第 1 章 绪论
1. 简述数据与数据元素的关系与区别。
答:凡是能被计算机存储、加工的对象统称为数据,数据是一个集合。数据元素是数据的基本单位,是数据的个体。数据元素与数据之间的关系是元素与集合之间的关系。
2. 采用二元组表示的数据逻辑结构
采用二元组表示的数据逻辑结构 S=<D,R>,其中 D={a,b,···,i},R={r},r={<a,b>,<a,c>,<c,d>,<c,f>,<f,h>,<d,e>,<f,g>,<h,i>},问关系 r 是什么类型的逻辑结构?哪些结点是开始结点,哪些结点是终端结点?
答:该逻辑结构为树形结构,其中 a 结点没有前驱结点,它是开始结点,b、e、i 和 g、结点没有后继结点,它们都是终端结点。
3. 简述数据逻辑结构与存储结构的关系。
答:在数据结构中,逻辑结构与计算机无关,存储结构是数据元素之间的逻辑关系在计算机中的表示。存储结构不仅将逻辑结构中所有数据元素存储到计算机内存中,而且还要在内存中存储各数据元素间的逻辑关系。通常情况下,一种逻辑结构可以有多种存储结构,例如,线性结构可以采用顺序存储结构或链式存储结构表示。
4. 简述数据结构中运算描述和运算实现的异同。
答:运算描述是指逻辑结构施加的操作,而运算实现是指一个完成该运算功能的算法。它们的相同点是,运算描述和运算实现都能完成对数据的“处理”或某种特定的操作。不同点是,运算描述只是描述处理功能,不包括处理步骤和方法,而运算实现的核心则是设
计处理步骤。
5. 数据结构和数据类型有什么区别?
答:数据结构是相互之间存在一种或多种特定关系的数据元素的集合,一般包括三个
方面的内容,即数据的逻辑结构、存储结构和数据的运算。而数据类型是一个值的集合和
定义在这个值集上的一组运算的总称,如C语言中的short int数据类型是由-32768~32767
(16位机)的整数和+、-、*、/、%等运算符构成。
6. 在 C/C++中提供了引用运算符,简述其在算法描述中的主要作用。
答:在算法设计中,一个算法通常用一个或多个 C/C++函数来实现,在 C/C++函数之间传递参数时有两种情况,一是从实参到形参的单向值传递,二是实参和形参之间的双向值传递。对形参使用引用运算符,即在形参名前加上“&”,不仅可以实现实参和形参之间的双向值传递,而且使算法设计简单明晰。
7. 有以下用 C/C++语言描述的算法,说明其功能:
void fun(double &y,double x,int n)
{ y=x;
while (n>1)
{ y=y*x;
n--;
}
}
答:本算法的功能是计算 y= $x^{n}$。
8. 用 C/C++语言描述下列算法,并给出算法的时间复杂度。
(1)求一个 n 阶整数数组的所有元素之和。
(2)对于输入的任意 3 个整数,将它们按从小到大的顺序输出。
(3)对于输入的任意 n 个整数,输出其中的最大和最小元素。
答:(1)算法如下:
int sum(int A[N][N],int n) { int i,j,s=0; for (i=0;i<n;i++) for (j=0;j<n;j++) s=s+A[i][j]; return(s); }本算法的时间复杂度为 O($n^{2}$)。
(2)算法如下:void order(int a,int b,int c) { if (a>b) { if (b>c) printf("%d,%d,%d\n",c,b,a); else if (a>c) printf("%d,%d,%d\n",b,c,a); else printf("%d,%d,%d\n",b,a,c); } else { if (b>c) { if (a>c) printf("%d,%d,%d\n",c,a,b); else printf("%d,%d,%d\n",a,c,b); } else printf("%d,%d,%d\n",a,b,c); } }本算法的时间复杂度为 O(1)。
(3)算法如下:void maxmin(int A[],int n,int &max,int &min) { int i; min=min=A[0]; for (i=1;i<n;i++) { if (A[i]>max) max=A[i]; if (A[i]<min) min=A[i]; } }本算法的时间复杂度为 O(n)。
9. 设 3 个表示算法频度的函数 f、g 和 h 分别为:
$f(n)=100n^{3}+n^{2}+1000$
$g(n)=25n^{3}+5000n^{2}$
$h(n)=n^{1.5}+5000nlog_2n$
求它们对应的时间复杂度。
答:$f(n)=100n^{3}+n^{2}+1000=O(n^{3}),g(n)=25n{3}+5000n^{2}=O(n^{3})$
当$n \to \infty时, \sqrt{n}>log_2n,所以h(n)=n^{1.5}+5000nlog_2n=O(n^{1.5})$。
10. 分析下面程序段中循环语句的执行次数。
int j=0,s=0,n=100;
do
{ j=j+1;
s=s+10*j;
} while (j<n && s<n);
答:$j$=0,第 1 次循环:$j$=1,$s$=10。第 2 次循环:$j$=2,$s$=30。第 3 次循环:$j$=3,$s$=60。第 4 次循环:$j$=4,$s$=100。while 条件不再满足。所以,其中循环语句的执行次数为 4。
11. 设 n 为正整数,给出下列 3 个算法关于问题规模 n 的时间复杂度。
(1)算法 1
void fun1(int n)
{ i=1,k=100;
while (i<=n)
{ k=k+1;
i+=2;
}
}
(2)算法 2
void fun2(int b[],int n)
{ int i,j,k,x;
for (i=0;i<n-1;i++)
{ k=i;
for (j=i+1;j<n;j++)
if (b[k]>b[j]) k=j;
x=b[i];b[i]=b[k];b[k]=x;
}
}
(3)算法 3
void fun3(int n)
{ int i=0,s=0;
while (s<=n)
{ i++;
s=s+i;
}
}
答:(1)设 while 循环语句执行次数为 T(n),则:
$i = T(n) + 1\leqslant n$,即 $T(n) \leqslant (n-1)/2=O(n)$。
(2)算法中的基本运算语句是 if ($b[k] > b[j]) k=j$,其执行次数 $T(n)$为:
$$T(n)= \sum_{i=0}^{n-2} \sum_{j=i+1}^{n-1} 1 = \sum_{i=0}^{n-2} (n-i-1) = \frac{n(n-1)}{2} = O(n^{2})$$
(3)设 while 循环语句执行次数为 T(n),则:
$$s=1+2+**···**+T(n)=\frac{T(n)(T(n)+1)}{2} \leqslant n$$,则 T(n)=O($\sqrt n$)。
12. 有以下递归算法用于对数组 a[i..j]的元素进行归并排序:
void mergesort(int a[],int i,int j)
{ int m;
if (i!=j)
{ m=(i+j)/2;
mergesort(a,i,m);
mergesort(a,m+1,j);
merge(a,i,j,m);
}
}
求执行 mergesort($a,0,n-1$)的时间复杂度。其中,merge($a,i,j,m$)用于两个有序子序列 $a[i..m]$ 和 $a[m+1..j]$ 的合并,是非递归函数,它的时间复杂度为 O(合并的元素个数)。
答:设 mergesort($a,0,n-1$)的执行时间为 $T(n)$,分析得到以下递归关系:
$T(n)= O(1)$ $n=1$
$T(n)=2T( \frac{n}{2})+O(n)$ $n>1$
其中,O(n)为 merge()所需的时间,设为 cn(c 为常量)。因此:
$$\begin{aligned} T(n) &=2T( \frac{n}{2} ) +cn=2(2T( \frac{n}{2^{2}} ) + \frac{cn}{2}) + cn = 2^{2}T( \frac{n}{2^{2}} ) + 2cn = 2^{3}T( \frac{n}{2^{3}} ) + 3cn \\ &=2^{k} T(\frac{n}{2^{k}} + kcn ) = 2^{k} O(1) + kcn \end{aligned}$$
由于 $\frac{n}{2^{k}}$ 趋近于 1,则 $k=log_2n$。所以 T(n) = $2^{log_2n}$ O(1) + $cnlog_2n = n + cnlog_2n = O(nlog_2n)$。
13. 描述一个集合的抽象数据类型 ASet,其中所有元素为正整数,集合的基本运算包括:
(1)由整数数组 a[0..n-1]创建一个集合。
(2)输出一个集合的所有元素。
(3)判断一个元素是否在一个集合中。
(4)求两个集合的并集。
(5)求两个集合的差集。
(6)求两个集合的交集。
在此基础上设计集合的顺序存储结构,并实现各基本运算的算法。
答:抽象数据类型 ASet 的描述如下:
ADT ASet
{ 数据对象:$D$ = { $d_{i}$ | 0 $\leqslant i \leqslant n$,n为一个正整数} 数据关系:无。 基本运算: createset( &s,a,n):创建一个集合s; dispset( s):输出集合s; inset(s,e):判断元素e是否在集合s中。 void add(s1,s2,s3):s3=s1∪s2; //求集合的并集 void sub(s1,s2,s3):s3=s1-s2; //求集合的差集 void intersection(s1,s2,s3):s3=s1∩s2; //求集合的交集 }
设计集合的顺序存储结构类型如下:typedef struct //集合结构体类型 { int data[MaxSize]; //存放集合中的元素,其中 MaxSize 为常量 int length; //存放集合中实际元素个数 } Set; //将集合结构体类型用一个新类型名 Set 表示采用 Set 类型的变量存储一个集合。对应的基本运算算法设计如下:
