【太阳能学报EI复现】基于粒子群优化算法的风-水电联合优化运行分析(Matlab代码实现)

简介: 【太阳能学报EI复现】基于粒子群优化算法的风-水电联合优化运行分析(Matlab代码实现)

💥💥💞💞欢迎来到本博客❤️❤️💥💥

🏆博主优势:🌞🌞🌞博客内容尽量做到思维缜密,逻辑清晰,为了方便读者。

⛳️座右铭:行百里者,半于九十。

💥1 概述

image.gif 编辑

基于粒子群优化算法的风-水电联合优化运行分析研究

摘要:以风-水电联合运行后的风电场效益最大为目标,利用粒子群优化算法来进行风-水电联合优化运行的仿真分析。仿真结果表明风-水电联合供电不但提高了风电场的收益,同时也平滑了风电场的功率输出,这将有利于提高风电在电力系统中的份额。促进我国风电产业的发展。

 为提高风电场的供电质量同时增加其发电效益,利用储能技术为风电场配置一个蓄能系统是比较重要的解决措施之一。风电的蓄能技术有水力蓄能、压缩空气蓄能、超导磁力蓄能、流体电池组、电解水制氢等,其中水力蓄能是技术较成熟的一种蓄能方式,且小型的水力发电系统投资也不大,因此为采用风-水电联合供电模式不失为一种优选的方案"。

本文提出的基于遗传算法的风-水电联合优化运行就是采用水力蓄能的方式,为风电场配置一个水力发电系统,当可利用风能数值较大时,将一部分风能通过水泵以水能的形式储存于水库中,然后在可利用风能数值较小或上网电价较高时再经过水电发电机组将存储的能量输送到电网中去,以此实现风电场功率的优化输出,这样一方面平滑了风电场的输出波动,另一方面也充分利用了风能,增加了风电场的效益。数学模型见第4部分。

一、粒子群优化算法(PSO)的基本原理与特点

粒子群优化算法由Kennedy和Eberhart于1995年提出,是一种基于群体智能的全局优化算法。其核心思想是模拟鸟群觅食行为,通过粒子间的信息共享与协作寻找最优解。算法流程包括:

  1. 初始化粒子群:随机生成粒子的初始位置和速度。
  2. 适应度评估:根据目标函数计算每个粒子的适应度值。
  3. 更新个体与群体最优解:每个粒子记录自身历史最优位置(PiPi)和群体最优位置(PgPg)。
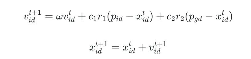
  4. 速度与位置更新:通过以下公式动态调整:
    image.gif 编辑
    其中,ω为惯性权重,c1、c2为学习因子,r1、r2为随机数。

特点

  • 参数少、实现简单:相比遗传算法(GA),无需交叉、变异操作。
  • 收敛速度快:通过记忆机制快速逼近全局最优解。
  • 适应性强:可处理非线性、多峰、高维优化问题。

二、风-水电联合运行的定义与挑战

1. 互补性分析
  • 时间尺度互补:风电短期波动性强(分钟至小时级),水电可通过水库调节实现日级平滑;水电季节性波动大(受径流影响),风电年际波动较小。
  • 容量互补:水电可作为风电的备用电源,平抑风电出力随机性,减少弃风。
2. 关键挑战
  • 不确定性管理:需高精度预测风资源和水文条件,误差可能导致调度失效。
  • 复杂约束条件:包括水库库容、流量限制、机组出力范围等。
  • 多目标优化:需平衡发电收益、弃风量、生态流量等多重目标。

三、基于PSO的风-水电联合优化模型

数学模型见第4部分。

2. PSO的改进策略
  • 参数自适应调整:动态调整惯性权重ωω和学习因子c1c1、c2c2,增强全局搜索能力。
  • 混合算法设计:结合遗传算法的变异机制,避免早熟收敛。
  • 多目标处理:引入Pareto最优解集,实现经济性与环保性权衡。

四、PSO与遗传算法的对比研究

指标 PSO 遗传算法(GA)
收敛速度 更快(粒子直接向最优解移动) 较慢(依赖迭代进化)
参数复杂度 仅需调整ωω、c1c1、c2c2 需设置交叉率、变异率等
全局搜索能力 易陷入局部最优(需改进) 较强(通过变异跳出局部最优)
经济性案例 LCOE 0.105 USD/kWh LCOE 0.112 USD/kWh

image.gif 编辑

五、典型案例研究

  1. 黄河上游梯级水电与甘肃风电联合调度
  • 方法:采用改进量子PSO算法,优化目标为弃风电量最小。
  • 结果:风电出力波动偏差降至0.04%~1.65%,满足电网稳定性要求。
  1. 风-光-抽水蓄能联合系统
  • 方法:引入混沌映射和自适应步长因子改进PSO。
  • 结果:经济效益提升12%,迭代次数减少30%。
  1. 福建风光水互补系统短期调峰
  • 方法:改进PSO的惯性权重和拓扑结构。
  • 结果:负荷峰谷差降低15%,求解效率提高40%。

六、未来研究方向

  1. 不确定性建模:结合鲁棒优化或随机规划,提升模型抗干扰能力。
  2. 多能源协同:扩展至风-光-水-储多能互补系统。
  3. 实时优化:开发基于边缘计算的在线调度平台。

结论

粒子群优化算法在风-水电联合优化中展现出显著优势,尤其在处理高维非线性问题、快速收敛方面。通过改进算法设计与多目标优化策略,可进一步提升系统经济性与环保性。未来需结合大数据与人工智能技术,推动该领域向智能化、实时化方向发展。

📚2 运行结果

image.gif 编辑

image.gif 编辑

image.gif 编辑

image.gif 编辑

image.gif 编辑

部分代码:

