基于 MATLAB 的电力系统动态分析研究【IEEE9、IEEE68系节点】​

简介: 基于 MATLAB 的电力系统动态分析研究【IEEE9、IEEE68系节点】​

💥💥💞💞欢迎来到本博客❤️❤️💥💥

🏆博主优势:🌞🌞🌞博客内容尽量做到思维缜密,逻辑清晰,为了方便读者。

⛳️座右铭:行百里者,半于九十。

💥1 概述

本文介绍了为电力系统动态分析开发的基于 MATLAB 的程序。可以获得时域仿真、系统线性化、模态分析、参与因子分析和可视化、控制器的优化放置、反馈信号选择、频率响应分析和控制设计。除了解决电力系统问题外,该软件包还提供模型在时域和状态空间中的符号和矢量化表示。该软件包充分利用了 MATLAB 强大的求解器的优势,用于求解非刚性和刚性问题。显式和隐式技术都用于求解微分代数方程 (DAE)。假设同步电机配备了励磁器、涡轮和稳定器。负载可以建模为电压相关负载和独立负载。本文使用的测试系统是IEEE 9节点和68节点系统,以及德克萨斯州的2007节点合成电源系统。不同类型的干扰应用于系统,包括发电机侧和网络侧干扰。

以下是基于MATLAB的电力系统动态分析研究文档,涵盖IEEE 9节点和IEEE 68节点系统的建模、仿真及动态分析研究。内容整合了多篇文献的核心信息,并结合MATLAB工具链的应用方法。


一、IEEE 9节点系统与IEEE 68节点系统的基本结构及参数

1. IEEE 9节点系统

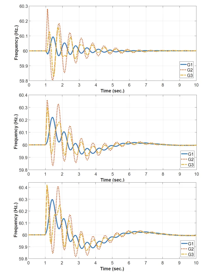
  • 拓扑结构 IEEE 9节点系统是电力系统研究的经典基准模型,由3台发电机(G1、G2、G3)、3个负荷节点(PQ节点)、3台变压器和9个总线节点组成。其中:
  • 节点类型:包括平衡节点(松弛节点)、PV节点(电压控制节点)和PQ节点(负荷节点)。
  • 电压等级:发电机母线电压为13.8 kV~18 kV,变压器升压至230 kV。
  • 典型参数:基准容量为100 MVA,线路和变压器参数以标幺值表示。
  • 典型应用场景
  • 潮流计算:采用牛顿-拉弗森法或高斯-赛德尔法求解节点电压、功率分布。
  • 暂态稳定性分析:研究三相故障后发电机的转子角度振荡及临界清除时间。
  • 电压稳定性:通过PV和QV曲线分析系统在极限负荷下的稳定性。

2. IEEE 68节点系统

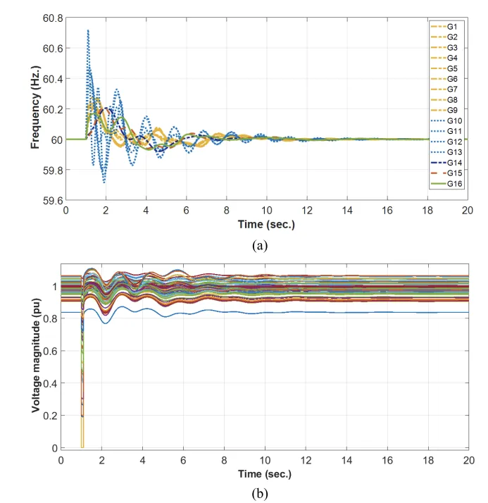
  • 拓扑结构 该系统规模更大,包含68个节点、16台发电机,其中:
  • 发电机模型:15台采用圆转子同步机模型和四型交流励磁器,1台作为电压源提供频率参考。
  • 方程复杂度:系统状态方程包含535个变量(92.1%为微分变量),雅可比矩阵非零元素仅占0.75%。
  • 动态特性:适用于大规模系统扰动后的机电暂态仿真及动态相量分析。

二、MATLAB在电力系统动态分析中的工具箱及方法

1. 核心工具箱

  • Simulink/Simscape Electrical 提供电力系统元件库(发电机、变压器、负荷等),支持图形化建模和时域仿真。
  • 应用示例:搭建IEEE 9节点系统模型,模拟三相故障后转子角度动态响应。
  • Power System Toolbox (PST) 提供潮流计算、小信号稳定性分析、暂态稳定性分析等功能。
  • 特色功能:支持自定义控制器(如PSS、SVC)的集成与优化。
  • PSAT
    开源工具箱,支持动态时域仿真和模态分析,适合含新能源的电力系统研究。
  • Matpower
    专注于潮流计算和最优潮流问题,支持大规模系统(如IEEE 68节点)的高效求解。