void createset(Set &s,int a[],int n) //创建一个集合 { int i; for (i=0;i<n;i++) s.data[i]=a[i]; s.length=n; } void dispset(Set s) //输出一个集合 { int i; for (i=0;i<s.length;i++) printf("%d ",s.data[i]); printf("\n"); } bool inset(Set s,int e) //判断 e 是否在集合 s 中 { int i; for (i=0;i<s.length;i++) if (s.data[i]==e) return true; return false; } void add(Set s1,Set s2,Set &s3) //求集合的并集 { int i; for (i=0;i<s1.length;i++) //将集合 s1 的所有元素复制到 s3 中 s3.data[i]=s1.data[i]; s3.length=s1.length; for (i=0;i<s2.length;i++) //将 s2 中不在 s1 中出现的元素复制到 s3 中 if (!inset(s1,s2.data[i])) { s3.data[s3.length]=s2.data[i]; s3.length++; } } void sub(Set s1,Set s2,Set &s3) //求集合的差集 { int i; s3.length=0; for (i=0;i<s1.length;i++) //将 s1 中不出现在 s2 中的元素复制到 s3 中 if (!inset(s2,s1.data[i])) { s3.data[s3.length]=s1.data[i]; s3.length++; } } void intersection(Set s1,Set s2,Set &s3) //求集合的交集 { int i; s3.length=0; for (i=0;i<s1.length;i++) //将 s1 中出现在 s2 中的元素复制到 s3 中 if (inset(s2,s1.data[i])) { s3.data[s3.length]=s1.data[i]; s3.length++; }
第 2 章 线性表
1. 简述线性表两种存储结构各自的主要特点。
答:线性表的两种存储结构分别是顺序存储结构和链式存储结构。顺序存储结构的主要特点如下:
① 数据元素中只有自身的数据域,没有关联指针域。因此,顺序存储结构的存储密度较大。
② 顺序存储结构需要分配一整块比较大存储空间,所以存储空间利用率较低。
③ 逻辑上相邻的两个元素在物理上也是相邻的,通过元素的逻辑序号可以直接其元素值,即具有随机存取特性。
④ 插入和删除操作会引起大量元素的移动。
链式存储结构的主要特点如下:
① 数据结点中除自身的数据域,还有表示逻辑关系的指针域。因此,链式存储结构比顺序存储结构的存储密度小。
② 链式存储结构的每个结点是单独分配的,每个结点的存储空间相对较小,所以存储空间利用率较高。
③ 在逻辑上相邻的结点在物理上不一定相邻,因此不具有随机存取特性。
④ 插入和删除操作方便灵活,不必移动结点,只需修改结点中的指针域即可。
2. 简述单链表设置头结点的主要作用。
答:对单链表设置头结点的主要作用如下:
① 对于带头结点的单链表,在单链表的任何结点之前插入结点或删除结点,所要做的都是修改前一个结点的指针域,因为任何结点都有前驱结点(若单链表没有头结点,则首结点没有前驱结点,在其前插入结点和删除该结点时操作复杂些),所以算法设计方便。
② 对于带头结点的单链表,在表空时也存在一个头结点,因此空表与非空表的处理是一样的。
3. 假设某个含有n个元素的线性表有如下运算:
Ⅰ. 查找序号为i(1≤i≤n)的元素
Ⅱ. 查找第一个值为x的元素
Ⅲ. 插入新元素作为第一个元素
Ⅳ. 插入新元素作为最后一个元素
Ⅴ. 插入第i(2≤i≤n)个元素
Ⅵ. 删除第一个元素
Ⅶ. 删除最后一个元素
Ⅷ. 删除第i(2≤i≤n)个元素
现设计该线性表的如下存储结构:
① 顺序表
② 带头结点的单链表
③ 带头结点的循环单链表
④ 不带头结点仅有尾结点指针标识的循环单链表
⑤ 带头结点的双链表
⑥ 带头结点的循环双链表
指出各种存储结构中对应运算算法的时间复杂度。
答:各种存储结构对应运算的时间复杂度如表2.1所示。
表 2.1 各种存储结构对应运算的时间复杂度
- | Ⅰ. 查找序号为i(1≤i≤n)的元素 | Ⅱ. 查找第一个值为x的元素 | Ⅲ. 插入新元素作为第一个元素 | Ⅳ. 插入新元素作为最后一个元素 | Ⅴ. 插入第i(2≤i≤n)个元素 | Ⅵ. 删除第一个元素 | Ⅶ. 删除最后一个元素 | Ⅷ. 删除第i(2≤i≤n)个元素
①顺序表 O(1) O(n) O(n) O(1) O(n) O(n) O(1) O(n) ②带头结点的单链表 O(n) O(n) O(1) O(n) O(n) O(1) O(n) O(n) ③带头结点的循环单链表 O(n) O(n) O(1) O(n) O(n) O(1) O(n) O(n) ④不带头结点仅有尾结点指针标识的循环单链表 O(n) O(n) O(1) O(1) O(n) O(1) O(n) O(n) ⑤带头结点的双链表 O(n) O(n) O(1) O(n) O(n) O(1) O(n) O(n) ⑥带头结点的循环双链表 O(n) O(n) O(1) O(1) O(n) O(1) O(1) O(n)
4. 对于顺序表 L,指出以下算法的功能。
void fun(SqList *&L)
{ int i,j=0;
for (i=1;i<L->length;i++)
if (L->data[i]>L->data[j])
j=i;
for (i=j;i<L->length-1;i++)
L->data[i]=L->data[i+1];
L->length--;
}
答:该算法的功能是在顺序表 L 中查找第一个值最大的元素,并删除该元素。
5. 对于顺序表 L,指出以下算法的功能。
void fun(SqList *&L,ElemType x)
{ int i,j=0;
for (i=1;i<L->length;i++)
if (L->data[i]<=L->data[j])
j=i;
for (i=L->length;i>j;i--)
L->data[i]=L->data[i-1];
L->data[j]=x;
L->length++;
}
答:在顺序表 L 中查找最后一个值最小的元素,在该位置上插入一个值为 x 的元素。
6. 有人设计如下算法用于删除整数顺序表 L 中所有值在[x,y]范围内的元素,该算法显然不是高效的,请设计一个同样功能的高效算法。
void fun(SqList *&L,ElemType x)
{ int i,j;
for (i=0;i<L->length;i++)
if (L->data[i]>=x && L->data[i]<=y)
{ for (j=i;j<L->length-1;j++)
L->data[j]=L->data[j+1];
L->length--;
}
}
答:该算法在每次查找到 x 元素时,都通过移动来删除它,时间复杂度为 O($n^{2}$),显然不是高效的算法。实现同样功能的算法如下:
void fun(SqList *&L,ElemType x,ElemType y) { int i,k=0; for (i=0;i<L->length;i++) if (!(L->data[i]>=x && L->data[i]<=y)) { L->data[k]=L->data[i]; k++; } L->length=k; }
7. 设计一个算法,将元素x插入到一个有序(从小到大排序)顺序表的适当位置上,并保持有序性。
解:通过比较在顺序表 L 中找到插入 x 的位置 i,将该位置及后面的元素均后移一个位置,将 x 插入到位置 i 中,最后将 L 的长度增 1。对应的算法如下:
void Insert(SqList *&L,ElemType x) { int i=0,j; while (i<L->length && L->data[i]<x) i++; for (j=L->length-1;j>=i;j--) L->data[j+1]=L->data[j]; L->data[i]=x; L->length++; }
8. 假设一个顺序表 L 中所有元素为整数,设计一个算法调整该顺序表,使其中所有小于零的元素放在所有大于等于零的元素的前面。
解:先让 i、j 分别指向顺序表 L 的第一个元素和最后一个元素。当 i<j 时循环:i 从前向后扫描顺序表 L,找大于等于 0 的元素,j 从后向前扫描顺序表 L,找小于 0 的元素,当i<j 时将两元素交换(思路参见《教程》例 2.4 的解法一)。对应的算法如下:
void fun(SqList *&L) { int i=0,j=L->length-1; while (i<j) { while (L->data[i]<0) i++; while (L->data[j]>=0) j--; if (i<j) //L->data[i]与 L->data[j]交换 swap(L->data[i], L->data[j]); } }
9. 对于不带头结点的单链表 L1,其结点类在为 LinkNode,指出以下算法的功能。
void fun1(LinkNode *&L1,LinkNode *&L2)
{ int n=0,i;
LinkNode *p=L1;
while (p!=NULL)
{ n++;
p=p->next;
}
p=L1;
for (i=1;i<n/2;i++)
p=p->next;
L2=p->next;
p->next=NULL;
}
答:对于含有 $n$ 个结点的单链表 $L1$,将 $L1$ 拆分成两个不带头结点的单链表 $L1$ 和 $L2$,其中 $L1$ 含有原来的前 $n$/2 个结点,$L2$ 含有余下的结点。
10. 在结点类型为 DLinkNode 的双链表中,给出将 p 所指结点(非尾结点)与其后继结点交换的操作。
答:将 $p$ 所指结点(非尾结点)与其后继结点交换的操作如下:
