbot)正是支撑数字员工部署、调度、运维的核心框架,具备多平台接入、模块化技能、定时任务、安全沙箱四大核心能力,可帮助企业快速搭建AI自动化工作流,实现降本增效。本文完整讲解Op
835 3