2. 动态分析方法

  • 时域仿真 通过求解微分代数方程(DAEs),模拟系统在故障或扰动下的动态行为。
  • 案例:在IEEE 68节点系统中施加三相短路故障,记录发电机频率和电压恢复过程。
  • 模态分析 计算系统特征值,识别主导振荡模式及参与因子。
  • 应用场景:分析IEEE 9节点系统中低频振荡的阻尼特性。
  • 控制器设计
    结合神经模糊控制器或传统PID,优化系统稳定性(如添加STATCOM改善电压稳定性)。

三、基于MATLAB的建模与仿真步骤

1. IEEE 9节点系统建模示例

  1. 数据导入
  • 从标准数据表(表1-表3)导入节点参数、线路阻抗及变压器变比。
% 示例:定义基准容量和节点电压
baseMVA = 100;
busdata = [1 1 0 0 0 0 1.04 0 230 1;
           2 2 0 0 0 0 1.025 0 18 1;
           ...]; % 节点参数表
  1. image.gif
  2. Simulink模型搭建
  • 使用Simscape Electrical模块构建发电机、变压器和负荷的矢量模型。
  • 设置初始条件(如发电机端电压VG1=1.04 pu)。
  1. 仿真配置
  • 选择ODE求解器(如ode23tb处理刚性方程),设置仿真时间步长(如0.01秒)。
  • 添加扰动(如5-7号线路在1秒时发生三相故障,持续0.1秒)。
  1. 结果分析
  • 绘制发电机转子角度曲线,判断临界清除时间(如1.033秒时角度差达106.487度)。
  • 计算线路功率损耗(牛顿-拉弗森法比高斯-赛德尔法精度更高)。

2. IEEE 68节点系统建模要点

  • 动态相量法(DP)
    采用可变步长算法加速仿真,比传统EMT方法快100倍以上。
  • 大规模系统优化
    使用Matpower进行最优潮流计算,结合并行计算提升效率。

四、动态分析研究案例

1. 暂态稳定性研究

  • IEEE 9节点系统
  • 故障位置影响:近发电机故障导致转子角度双峰振荡,需16秒恢复稳定。
  • 控制策略:添加DSTATCOM或动态电压恢复器(DVR)可缩短恢复时间。
  • IEEE 68节点系统
  • 扰动响应:不同故障位置激发的动态模式差异显著,需针对性设计阻尼控制器。

2. 电压稳定性与新能源接入

  • 静态无功补偿(SVC)
  • 在IEEE 9节点系统中,SVC可将电压波动控制在±5%以内。
  • 新能源场站调频
  • 基于动态模式分解(DMD)估计虚拟惯量,优化风电场在IEEE 68节点中的频率响应。

3. 算法对比与优化

  • 潮流计算:牛顿-拉弗森法收敛速度更快,但高斯-赛德尔法内存占用更低。
  • 动态相量法:在IEEE 68节点中,DP程序CPU时间仅为EMT仿真的1%。

五、结论与展望

  • MATLAB工具优势:通过Simulink和专用工具箱(如PSAT、Matpower),可高效完成从小型(IEEE 9)到大型(IEEE 68)系统的动态分析。
  • 未来方向:新能源高渗透场景下的动态特性研究、基于AI的控制器设计(如自适应神经模糊控制)。

📚2 运行结果

2.1 IEEE9节点

image.gif 编辑

image.gif 编辑

image.gif 编辑

image.gif 编辑

image.gif 编辑

2.2 IEEE68节点

image.gif 编辑

image.gif 编辑

image.gif 编辑

部分代码:

%%%----------------------------% LL-1--------------------------------------

T1_LL1 = realp('T1_LL1',1);                     % T1 coefficient (name and initial value)

T2_LL1 = realp('T2_LL1',0.1);                   % T2 coefficient

T1_LL1.Minimum = 0.1;   T1_LL1.Maximum = 1;     % Set min-max values for T1

T2_LL1.Minimum = 0.01;  T2_LL1.Maximum = 0.1;   % Set min-max values for T2

T1_LL1.Free = true;

T2_LL1.Free = true;

LL1=tf([T1_LL1 1],[T2_LL1 1]);

%%%----------------------------% LL-2--------------------------------------

T3_LL2 = realp('T3_LL2',1);                     % T3 coefficient

T4_LL2 = realp('T4_LL2',0.1);                   % T4 coefficient

T3_LL2.Minimum = 0.1;   T3_LL2.Maximum = 1;     % Set min-max values for T3

T4_LL2.Minimum = 0.01;  T4_LL2.Maximum = 0.1;   % Set min-max values for T4

T3_LL2.Free = true;