q=p->next; //q 指向结点 p 的后继结点 if (q->next!=NULL) //从链表中删除结点 p q->next->prior=p; p->next=q->next; p->prior->next=q; //将结点 q 插入到结点 p 的前面 q->prior=p->prior; q->next=p; p->prior=q;
11. 有一个线性表($a_{1},a_{2},…,a_{n}$),其中 n≥2,采用带头结点的单链表存储,头指针为 $L$,每个结点存放线性表中一个元素,结点类型为($data,next$),现查找某个元素值等于 $x$ 的结点指针,若不存在这样的结点返回 NULL。分别写出下面 3 种情况的查找语句。要求时间尽量少。
(1)线性表中元素无序。
(2)线性表中元素按递增有序。
(3)线性表中元素按递减有序。
答:(1)元素无序时的查找语句如下:
p=L->next; while (p!=NULL && p->data!=x) p=p->next; if (p==NULL) return NULL; else return p;(2)元素按递增有序时的查找语句如下:
p=L->next; while (p!=NULL && p->data<x ) p=p->next; if (p==NULL || p->data>x) return NULL; else return p;(3)元素按递减有序时的查找语句如下:
p=L->next; while (p!=NULL && p->data>x) p=p->next; if (p==NULL || p->data<x) return NULL; else return p;
12. 设计一个算法,将一个带头结点的数据域依次为 $a_{1}、a_{2}、…、a_{n}(n≥3)$的单链表的所有结点逆置,即第一个结点的数据域变为 $a_{n}$,第 2 个结点的数据域变为 $a_{n-1}$,…,尾结点的数据域为 a1。
解:首先让 p 指针指向首结点,将头结点的 next 域设置为空,表示新建的单链表为空表。用 p 扫描单链表的所有数据结点,将结点 p 采用头插法插入到新建的单链表中。对应的算法如下:
void Reverse(LinkNode *&L) { LinkNode *p=L->next,*q; L->next=NULL; while (p!=NULL) //扫描所有的结点 { q=p->next; //q 临时保存 p 结点的后继结点 p->next=L->next; //总是将 p 结点作为首结点插入 L->next=p; p=q; //让 p 指向下一个结点 } }
13. 一个线性表($a_{1},a_{2},…,a_{n}$)($n$>3)采用带头结点的单链表 $L$ 存储。设计一个高效算法求中间位置的元素(即序号为 [n/2] 的元素)。
解:让 $p、q$ 首先指向首结点,然后在 p 结点后面存在两个结点时循环:p 后移两个结点,q 后移一个结点。当循环结束后,q 指向的就是中间位置的结点,对应的算法如下:
ElemType Midnode(LinkNode *L) { LinkNode *p=L->next,*q=p; while (p->next!=NULL && p->next->next!=NULL) { p=p->next->next; q=q->next; } return q->data; }
14. 设计一个算法在带头结点的非空单链表 L 中第一个最大值结点(最大值结点可能有多个)之前插入一个值为 x 的结点。
解:先在单链表 $L$ 中查找第一个最大值结点的前驱结点 $maxpre$,然后在其后面插入值为 $x$ 的结点。对应的算法如下:
void Insertbeforex(LinkNode *&L,ElemType x) { LinkNode *p=L->next,*pre=L; LinkNode *maxp=p,*maxpre=L,*s; while (p!=NULL) { if (maxp->data < p->data) { maxp=p; maxpre=pre; } pre=p; p=p->next; } s=(LinkNode *)malloc(sizeof(LinkNode)); s->data=x; s->next=maxpre->next; maxpre->next=s; }
15. 设有一个带头结点的单链表 L,结点的结构为(data,next),其中 data 为整数元素,next 为后继结点的指针。设计一个算法,首先按递减次序输出该单链表中各结点的数据元素,然后释放所有结点占用的存储空间,并要求算法的空间复杂度为 O(1)。
解:先对单链表 L 的所有结点递减排序(思路参见《教程》例 2.8),再输出所有结点值,最后释放所有结点的空间。对应的算法如下:
void Sort(LinkNode *&L) //对单链表 L 递减排序 { LinkNode *p,*q,*pre; p=L->next->next; //p 指向第 2 个数据结点 L->next->next=NULL; while (p!=NULL) { q=p->next; pre=L; while (pre->next!=NULL && pre->next->data>p->data) pre=pre->next; p->next=pre->next; //在结点 pre 之后插入 p 结点 pre->next=p; p=q; } } void fun(LinkNode *&L) //完成本题的算法 { printf("排序前单链表 L:"); DispList(L); //调用基本运算算法 Sort(L); printf("排序后单链表 L:"); DispList(L); //调用基本运算算法 printf("释放单链表 L\n"); DestroyList(L); //调用基本运算算法 }
16. 设有一个双链表 h,每个结点中除有 $prior、data$ 和 $next$ 三个域外,还有一个访问频度域 freq,在链表被起用之前,其值均初始化为零。每当进行 LocateNode($h,x$)运算时,令元素值为 $x$ 的结点中 $freq$ 域的值加 1,并调整表中结点的次序,使其按访问频度的递减序排列,以便使频繁访问的结点总是靠近表头。试写一符合上述要求的 LocateNode 运算的算法。
解:在 DLinkNode 类型的定义中添加整型 $freq$ 域,给该域初始化为 0。在每次查找到一个结点 $p$ 时,将其 $freq$ 域增 1,再与它前面的一个结点 $pre$ 进行比较,若 $p$ 结点的 $freq$ 域值较大,则两者交换,如此找一个合适的位置。对应的算法如下:
bool LocateNode(DLinkNode *h,ElemType x) { DLinkNode *p=h->next,*pre; while (p!=NULL && p->data!=x) p=p->next; //找 data 域值为 x 的结点 p if (p==NULL) //未找到的情况 return false; else //找到的情况 { p->freq++; //频度增 1 pre=p->prior; //结点 pre 为结点 p 的前驱结点 while (pre!=h && pre->freq<p->freq) { p->prior=pre->prior; p->prior->next=p; //交换结点 p 和结点 pre 的位置 pre->next=p->next; if (pre->next!=NULL) //若 p 结点不是尾结点时 pre->next->prior=pre; p->next=pre;pre->prior=p; pre=p->prior; //q 重指向结点 p 的前驱结点 } return true; } }
17. 设 $ha=(a_{1},a_{2},…,a_{n})$ 和 $hb=(b_{1},b_{2}, …,b_{m})$ 是两个带头结点的循环单链表。设计一个算法将这两个表合并为带头结点的循环单链表 $hc$。
解:先找到 ha 的尾结点 p,将结点 p 的 next 指向 hb 的首结点,再找到 hb 的尾结点 p,将其构成循环单链表。对应的算法如下:
void Merge(LinkNode *ha, LinkNode *hb, LinkNode *&hc) { LinkNode *p=ha->next; hc=ha; while (p->next!=ha) //找到 ha 的尾结点 p p=p->next; p->next=hb->next; //将结点 p 的 next 指向 hb 的首结点 while (p->next!=hb) p=p->next; //找到 hb 的尾结点 p p->next=hc; //构成循环单链表 free(hb); //释放 hb 单链表的头结点 }
18. 设两个非空线性表分别用带头结点的循环双链表 $ha$ 和 $hb$ 表示。设计一个算法Insert($ha,hb,i$)。其功能是:$i$=0 时,将 $hb$ 插入到 $ha$ 的前面;当 $i$>0 时,将 $hb$ 插入到 $ha$中第 $i$ 个结点的后面;当 $i$ 大于等于 $ha$ 的长度时,将 $hb$ 插入到 $ha$ 的后面。
解:利用带头结点的循环双链表的特点设计的算法如下:
void Insert(DLinkNode *&ha, DLinkNode *&hb,int i) { DLinkNode *p=ha->next,*post; int lena=1,j; while (p->next!=ha) //求出 ha 的长度 lena { lena++; p=p->next; } if (i==0) //将 hb 插入到 ha 的前面 { p=hb->prior; //p 指向 hb 的尾结点 p->next=ha->next; //将结点 p 链到 ha 的首结点前面 ha->next->prior=p; ha->next=hb->next; hb->next->prior=ha; //将 ha 头结点与 hb 的首结点链起来 } else if (i<lena) //将 hb 插入到 ha 中间 { j=1; p=ha->next; while (j<i) //在 ha 中查找第 i 个结点 p { p=p->next; j++; } post=p->next; //post 指向 p 结点的后继结点 p->next=hb->next; //将 hb 的首结点作为 p 结点的后继结点 hb->next->prior=p; hb->prior->next=post; //将 post 结点作为 hb 尾结点的后继结点 post->prior=hb->prior; } else //将 hb 链到 ha 之后 { ha->prior->next=hb->next; //ha->prior 指向 ha 的尾结点 hb->next->prior=ha->prior; hb->prior->next=ha; ha->prior=hb->prior; } free(hb); //释放 hb 头结点 }
