目录
1 概述
2 数学模型
3 节点分层前推回代潮流计算及步骤
3.1 计算方法
3.2 计算步骤
4 算例及数据
5 Matlab&Python代码实现
1 概述
配电网通常是单电源全网连接、开环运行,即呈树状。针对配电系统分析,其根本就是进行潮流计算。潮流计算的重要性在配电网规划与设计、配电网重构、配电网故障分析等方面尤为突出。由于配电网的运行特点,其馈线上的分段开关、联络开关会根据不同的情况打开或闭合,使其网络结构发生变化,其潮流的流向也随之改变。因此,进行有效合理的拓扑分析,就大大有利于潮流计算。
提出了一种新的基于节点分层的配网潮流前推回代方法。这种方法采用节点分层来描述配电网,只需得到两个关键的辅助矩阵进行前推回代就能方便快速地进行潮流计算,适合于拓扑结构变化的配网进行快速的潮流计算。
2 数学模型
结合配电网呈辐射状的特点,用节点分层方法来描述,配电网的原始数据采用下面的格式:
支路参数矩阵BranchM:
{支路所连节点1 支路所连节点2 支路阻抗参数}
节点参数矩阵NodeM:
{节点号 有功负荷 无功负荷}
根据以上的参数矩阵容易求得配网此种结构 运行时的节点-节点关联矩阵 NodeN ,再利用下述
方法求得两个关键矩阵:节点分层矩阵 LayerM 及其对应的上层节点矩阵 NU 。其中 LayerM 矩阵大小根据具体分层来定, NU 为1× N , N 为节点数,其中每列的元素是以此列数为节点号对应的上层节点号。
3 节点分层前推回代潮流计算及步骤
3.1 计算方法
因配电网呈辐射状的特点,使其网络上任一节点到源点具有唯一路径,所以可采用结合本文的节点分层前推回代法进行潮流计算。它的基本原理是已知末端负荷和根节点的电压,一般给定配电网络的初始电压,以馈线为计算基本单位,设全网电压为额定电压,根据负荷功率由最后一层向上一层逐层推导,经过一个回代过程可求得各支路电流。再根据给定的始端电压和求得的支路电流,由第一层向下一层逐段计算各段的电压降,求得各点电压,如此反复,直至各个节点的电压率偏差满足容许条件为止。LayerM和NU其具体的算法流程如下。
3.2 计算步骤
第一步:各节点电压初始值为 1,
编辑,n为配网总节点数。
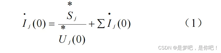
第二步:利用式(1)和 NU 矩阵,从节点分层矩阵 LayerM 的最后一列向前一列前推计算各支路电流。
第三步:利用式(2)和 NU 矩阵,从节点分层矩阵 LayerM 的第一列向下一列回代计算各节点电压。
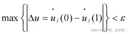
第四步:
编辑
如果不满足条件则跳到第二步进行下一次迭代,直到满足。如果满足则输出最后一次迭代电压的结果。
第五步:根据所求电压求解支路潮流及网损。
详细步骤在附录全部上传啦。
4 算例及数据
变电站电压=12.66kv,功率基准值=10MVA