T4_LL2.Free = true;

LL2=tf([T3_LL2 1],[T4_LL2 1]);

%%%--------------------------Washout---------------------------------------

Tw = realp('Tw',1);                             % Tw coefficient

Tw.Minimum = 1;   Tw.Maximum = 10;

Tw.Free = true;

WO=tf([Tw 0],[Tw 1]);

%%%--------------------------Gain------------------------------------------

Ck = realp('Ck',1);          

Ck.Minimum = 1;  Ck.Maximum = 50;

Kg=tf(Ck);

%%%==========================System tuning=================================

CL0 = feedback(LL1*LL2*Ck*G,1, -1);             % Closed-loop TF (with PSS)

CL0.InputName = 'ws';

CL0.OutputName = 'w';

Req1 = TuningGoal.Poles(0,0.2,Inf);             % [min decay, min damping ratio, max freq].

options = systuneOptions('Display','iter');

[CL,fSoft] = systune(CL0,Req1, options);

sys2=CL.Blocks;

OptimizedParam=[sys2.T1_LL1 sys2.T2_LL1  sys2.T3_LL2 sys2.T4_LL2 sys2.Ck]; OptimizedParam=double(OptimizedParam);

figure (1)

viewGoal(Req1,CL); xlim([-50 1]); hold on;      % Plot the results with the desired goal to check if it is satisfactory

%=================================END======================================

 

🎉3 参考文献

文章中一些内容引自网络,会注明出处或引用为参考文献,难免有未尽之处,如有不妥,请随时联系删除。(文章资料获取,更多粉丝福利,MATLAB|Simulink|Python资源获取【请看主页然后私信】

相关文章
|
5月前
|
机器学习/深度学习 算法 机器人
【水下图像增强融合算法】基于融合的水下图像与视频增强研究(Matlab代码实现)
【水下图像增强融合算法】基于融合的水下图像与视频增强研究(Matlab代码实现)
503 0
|
5月前
|
算法 定位技术 计算机视觉
【水下图像增强】基于波长补偿与去雾的水下图像增强研究(Matlab代码实现)
【水下图像增强】基于波长补偿与去雾的水下图像增强研究(Matlab代码实现)
423 0
|
5月前
|
算法 机器人 计算机视觉
【图像处理】水下图像增强的颜色平衡与融合技术研究(Matlab代码实现)
【图像处理】水下图像增强的颜色平衡与融合技术研究(Matlab代码实现)
176 0
|
5月前
|
新能源 Java Go
【EI复现】参与调峰的储能系统配置方案及经济性分析(Matlab代码实现)
【EI复现】参与调峰的储能系统配置方案及经济性分析(Matlab代码实现)
191 0
|
5月前
|
机器学习/深度学习 编解码 算法
基于OFDM技术的水下声学通信多径信道图像传输研究(Matlab代码实现)
基于OFDM技术的水下声学通信多径信道图像传输研究(Matlab代码实现)
265 8
|
5月前
|
机器学习/深度学习 数据采集 测试技术
基于CEEMDAN-VMD-BiLSTM的多变量输入单步时序预测研究(Matlab代码实现)
基于CEEMDAN-VMD-BiLSTM的多变量输入单步时序预测研究(Matlab代码实现)
199 8
|
5月前
|
机器学习/深度学习 算法 自动驾驶
基于导向滤波的暗通道去雾算法在灰度与彩色图像可见度复原中的研究(Matlab代码实现)
基于导向滤波的暗通道去雾算法在灰度与彩色图像可见度复原中的研究(Matlab代码实现)
296 8
|
5月前
|
机器学习/深度学习 供应链 算法
【电动车】基于削峰填谷的电动汽车多目标优化调度策略研究(Matlab代码实现)
【电动车】基于削峰填谷的电动汽车多目标优化调度策略研究(Matlab代码实现)
195 0
|
5月前
|
机器学习/深度学习 算法 机器人
使用哈里斯角Harris和SIFT算法来实现局部特征匹配(Matlab代码实现)
使用哈里斯角Harris和SIFT算法来实现局部特征匹配(Matlab代码实现)
257 8
|
5月前
|
编解码 运维 算法
【分布式能源选址与定容】光伏、储能双层优化配置接入配电网研究(Matlab代码实现)
【分布式能源选址与定容】光伏、储能双层优化配置接入配电网研究(Matlab代码实现)
388 12

热门文章

最新文章