19. 用带头结点的单链表表示整数集合,完成以下算法并分析时间复杂度:
(1)设计一个算法求两个集合A和B的并集运算即 $C=A \cup B$。要求不破坏原有的单链表 $A$ 和 $B$。
(2)假设集合中的元素按递增排列,设计一个高效算法求两个集合 $A$ 和 $B$ 的并集运算即 $C=A \cup B$ 。要求不破坏原有的单链表 $A$ 和 $B$。
解:(1)集合 $A、B、C$ 分别用单链表 $ha、hb、hc$ 存储。采用尾插法创建单链表 $hc$,先将 $ha$ 单链表中所有结点复制到 $hc$ 中,然后扫描单链表 $hb$,将其中所有不属于 $ha$ 的结点复制到 $hc$ 中。对应的算法如下:
void Union1(LinkNode *ha,LinkNode *hb,LinkNode *&hc) { LinkNode *pa=ha->next,*pb=hb->next,*pc,*rc; hc=(LinkNode *)malloc(sizeof(LinkNode)); rc=hc; while (pa!=NULL) //将 A 复制到 C 中 { pc=(LinkNode *)malloc(sizeof(LinkNode)); pc->data=pa->data; rc->next=pc; rc=pc; pa=pa->next; } while (pb!=NULL) //将 B 中不属于 A 的元素复制到 C 中 { pa=ha->next; while (pa!=NULL && pa->data!=pb->data) pa=pa->next; if (pa==NULL) //pb->data 不在 A 中 { pc=(LinkNode *)malloc(sizeof(LinkNode)); pc->data=pb->data; rc->next=pc; rc=pc; } pb=pb->next; } rc->next=NULL; //尾结点 next 域置为空 }本算法的时间复杂度为 O($m×n$),其中 m、n 为单链表 ha 和 hb 中的数据结点个数。
(2)同样采用尾插法创建单链表 $hc$,并利用单链表的有序性,采用二路归并方法来提高算法效率。对应的算法如下:void Union2(LinkNode *ha,LinkNode *hb,LinkNode *&hc) { LinkNode *pa=ha->next,*pb=hb->next,*pc,*rc; hc=(LinkNode *)malloc(sizeof(LinkNode)); rc=hc; while (pa!=NULL && pb!=NULL) { if (pa->data<pb->data) //将较小的结点 pa 复制到 hc 中 { pc=(LinkNode *)malloc(sizeof(LinkNode)); pc->data=pa->data; rc->next=pc; rc=pc; pa=pa->next; } else if (pa->data>pb->data) //将较小的结点 pb 复制到 hc 中 { pc=(LinkNode *)malloc(sizeof(LinkNode)); pc->data=pb->data; rc->next=pc; rc=pc; pb=pb->next; } else //相等的结点只复制一个到 hc 中 { pc=(LinkNode *)malloc(sizeof(LinkNode)); pc->data=pa->data; rc->next=pc; rc=pc; pa=pa->next; pb=pb->next; } } if (pb!=NULL) pa=pb; //让 pa 指向没有扫描完的单链表结点 while (pa!=NULL) { pc=(LinkNode *)malloc(sizeof(LinkNode)); pc->data=pa->data; rc->next=pc; rc=pc; pa=pa->next; } rc->next=NULL; //尾结点 next 域置为空 }本算法的时间复杂度为 O(m+n),其中 m、n 为单链表 ha 和 hb 中的数据结点个数。
20. 用带头结点的单链表表示整数集合,完成以下算法并分析时间复杂度:
(1)设计一个算法求两个集合A和B的差集运算即C=A-B。要求算法的空间复杂度为O(1),并释放单链表A和B中不需要的结点。
(2)并假设集合中的元素按递增排列,设计一个高效算法求两个集合A和B的差集运算即C=A-B。要求算法的空间复杂度为O(1),并释放单链表A和B中不需要的结点。
解:集合A、B、C分别用单链表ha、hb、hc存储。由于要求空间复杂度为O(1),不能采用复制方法,只能利用原来单链表中结点重组产生结果单链表。
(1)将 ha 单链表中所有在 hb 中出现的结点删除,最后将 hb 中所有结点删除。对应的算法如下:void Sub1(LinkNode *ha,LinkNode *hb,LinkNode *&hc) { LinkNode *prea=ha,*pa=ha->next,*pb,*p,*post; hc=ha; //将 ha 的头结点作为 hc 的头结点 while (pa!=NULL) //删除 A 中属于 B 的结点 { pb=hb->next; while (pb!=NULL && pb->data!=pa->data) pb=pb->next; if (pb!=NULL) //pa->data 在 B 中,从 A 中删除结点 pa { prea->next=pa->next; free(pa); pa=prea->next; } else { prea=pa; //prea 和 pa 同步后移 pa=pa->next; } } p=hb; post=hb->next; //释放 B 中所有结点 while (post!=NULL) { free(p); p=post; post=post->next; } free(p); }本算法的时间复杂度为 O(m×n),其中 m、n 为单链表 ha 和 hb 中的数据结点个数。
(2)同样采用尾插法创建单链表 hc,并利用单链表的有序性,采用二路归并方法来提高算法效率,一边比较一边将不需要的结点删除。对应的算法如下:void Sub2(LinkNode *ha,LinkNode *hb,LinkNode *&hc) { LinkNode *prea=ha,*pa=ha->next; //pa 扫描 ha,prea 是 pa 结点的前驱结点指针 LinkNode *preb=hb,*pb=hb->next; //pb 扫描 hb,preb 是 pb 结点的前驱结点指针 LinkNode *rc; //hc 的尾结点指针 hc=ha; //ha 的头结点作为 hc 的头结点 rc=hc; while (pa!=NULL && pb!=NULL) { if (pa->data<pb->data) //将较小的结点 pa 链到 hc 之后 { rc->next=pa; rc=pa; prea=pa; //prea 和 p 同步后移 pa=pa->next; } else if (pa->data>pb->data) //删除较大的结点 pb { preb->next=pb->next; free(pb); pb=preb->next; } else //删除相等的 pa 结点和 pb 结点 { prea->next=pa->next; free(pa); pa=prea->next; preb->next=pb->next; free(pb); pb=preb->next; } } while (pb!=NULL) //删除 pb 余下的结点 { preb->next=pb->next; free(pb); pb=preb->next; } free(hb); //释放 hb 的头结点 rc->next=NULL; //尾结点 next 域置为空 }本算法的时间复杂度为 O(m+n),其中 m、n 为单链表 ha 和 hb 中的数据结点个数。
第 3 章 栈和队列
1. 有5个元素,其进栈次序为:A、B、C、D、E,在各种可能的出栈次序中,以元素C、D最先出栈(即 C 第一个且 D 第二个出栈)的次序有哪几个?
答:要使 C 第一个且 D 第二个出栈,应是 A 进栈, B 进栈, C 进栈, C 出栈, D 进栈, D 出栈,之后可以有以下几种情况:
(1)B出栈,A出栈,E进栈,E出栈,输出序列为CDBAE;
(2)B出栈,E进栈,E出栈,A出栈,输出序列为CDBEA;
(3)E进栈,E出栈,B出栈,A出栈,输出序列为CDEBA。
所以可能的次序有:CDBAE、CDBEA、CDEBA。
2. 在一个算法中需要建立多个栈(假设 3 个栈或以上)时可以选用以下 3 种方案之一,试问这些方案之间相比各有什么优缺点?
(1)分别用多个顺序存储空间建立多个独立的顺序栈。
(2)多个栈共享一个顺序存储空间。
(3)分别建立多个独立的链栈。
答:(1)优点是每个栈仅用一个顺序存储空间时,操作简单。缺点是分配空间小了,容易产生溢出,分配空间大了,容易造成浪费,各栈不能共享空间。
(2)优点是多个栈仅用一个顺序存储空间,充分利用了存储空间,只有在整个存储空间都用完时才会产生溢出。缺点是当一个栈满时要向左、右查询有无空闲单元。如果有,则要移动元素和修改相关的栈底和栈顶指针。当接近栈满时,要查询空闲单元、移动元素和修改栈底、栈顶指针,这一过程计算复杂且十分耗时。
(3)优点是多个链栈一般不考虑栈的溢出。缺点是栈中元素要以指针相链接,比顺序存储多占用了存储空间。
3. 在以下几种存储结构中,哪个最适合用作链栈?