%% 优化

F=fun(P_w,P_h,P_p,sizepop,NVAR,C,C_p);             %计算目标函数(适应度值)

E=zeros(sizepop,NVAR+1);

%---------对不符合条件的解(粒子)加上惩罚因子----------------------------%

%判断哪些解需要加入惩罚因子

P=P_h+P_w;

M=1000;                 %惩罚因子    

for j=1:sizepop

% 约束条件(2)            

   for nvar=1:NVAR

       if P(j,nvar)>P_max                              %flag=1时表示不满足约束条件

           F(j)=F(j)-M;          %加上惩罚因子

       end

       if P(j,nvar)<P_min                              %flag=1时表示不满足约束条件

           F(j)=F(j)-M;          %加上惩罚因子

       end

% 约束条件(3)

       if P_p(j,nvar)+P_w(j,nvar)>P_gmax

           F(j)=F(j)-M;

       end

       if P_p(j,nvar)+P_w(j,nvar)<P_gmin

           F(j)=F(j)-M;

       end

% 约束条件(4)

       if P_h(j,nvar)>min(P_hmax,E(j,nvar)*eta_h/t)

           F(j)=F(j)-M;

       end

        E(j,nvar+1)=E(j,nvar)+t*(eta_p*P_p(j,nvar)-P_h(j,nvar)/eta_h);         %下一时刻水库储能

        %E(j,nvar+1)=max(0,E(j,nvar+1));      %若E小于0,应加以约束

       if P_h(j,nvar)<P_hmin

          F(j)=F(j)-M;

       end

% 约束条件(6)        

        if E(j,nvar)<0

           F(j)=F(j)-M;

        end

        if E(j,nvar)>E_max

           F(j)=F(j)-M;

        end

% 约束条件(5)

       if P_p(j,nvar)>P_pmax

           F(j)=F(j)-M;

       end

       if P_p(j,nvar)<P_pmin

           F(j)=F(j)-M;

       end

% 约束条件(7)

       if P_v(nvar)-P_w(j,nvar)-P_p(j,nvar)<0

           F(j)=F(j)-M;

       end

%附加约束条件(1)

%{

        if P_h(j,nvar)*P_p(j,nvar)~=0

           F(j)=F(j)-M*(P_h(j,nvar)*P_p(j,nvar));

       end

%}

   end

end

% 个体极值和群体极值(初始情况)

[bestfitness,I]=max(F);                %找出最大的惩罚函数:bestfitness为惩罚函数值;I为序号数

zbest=Vary(I,:);                       %全局最佳

gbest=Vary;                            %个体最佳

🎉3 参考文献

文章中一些内容引自网络,会注明出处或引用为参考文献,难免有未尽之处,如有不妥,请随时联系删除。

[1]潘文霞,范永威,杨威.风-水电

相关文章
|
6月前
|
机器学习/深度学习 算法 机器人
【水下图像增强融合算法】基于融合的水下图像与视频增强研究(Matlab代码实现)
【水下图像增强融合算法】基于融合的水下图像与视频增强研究(Matlab代码实现)
622 0
|
6月前
|
机器学习/深度学习 算法 机器人
使用哈里斯角Harris和SIFT算法来实现局部特征匹配(Matlab代码实现)
使用哈里斯角Harris和SIFT算法来实现局部特征匹配(Matlab代码实现)
308 8
|
6月前
|
机器学习/深度学习 算法 自动驾驶
基于导向滤波的暗通道去雾算法在灰度与彩色图像可见度复原中的研究(Matlab代码实现)
基于导向滤波的暗通道去雾算法在灰度与彩色图像可见度复原中的研究(Matlab代码实现)
352 8
|
6月前
|
算法 定位技术 计算机视觉
【水下图像增强】基于波长补偿与去雾的水下图像增强研究(Matlab代码实现)
【水下图像增强】基于波长补偿与去雾的水下图像增强研究(Matlab代码实现)
751 0
|
6月前
|
算法 机器人 计算机视觉
【图像处理】水下图像增强的颜色平衡与融合技术研究(Matlab代码实现)
【图像处理】水下图像增强的颜色平衡与融合技术研究(Matlab代码实现)
216 0
|
6月前
|
新能源 Java Go
【EI复现】参与调峰的储能系统配置方案及经济性分析(Matlab代码实现)
【EI复现】参与调峰的储能系统配置方案及经济性分析(Matlab代码实现)
230 0
|
6月前
|
机器学习/深度学习 编解码 算法
基于OFDM技术的水下声学通信多径信道图像传输研究(Matlab代码实现)
基于OFDM技术的水下声学通信多径信道图像传输研究(Matlab代码实现)
311 8
|
6月前
|
机器学习/深度学习 数据采集 测试技术
基于CEEMDAN-VMD-BiLSTM的多变量输入单步时序预测研究(Matlab代码实现)
基于CEEMDAN-VMD-BiLSTM的多变量输入单步时序预测研究(Matlab代码实现)
264 8
|
6月前
|
编解码 运维 算法
【分布式能源选址与定容】光伏、储能双层优化配置接入配电网研究(Matlab代码实现)
【分布式能源选址与定容】光伏、储能双层优化配置接入配电网研究(Matlab代码实现)
514 12
|
6月前
|
人工智能 数据可视化 网络性能优化
【顶级SCI复现】虚拟电厂的多时间尺度调度:在考虑储能系统容量衰减的同时,整合发电与多用户负荷的灵活性研究(Matlab代码实现)
【顶级SCI复现】虚拟电厂的多时间尺度调度:在考虑储能系统容量衰减的同时,整合发电与多用户负荷的灵活性研究(Matlab代码实现)
226 9

热门文章

最新文章