7 第七题:
7.1.针对附件2所示的十五天负荷功率(最大值1200MW)、风电功率(装机容量1200MW),在风电替代火电机组 2、3场景下,系统功率平衡存在的问题。
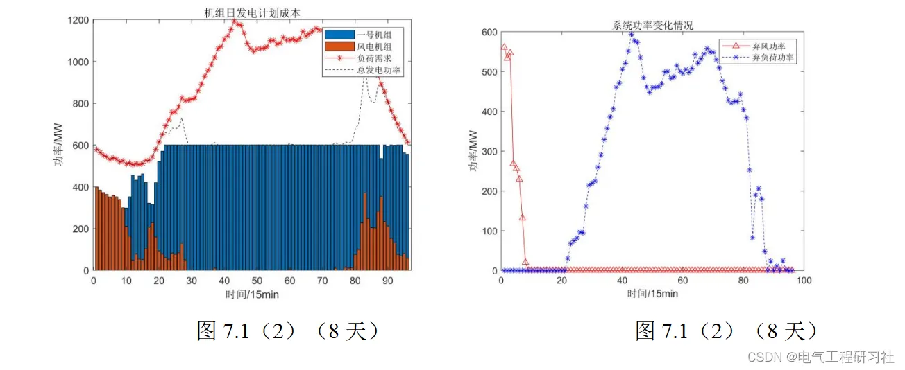
我们拿第一天和风能最少的第8天为例子,根据最小发电成本为目标函数,绘制机组日发电计划曲线如下图,
由于天气原因,在15天一个周期内,风能变化大风力发电功率波动也大,存在大范围弃风和弃负荷的现象。
表10第一天时系统相关指标统计
由于当前储能系统成本较高,如何合理地配置储能系统容量,在保证系统安全稳定运行的前 提下,尽可能减少储能系统的投资成本显得尤为 重要。
为解决功率平衡解决方案,我们考虑配置储能。在问题五中,由于只考虑一天内的最优化调度问题,本文未对储能系统一天调度周期结束时的剩余荷电状态进行约束限制,因此问题五中储能系统在一天结束时的荷电状态已降至最低,如图5.1所示。而当调度周期由一天变为十五天时,则需要考虑储能系统在两天之间的衔接关系,在前一天结尾时不能将所剩的电量用尽,这是为了使储能系统的荷电状态仍然保持在一定的水平,以便满足后一天调度周期内储能系统的调度可行性。
一般来说,储能系统一天调度周期结束时的剩余荷电状态经常被约束条件设置在40-60%之间,但通过观察本题所提供的十五天负荷及风电曲线可知(这里可以加一张15天内的负荷和风电图),风电在前六日的发出功率较为充沛,而在第七日和第八日左右出现枯竭的情况,此时火电机组即使满功率运行也无法满足实际负荷的需求。综上考虑,本文将储能系统一天调度周期结束时的剩余荷电状态设置为20%-90%,这使储能系统在十五天的调度周期中拥有更加灵活且经济的运行方式,如此大的剩余荷电状态范围设置大允许储能系统在风电充沛的时间段内存储足够的电量,以应对风电匮乏的时间段,最大程度上保障了供电的可靠性与经济性。
7.2.1.先优先考虑保证供电可靠,然后选择配置储能容量的方案。此时选择的储能容量为70000MW。
图7.2.1(1)
图7.2.1(2)
图7.2.1(3)
SOC表示储能系统在一天调度周期内的剩余电量的变化图
单位供电成本为0.308元/kWh,相比于不加储能的0.700元/kWh,降低了57%,经济性来说,还说挺好。
7.2.2.考虑可以切负荷来解决功率平衡,即考虑失负荷损失,重新确定配置的储能容量方案。此时选择的储能容量为15984MW。
此时发电成本如表12所示,
表 12
考虑可以切负荷的情况下,增加配置储能,就降低了单位供电成本。
7.2.仅仅靠配置储,在不考虑储能成本的条件下,通过增加储能容量,能保证功率平衡,也能提高风电接入的可靠性,但是经济性会降低,单位供电成本会增加50%左右。如果考虑可切负荷的情况,配置储能就能够提高经济性,降低单位供电成本。
需要第七题所有代码点这里:🍞正在为您运送作品详情
8 所有题代码及文章详细讲解
需要打包带走点这里: 高比例风电电力系统储能运行及配置分析(Matlab实现) (mianbaoduo.com)
9 结论:
1)新能源的接入对于系统发电运行成本的改变;火电厂的碳捕集是一笔很大的费用,新能源具备低碳,节能,环保的可再生特点,在本文中,只考虑风力机组的运维成本,能很大程度降低系统发电的运行成本。同时,可以通过合理弃风放弃部分风电发电容量来改系统发电运行成本,
2)配置储能可有效消纳风电,系统配置储能时应重点考虑分时电价与风电装机容量等因素。加入储能装置后,火电机组需长时间维持在较高发电功率的情况得到了的改善,系统内能量达到更优配置,有利于电力系统安全运行。储能在初期的投资成本比较大,但是后期运维费用很低。
10 参考文献
[1]刘新东,方科,陈焕远,佘彩绮.利用合理弃风提高大规模风电消纳能力的理论研究[J].电力系统保护与控制,2012,40(06):35-39.
[2]2017-2021年中国弃风量及弃风率年度变化统计情况_观研报告网2017-2021年中国弃风量及弃风率年度变化统计情况_观研报告网 (chinabaogao.com)
[3]王淑云,娄素华,吴耀武,曹侃,周鲲鹏.计及火电机组深度调峰成本的大规模风电并网鲁棒优化调度[J].电力系统自动化,2020,44(01):118-125.





