(1)带头结点的单链表
(2)不带头结点的循环单链表
(3)带头结点的双链表
答:栈中元素之间的逻辑关系属线性关系,可以采用单链表、循环单链表和双链表之一来存储,而栈的主要运算是进栈和出栈。
当采用(1)时,前端作为栈顶,进栈和出栈运算的时间复杂度为 O(1)。
当采用(2)时,前端作为栈顶,当进栈和出栈时,首结点都发生变化,还需要找到尾结点,通过修改其 next 域使其变为循环单链表,算法的时间复杂度为 O($n$)。
当采用(3)时,前端作为栈顶,进栈和出栈运算的时间复杂度为 O(1)。
但单链表和双链表相比,其存储密度更高,所以本题中最适合用作链栈的是带头结点的单链表。
4. 简述以下算法的功能(假设 ElemType 为 int 类型):
void fun(ElemType a[],int n)
{ int i; ElemType e;
SqStack *st1,*st2;
InitStack(st1);
InitStack(st2);
for (i=0;i<n;i++)
if (a[i]%2==1)
Push(st1,a[i]);
else
Push(st2,a[i]);
i=0;
while (!StackEmpty(st1))
{ Pop(st1,e);
a[i++]=e;
}
while (!StackEmpty(st2))
{ Pop(st2,e);
a[i++]=e;
}
DestroyStack(st1);
DestroyStack(st2);
}
答:算法的执行步骤如下:
(1)扫描数组 a,将所有奇数进到 st1 栈中,将所有偶数进到 st2 栈中。
(2)先将 st1 的所有元素(奇数元素)退栈,并放到数组 a 中并覆盖原有位置的元素;
再将 st2 的所有元素(偶数元素)退栈,并放到数组 a 中并覆盖原有位置的元素。
(3)销毁两个栈 st1 和 st2。
所以本算法的功能是,利用两个栈将数组 a 中所有的奇数元素放到所有偶数元素的前面。例如,ElemType a[]={1,2,3,4,5,6},执行算法后数组 a 改变为{5,3,1,6,4,2}。
5. 简述以下算法的功能(顺序栈的元素类型为 ElemType)。
void fun(SqStack *&st,ElemType x)
{ SqStack *tmps;
ElemType e;
InitStack(tmps);
while(!StackEmpty(st))
{ Pop(st,e);
if(e!=x) Push(tmps,d);
}
while (!StackEmpty(tmps))
{ Pop(tmps,e);
Push(st,e);
}
DestroyStack(tmps);
}
答:算法的执行步骤如下:
(1)建立一个临时栈 $tmps$ 并初始化。
(2)退栈 $st$ 中所有元素,将不为 $x$ 的元素进栈到 $tmps$ 中。
(3)退栈 $tmps$ 中所有元素,并进栈到 $st$ 中。
(4)销毁栈 $tmps$。
所以本算法的功能是,如果栈 $st$ 中存在元素 $x$,将其从栈中清除。例如,$st$ 栈中从栈底到栈顶为 $a、b、c、d、e$,执行算法 fun($st,'c'$)后,$st$ 栈中从栈底到栈顶为 $a、b、d、e$。
6. 简述以下算法的功能(栈 st 和队列 qu 的元素类型均为 ElemType)。
bool fun(SqQueue *&qu,int i)
{ ElemType e;
int j=1;
int n=(qu->rear-qu->front+MaxSize)%MaxSize;
if (j<1 || j>n) return false;
for (j=1;j<=n;j++)
{ deQueue(qu,e);
if (j!=i)
enQueue(qu,e);
}
return true;
}
答:算法的执行步骤如下:
(1)求出队列 $qu$ 中的元素个数 $n$。参数 $i$ 错误时返回假。
(2)$qu$ 出队共计 $n$ 次,除了第 $i$ 个出队的元素外,其他出队的元素立即进队。
(3)返回真。
所以本算法的功能是,删除 $qu$ 中从队头开始的第 $i$ 个元素。例如,$qu$ 中从队头到队尾的元素是 $a、b、c、d、e$,执行算法 fun($qu,2$)后,qu 中从队头到队尾的元素改变为 $a、c、d、e$。
7. 什么是环形队列?采用什么方法实现环形队列?
答:当用数组表示队列时,把数组看成是一个环形的,即令数组中第一个元素紧跟在最末一个单元之后,就形成一个环形队列。环形队列解决了非环形队列中出现的“假溢出”现象。
通常采用逻辑上求余数的方法来实现环形队列,假设数组的大小为 n,当元素下标 $i$ 增 1 时,采用 $i=(i+1)$%$n$ 来实现。
8. 环形队列一定优于非环形队列吗?什么情况下使用非环形队列?
答:队列主要是用于保存中间数据,而且保存的数据满足先产生先处理的特点。非环形队列可能存在数据假溢出,即队列中还有空间,可是队满的条件却成立了,为此改为环形队列,这样克服了假溢出。但并不能说环形队列一定优于非环形队列,因为环形队列中出队元素的空间可能被后来进队的元素覆盖,如果算法要求在队列操作结束后利用进队的所有元素实现某种功能,这样环形队列就不适合了,这种情况下需要使用非环形队列,例如利用非环形队列求解迷宫路径就是这种情况。
9. 假设以 I 和 O 分别表示进栈和出栈操作,栈的初态和终栈均为空,进栈和出栈的操作序列可表示为仅由 I 和 O 组成的序列。
(1)下面所示的序列中哪些是合法的?
A.IOIIOIOO B.IOOIOIIO C.IIIOIOIO D.IIIOOIOO
(2)通过对(1)的分析,设计一个算法判定所给的操作序列是否合法。若合法返回真;否则返回假。(假设被判定的操作序列已存入一维数组中)。
解:(1)选项A、D均合法,而选项B、C不合法。因为在选项B中,先进栈一次,立即出栈3次,这会造成栈下溢。在选项C中共进栈5次,出栈3次,栈的终态不为空。
(2)本题使用一个链栈来判断操作序列是否合法,其中 $str$ 为存放操作序列的字符数组,$n$ 为该数组的字符个数(这里的 ElemType 类型设定为 char)。对应的算法如下:bool judge(char str[],int n) { int i=0; ElemType x; LinkStNode *ls; bool flag=true; InitStack(ls); while (i<n && flag) { if (str[i]=='I') //进栈 Push(ls,str[i]); else if (str[i]=='O') //出栈 { if (StackEmpty(ls)) flag=false; //栈空时 else Pop(ls,x); } else flag=false; //其他值无效 i++; } if (!StackEmpty(ls)) flag=false; DestroyStack(ls); return flag; }
10. 假设表达式中允许包含 3 种括号:圆括号、方括号和大括号。编写一个算法判断表达式中的括号是否正确配对。
解:设置一个栈 $st$,扫描表达式 $exp$,遇到 ‘(’、‘[’ 或 ‘{’,则将其进栈;遇到 ‘)’ ,若栈顶是 ‘(’,则继续处理,否则以不配对返回假;遇到 ‘]’,若栈顶是 ‘[’,则继续处理,否则以不配对返回假;遇到 ‘}’,若栈顶是 ‘{’,则继续处理,否则以不配对返回假。在 $exp$ 扫描完毕,若栈不空,则以不配对返回假;否则以括号配对返回真。本题算法如下:
bool Match(char exp[],int n) { LinkStNode *ls; InitStack(ls); int i=0; ElemType e; bool flag=true; while (i<n && flag) { if (exp[i]=='(' || exp[i]=='[' || exp[i]=='{') Push(ls,exp[i]); //遇到'('、'['或'{',则将其进栈 if (exp[i]==')') //遇到')',若栈顶是'(',则继续处理,否则以不配对返回 { if (GetTop(ls,e)) { if (e=='(') Pop(ls,e); else flag=false; } else flag=false; } if (exp[i]==']') //遇到']',若栈顶是'[',则继续处理,否则以不配对返回 { if (GetTop(ls,e)) { if (e=='[') Pop(ls,e); else flag=false; } else flag=false; } if (exp[i]=='}') //遇到'}',若栈顶是'{',则继续处理,否则以不配对返回 { if (GetTop(ls,e)) { if (e=='{') Pop(ls,e); else flag=false; } else flag=false; } i++; } if (!StackEmpty(ls)) flag=false; //若栈不空,则不配对 DestroyStack(ls); return flag; }
11. 设从键盘输入一序列的字符 $a_{1}、a_{2}、···、a_{n}$。设计一个算法实现这样的功能:若 $a_{i}$ 为数字字符,$a_{i}$ 进队,若 $a_{i}$ 为小写字母时,将队首元素出队,若 $a_{i}$ 为其他字符,表示输入结束。要求使用环形队列。
解:先建立一个环形队列 qu,用 while 循环接收用户输入,若输入数字字符,将其进队;若输入小写字母,出队一个元素,并输出它;若为其他字符,则退出循环。本题算法如下:
void fun() { ElemType a,e; SqQueue *qu; //定义队列指针 InitQueue(qu); while (true) { printf("输入 a:"); scanf("%s",&a); if (a>='0' && a<='9') //为数字字符 { if (!enQueue(qu,a)) printf(" 队列满,不能进队\n"); } else if (a>='a' && a<='z') //为小写字母 { if (!deQueue(qu,e)) printf(" 队列空,不能出队\n"); else printf(" 出队元素:%c\n",e); } else break; //为其他字符 } DestroyQueue(qu); }
12. 设计一个算法,将一个环形队列(容量为 n,元素下标从 0 到 n-1)的元素倒置。例如,图 3.2(a)中为倒置前的队列($n$=10),图 3.2(b)中为倒置后的队列。

图 3.2 一个环形队列倒置前后的状态
解:使用一个临时栈 $st$,先将 $qu$ 队列中所有元素出队并将其进栈 $st$,直到队列空为止。然后初始化队列 $qu$(队列清空),再出栈 $st$ 的所有元素并将其进队 $qu$,最后销毁栈 $st$。对应的算法如下:
void Reverse(SqQueue *&qu) { ElemType e; SqStack *st; InitStack(st); while (!QueueEmpty(qu)) //队不空时,出队并进栈 { deQueue(qu,e); Push(st,e); } InitQueue(qu); //队列初始化 while (!StackEmpty(st)) //栈不空时,出栈并将元素入队 { Pop(st,e); enQueue(qu,e); } DestroyStack(st); }
13. 编写一个程序,输入 $n$(由用户输入)个 10 以内的数,每输入 $i$($0 \leqslant i \leqslant 9$),就把它插入到第 i 号队列中。最后把 10 个队中非空队列,按队列号从小到大的顺序串接成一条链,并输出该链的所有元素。
解:建立一个队头指针数组 quh 和队尾指针数组 $qut$,$quh[i]$和 $qut[i]$表示 $i$ 号($0 \leqslant i \leqslant 9$)队列的队头和队尾,先将它们所有元素置为 NULL。对于输入的 x,采用尾插法将其链到 $x$ 号队列中。然后按 0~9 编号的顺序把这些队列中的结点构成一个不带头结点的单链表,其
首结点指针为 head。最后输出单链表 head 的所有结点值并释放所有结点。对应的程序如下:#include <stdio.h> #include <malloc.h> #define MAXQNode 10 //队列的个数 typedef struct node { int data; struct node *next; } QNode; void Insert(QNode *quh[], QNode *qut[], int x) //将 x 插入到相应队列中 { QNode *s; s = (QNode *) malloc(sizeof(QNode)); //创建一个结点 s s->data = x; s->next = NULL; if (quh[x] == NULL) //x 号队列为空队时 { quh[x] = s; qut[x] = s; } else //x 号队列不空队时 { qut[x]->next = s; //将 s 结点链到 qut[x]所指结点之后 qut[x] = s; //让 qut[x]仍指向尾结点 } } void Create(QNode *quh[], QNode *qut[]) //根据用户输入创建队列 { int n, x, i; printf("n:"); scanf("%d", &n); for (i = 0; i < n; i++) { do { printf("输入第%d 个数:", i + 1); scanf("%d", &x); } while (x < 0 || x > 10); Insert(quh, qut, x); } } void DestroyList(QNode *&head) //释放单链表 { QNode *pre = head, *p = pre->next; while (p != NULL) { free(pre); pre = p; p = p->next; } free(pre); } void DispList(QNode *head) //输出单链表的所有结点值 { printf("\n 输出所有元素:"); while (head != NULL) { printf("%d ", head->data); head = head->next; } printf("\n"); } QNode *Link(QNode *quh[], QNode *qut[]) //将非空队列链接起来并输出 { QNode *head = NULL, *tail; //总链表的首结点指针和尾结点指针 int i; for (i = 0; i < MAXQNode; i++) //扫描所有队列 if (quh[i] != NULL) //i 号队列不空 { if (head == NULL) //若 i 号队列为第一个非空队列 { head = quh[i]; tail = qut[i]; } else //若 i 号队列不是第一个非空队列 { tail->next = quh[i]; tail = qut[i]; } } tail->next = NULL; return head; } int main() { int i; QNode *head; QNode *quh[MAXQNode], *qut[MAXQNode]; //各队列的队头 quh 和队尾指针 qut for (i = 0; i < MAXQNode; i++) quh[i] = qut[i] = NULL; //置初值空 Create(quh, qut); //建立队列 head = Link(quh, qut); //链接各队列产生单链表 DispList(head); //输出单链表 DestroyList(head); //销毁单链表 return 1;
第 4 章 串
1. 串是一种特殊的线性表,请从存储和运算两方面分析它的特殊之处。
答:从存储方面看,串中每个元素是单个字符,在设计串存储结构时可以每个存储单元或者结点只存储一个字符。从运算方面看,串有连接、判串相等、求子串和子串替换等基本运算,这是线性表的基本运算中所没有的。
2. 为什么模式匹配中,BF 算法是有回溯算法,而 KMP 算法是无回溯算法?
答:设目标串为 $s$,模式串为 $t$。在 BF 算法的匹配过程中,当 $t[j]=s[i]$时,置 $i++$,$j++$;当 $t[j] \neq s[i]$时,置 $i=i-j+1$,$j=0$。从中看到,一旦两字符不等,目标串指针 $i$ 会回退,所以 BF 算法是有回溯算法。在 KMP 算法的匹配过程中,当 $t[j]=s[i]$时,置 $i++$,$j++$;当 $t[j] \neq s[i]$ 时,$i$ 不变,置 $j=next[j]$。从中看到,目标串指针 $i$ 不会回退,只会保持位置不变或者向前推进,所以 KMP 算法是无回溯算法。
3. 在 KMP 算法中,计算模式串的 $next$ 时,当 $j=0$ 时,为什么要置 $next[0]=-1$?
答:当模式串中 $t_{0}$ 字符与目标串中某字符 $s_{i}$ 比较不相等时,此时置 $next[0]=-1$ 表示模式串中已没有字符可与目标串的 $s_{i}$ 比较,目标串当前指针 $i$ 应后移至下一个字符,再和模式串的 $t_{0}$ 字符进行比较。
4. KMP 算法是简单模式匹配算法的改进,以目标串 $s$="$aabaaabc$"、模式串 $t$="$aaabc$" 为例说明的 $next$ 的作用。
答:模式串 t="$aaabc$"的 $next$ 数组值如表 4.1 所示。
$j$ 0 1 2 3 4 $t[j]$ $a$ $a$ $a$ $b$ $c$ $next[j]$ -1 0 1 2 0 表 4.1 模式串 t 对应的 next 数组
从 i=0,j=0 开始,当两者对应字符相等时,$i++$,$j++$,直到 $i$=2,$j$=2 时对应字符不相等。如果是简单模式匹配,下次从 $i$=1,$j$=0 开始比较。
KMP 算法已经获得了前面字符比较的部分匹配信息,即 $s[0..1]=t[0..1]$,所以 $s[0]=t[0]$,而 $next[2]=1$ 表明 $t[0]=t[1]$,所以有$s[0]=t[1]$,这说明下次不必从 $i$=1,$j$=0 开始比较,而只需保持 $i$=2 不变,让 $i$=2 和 $j$=$next[j]$=1 的字符进行比较。
$i$=2,$j$=1 的字符比较不相等,保持 $i$=2 不变,取 $j$=$next[j]$=0。
$i$=2,$j$=0 的字符比较不相等,保持 $i$=2 不变,取 $j$=$next[j]$=-1。
当 $j$=-1 时 $i$++、$j$++,则 $i$=3,$j$=0,对应的字符均相等,一直比较到 $j$ 超界,此时表示匹配成功,返回 3。
从中看到,$next[j]$保存了部分匹配的信息,用于提高匹配效率。由于是在模式串的 $j$ 位置匹配失败的,$next$ 也称为失效函数或失配函数。
5. 给出以下模式串的 $next$ 值和 $nextval$ 值:
(1)ababaa
(2)abaabaab
答:(1)求其 next 和 nextval 值如表 4.2 所示。
j 0 1 2 3 4 5 t[j] a b a b a a next[j] -1 0 0 1 2 3 nextval[j] -1 0 -1 0 -1 3 表 4.2 模式串"ababaa"对应的 next 数组
(2)求其 next 和 nextval 值如表 4.3 所示。
j 0 1 2 3 4 5 6 7 t[j] a b a a b a a b next[j] -1 0 0 1 1 2 3 4 nextval[j] -1 0 -1 1 0 -1 1 0 表 4.3 模式串"abaabaab"对应的 next 数组
6. 设目标为 s="abcaabbabcabaacbacba",模式串 t="abcabaa"。
(1)计算模式串 t 的 nextval 数组。
(2)不写算法,给出利用改进的KMP算法进行模式匹配的过程。
(3)问总共进行了多少次字符比较?
解:(1)先计算next数组,在此基础上求nextval数组,如表4.4所示。
j 0 1 2 3 4 5 6 t[j] a b c a b a a next[j] -1 0 0 0 1 2 1 nextval[j] -1 0 0 -1 0 2 1 表 4.4 计算 next 数组和 nextval 数组
(2)改进的 KMP 算法进行模式匹配的过程如图 4.2 所示。
图 4.2 改进的 KMP 算法模式匹配的过程
(3)从上述匹配过程看出:第 1 趟到第 4 趟的字符比较次数分别是 5、3、1、7,所以总共进行了 16 次字符比较。
7. 有两个顺序串 s1 和 s2,设计一个算法求一个顺序串 s3,该串中的字符是 s1 和 s2中公共字符(即两个串都包含的字符)。
解:扫描 $s1$,对于当前字符 $s1$.$data[i]$,若它在 $s2$ 中出现,则将其加入到串 $s3$ 中。最后返回 $s3$ 串。对应的算法如下:
SqString CommChar(SqString s1,SqString s2) { SqString s3; int i,j,k=0; for (i=0;i<s1.length;i++) { for (j=0;j<s2.length;j++) if (s2.data[j]==s1.data[i]) break; if (j<s2.length) //s1.data[i]是公共字符 { s3.data[k]=s1.data[i]; k++; } } s3.length=k; return s3; }
8. 采用顺序结构存储串,设计一个实现串通配符匹配的算法 pattern_index(),其中的通配符只有‘?’,它可以和任一个字符匹配成功。例如,pattern_index("?$re$","$there are$") 返回的结果是 2。
解:采用 BF 算法的穷举法的思路,只需要增加对‘?’字符的处理功能。对应的算法如下:
int index(SqString s,SqString t) { int i=0,j=0; while (i<s.length && j<t.length) { if (s.data[i]==t.data[j] || t.data[j]=='?') { i++; j++; } else { i=i-j+1; j=0; } } if (j>=t.length) return(i-t.length); else return(-1); }
9. 设计一个算法,在顺序串 s 中从后向前查找子串 t,即求 t 在 s 中最后一次出现的位置。
解:采用简单模式匹配算法。如果串 $s$ 的长度小于串 $t$ 的长度,直接返回 -1。然后 $i$ 从 $s.length - t.length$ 到 0 循环:再对于 $i$ 的每次取值循环:置 $j=i$,$k=0$,若 $s.data[j]==t.data[k]$,则 $j$++,$k$++。循环中当 $k == t.length$ 为真时,表示找到子串,返回物理下标 $i$。所有循环结束后都没有返回,表示串 $t$ 不是串 $s$ 的子串则返回-1。对应的算法如下:
int LastPos1(SqString s,SqString t) { int i,j,k; if (s.length-t.length<0) return -1; for (i=s.length-t.length;i>=0;i--) { for (j=i,k=0;j<s.length && k<t.length && s.data[j]==t.data[k];j++,k++); if (k==t.length) return i; } return -1; }
10. 设计一个算法,判断一个字符串 s 是否形如"序列 1@为序列 2"模式的字符序列,其中序列 1 和序列 2 都不含有'@'字符,且序列 2 是序列 1 的逆序列。例如"$a+b$@$b+a$"属于该模式的字符序列,而"1+3@3-1"则不是。
解:建立一个临时栈 $st$ 并初始化为空,其元素为 char 类型。置匹配标志 $flag$ 为 true。扫描顺序串 $s$ 的字符,将'@'之前的字符进栈。继续扫描顺序串 $s$ 中'@'之后的字符,每扫描一个字符 $e$,退栈一个字符 $x$,若退栈时溢出或 $e$ 不等于 $x$,则置 $flag$ 为 false。循环结束后,若栈不空,置 $flag$ 为 false。最后销毁栈 $st$ 并返回 $flag$。对应的算法如下:
bool symm(SqString s) { int i = 0; char e, x; bool flag = true; SqStack *st; InitStack(st); while (i < s.length) //将'@'之前的字符进栈 { e = s.data[i]; if (e != '@') Push(st, e); else break; i++; } i++; //跳过@字符 while (i < s.length && flag) { e = s.data[i]; if (!Pop(st, x)) flag = false; if (e != x) flag = false; i++; } if (!StackEmpty(st)) flag = false; DestroyStack(st); return flag; }
11. 采用顺序结构存储串,设计一个算法求串 $s$ 中出现的第一个最长重复子串的下标和长度。
解:采用简单模式匹配算法的思路,先给最长重复子串的起始下标 $maxi$ 和长度 $maxlen$ 均赋值为 0。用 $i$ 扫描串 $s$,对于当前字符 $s_{i}$,判定其后是否有相同的字符,若有记为 $s_{j}$,再判定 $s_{i+1}$ 是否等于 $s_{j+1}$,$s_{i+2}$ 是否等于 $s_{j+2}$,…,直至找到一个不同的字符为止,即找到一个重复出现的子串,把其起始下标 $i$ 与长度 $len$ 记下来,将 $len$ 与 $maxlen$ 相比较,保留较长的子串 $maxi$ 和 $maxlen$。再从 $s_{j+len}$ 之后查找重复子串。然后对于 $s_{i+1}$之后的字符采用上述过程。循环结束后,$maxi$ 与 $maxlen$ 保存最长重复子串的起始下标与长度,将其复制到串 $t$ 中。
对应的算法如下:void maxsubstr(SqString s, SqString &t) { int maxi = 0, maxlen = 0, len, i, j, k; i = 0; while (i < s.length) //从下标为 i 的字符开始 { j = i + 1; //从 i 的下一个位置开始找重复子串 while (j < s.length) { if (s.data[i] == s.data[j]) //找一个子串,其起始下标为 i,长度为 len { len = 1; for (k = 1; s.data[i + k] == s.data[j + k]; k++) len++; if (len > maxlen) //将较大长度者赋给 maxi 与 maxlen { maxi = i; maxlen = len; } j += len; } else j++; } i++; //继续扫描第 i 字符之后的字符 } t.length = maxlen; //将最长重复子串赋给 t for (i = 0; i < maxlen; i++) t.data[i] = s.data[maxi + i]; }
12. 用带头结点的单链表表示链串,每个结点存放一个字符。设计一个算法,将链串 $s$ 中所有值为 $x$ 的字符删除。要求算法的时间复杂度均为 O($n$),空间复杂度为 O(1)。
解:让 $pre$ 指向链串头结点,$p$ 指向首结点。当 $p$ 不为空时循环:当 $p$ -> $data$== $x$ 时,通过 $pre$ 结点删除 $p$ 结点,再让 $p$ 指向 $pre$ 结点的后继结点;否则让 $pre$、$p$ 同步后移一个结点。对应的算法如下:
void deleteall(LinkStrNode *&s, char x) { LinkStrNode *pre = s, *p = s->next; while (p != NULL) { if (p->data == x) { pre->next = p->next; free(p); p = pre->next; } else { pre = p; //pre、p 同步后移 p = p->next; } } }
第 5 章 递归
1. 有以下递归函数:
void fun(int n)
{ if (n==1)
printf("a:%d\n",n);
else
{ printf("b:%d\n",n);
fun(n-1);
printf("c:%d\n",n);
}
}
分析调用 fun(5)的输出结果。
解:调用递归函数 fun(5)时,先递推到递归出口,然后求值。这里的递归出口语句是 printf("a:%d\n",n),递推时执行的语句是 printf("b:%d\n",n),求值时执行的语句是 printf("c:%d\n",n)。调用 fun(5) 的输出结果如下:
b:5
b:4
b:3
b:2
a:1
c:2
c:3
c:4
c:5
2. 已知 A[0..n-1]为整数数组,设计一个递归算法求这 n 个元素的平均值。
解:设avg(A,i)返回A[0..i]共i+1个元素的平均值,则递归模型如下:
avg(A,i)=A[0] 当i=0
avg(A,i)=(avg(A,i-1)*i+A[i])/(i+1) 其他情况
对应的递归算法如下:float avg(int A[],int i) { if (i==0) return(A[0]); else return((avg(A,i-1)*i+A[i])/(i+1)); }求 $A$[$n$]中 $n$ 个元素平均值的调用方式为:avg($A$,$n$-1)。
3. 设计一个算法求正整数 n 的位数。
解:设 $f(n$)为整数 $n$ 的位数,其递归模型如下:
$f(n)$=1 当 $n$<10 时
$f(n)=f(n/10)+1$ 其他情况
对应的递归算法如下:int fun(int n) { if (n<10) return 1; else return fun(n/10)+1; }
4. 上楼可以一步上一阶,也可以一步上两阶。设计一个递归算法,计算共有多少种不同的走法。
解:设 $f(n)$ 表示 $n$ 阶楼梯的不同的走法数,显然 $f(1)=1$,$f(2)=2$(两阶有一步一步走和两步走 2 种走法)。$f(n-1)$ 表示 $n-1$ 阶楼梯的不同的走法数,$f(n-2)$ 表示 $n-2$ 阶楼梯的不同的走法数,对于 $n$ 阶楼梯,第 1 步上一阶有个 $f(n-1)$ 种走法,第 1 步上两阶有个 $f(n-2)$ 种走法,则 $f(n)= f(n-1)+ f(n-2)$。对应的递归算法如下:
int fun(int n) { if (n==1 || n==2) return n; else return fun(n-1)+fun(n-2); }
5. 设计一个递归算法,利用顺序串的基本运算求串 s 的逆串。
解:经分析,求逆串的递归模型如下:
$f(s) = s$ 若 $s=Φ$
$f(s) = Concat(f(SubStr(s,2,StrLength(s)-1))$,SubStr(s,1,1)) 其他情况
递归思路是:对于 $s$=“$s_{1}s_{2}···s_{n}$”的串,假设“$s_{2}s_{3}···s_{n}$”已求出其逆串即 $f$(SubStr($s$,2,StrLength($s$)-1)),再将 $s_{1}$(为 SubStr($s$,1,1))单个字符构成的串连接到最后即得到 $s$ 的逆串。对应的递归算法如下:#include "sqstring.cpp" //顺序串的基本运算算法 SqString invert(SqString s) { SqString s1,s2; if (StrLength(s)>0) { s1=invert(SubStr(s,2,StrLength(s)-1)); s2=Concat(s1,SubStr(s,1,1)); } else StrCopy(s2,s); return s2; }
6. 设有一个不带表头结点的单链表 $L$,设计一个递归算法 count($L$)求以 $L$ 为首结点指针的单链表的结点个数。
解:对应的递归算法如下:
int count(LinkNode *L) { if (L==NULL) return 0; else return count(L->next)+1; }
7. 设有一个不带表头结点的单链表 $L$,设计两个递归算法,traverse($L$)正向输出单链表 $L$ 的所有结点值,traverseR($L$)反向输出单链表 $L$ 的所有结点值。
解:对应的递归算法如下:
void traverse(LinkNode *L) { if (L==NULL) return; printf("%d ",L->data); traverse(L->next); } void traverseR(LinkNode *L) { if (L==NULL) return; traverseR(L->next); printf("%d ",L->data); }
8. 设有一个不带表头结点的单链表 $L$,设计两个递归算法,del($L$,$x$)删除单链表 $L$ 中第一个值为 $x$ 的结点,delall($L$,$x$)删除单链表 $L$ 中所有值为 $x$ 的结点。
解:对应的递归算法如下:
void del(LinkNode *&L, ElemType x) { LinkNode *t; if (L == NULL) return; if (L->data == x) { t = L; L = L->next; free(t); return; } del(L->next, x); } void delall(LinkNode *&L, ElemType x) { LinkNode *t; if (L == NULL) return; if (L->data == x) { t = L; L = L->next; free(t); } delall(L->next, x); }
9. 设有一个不带表头结点的单链表 $L$,设计两个递归算法,maxnode($L$)返回单链表 $L$中最大结点值,minnodel($L$)返回单链表 $L$ 中最小结点值。
解:对应的递归算法如下:
ElemType maxnode(LinkNode *L) { ElemType max; if (L->next == NULL) return L->data; max = maxnode(L->next); if (max > L->data) return max; else return L->data; } ElemType minnode(LinkNode *L) { ElemType min; if (L->next == NULL) return L->data; min = minnode(L->next); if (min > L->data) return L->data; else return min; }
10. 设计一个模式匹配算法,其中模板串 $t$ 含有通配符 '*' ,它可以和任意子串匹配。对于目标串 $s$,求其中匹配模板 $t$ 的一个子串的位置('*'不能出现在 $t$ 的最开头和末尾)。
解:采用 BF 模式匹配的思路,当是 $s[i]$和 $t[j]$比较,而 $t[j]$为'*'时,取出 $s$ 中对应'*'的字符之后的所有字符构成的字符串,即 SubStr($s$,$i$+2,$s.length$-$i$-1),其中 $i$+2 是 $s$ 中对应'*'字符后面一个字符的逻辑序号。再取出 $t$ 中'*'字符后面的所有字符构成的字符串,即SubStr($t$,$j$+2,$t.length$-$j$-1),递归对它们进行匹配,若返回值大于-1,表示匹配成功,返回 $i$。否则返回-1。对应的递归算法如下:
#include "sqstring.cpp" //顺序串的基本运算算法 findpat(SqString s,SqString t) { int i=0,j=0,k; while (i<s.length && j<t.length) { if (t.data[j]=='*') { k=findpat(SubStr(s,i+2,s.length-i-1),SubStr(t,j+2,t.length-j-1)); j++; if (k>-1) return i-1; else return -1; } else if (s.data[i]==t.data[j]) { i++; j++; } else { i=i-j+1; j=0; } } if (j>=t.length) return i-1; else return -1; }
第 6 章 数组和广义表
1. 如何理解数组是线性表的推广。
答:数组可以看成是线性表在下述含义上的扩展:线性表中的数据元素本身也是一个线性表。在 $d$($d$ $\geqslant$ 1)维数组中的每个数据元素都受着 $d$ 个关系的约束,在每个关系中,数据元素都有一个后继元素(除最后一个元素外)和一个前驱元素(除第一个元素外)。
因此,这 $d$ 个关系中的任一关系,就其单个关系而言,仍是线性关系。例如,$m$×$n$ 的二维数组的形式化定义如下:
$A$=($D$,$R$)
其中:
$D$ = { $a_{ij}$ | 0 $\leqslant i \leqslant m$ - 1,0 $\leqslant j \leqslant n$ - 1} //数据元素的集合
$R$ = { ROW,COL }
ROW = { <$a_{i,j}$,$a_{i+1,j}$> | 0 $\leqslant i \leqslant m$ - 2,0 $\leqslant j \leqslant n$ - 1} //行关系
COL = { <$a_{i,j}$,$a_{i,j+1}$> | 0 $\leqslant i \leqslant m$ - 1,0 $\leqslant j \leqslant n$ - 2} //列关系
2. 有三维数组 a[0..7,0..8,0..9]采用按行序优先存储,数组的起始地址是 1000,每个元素占用 2 个字节,试给出下面结果:
(1)元素 $a_{1,6,8}$的起始地址。
(2)数组 $a$ 所占用的存储空间。
答:(1)LOC($a_{1,6,8}$)=LOC($a_{0,0,0}$) + [1×9×10+6×10+8]×2 = 1000+316 = 1316。
(2)数组 $a$ 所占用存储空间 = 8×9×10×2=1440 字节。
3. 如果某个一维数组 $A$ 的元素个数 $n$ 很大,存在大量重复的元素,且所有元素值相同的元素紧挨在一起,请设计一种压缩存储方式使得存储空间更节省。
答:设数组的元素类型为 ElemType,采用一种结构体数组 $B$ 来实现压缩存储,该结构体数组的元素类型如下:
struct { ElemType data; //元素值 int length; //重复元素的个数 }如数组 A[]={1,1,1,5,5,5,5,3,3,3,3,4,4,4,4,4,4},共有 17 个元素,对应的压缩存储 $B$ 为:{1,3},{5,4},{3,4},{4,6}}。从中看出,如果重复元素越多,采用这种压缩存储方式越节省存储空间。
4. 一个 n 阶对称矩阵 A 采用压缩存储在一维数组 B 中,则 B 包含多少个元素?
答:通常 B 中包含 n 阶对称矩阵 A 的下三角和主对角线上的元素,其元素个数为 $$1+2+···+n= \frac{n(n+1)}{2} $$ 。所以 B 包含 $$\frac{n(n+1)}{2}$$ 个元素。
5. 设 $n$×$n$ 的上三角矩阵 $A$[0..$n$-1,0..$n$-1]已压缩到一维数组 $B$[0..$m$]中,若按列为主序存储,则 $A$i对应的 $B$ 中存储位置 $k$ 为多少,给出推导过程。
答:对于上三角部分或者主对角中的元素 $A$$i$ ($i \leqslant j$),按列为主序存储时,前面有 0~$j$-1 共 $j$ 列,第 0 列有 1 个元素,第 1 列有 2 个元素,…,第 $j$-1 列有 $j$ 个元素,所以这 $j$ 列的元素个数=1+2+…+$j$=$j$($j$+1)/2;在第 $j$ 列中,$A$$i$元素前有 $A$[0..$i$-1,$j$]共 $i$ 个元素。所以 $A$$i$元素前有 $j$($j$+1)/2+$i$ 个元素,而 $B$ 的下标从 0 开始,所以 $A$$i$在 $B$ 中的位置 $k$=$j$($j$+1)/2+$i$。
6. 利用三元组存储任意稀疏数组 A 时,假设其中一个元素和一个整数占用的存储空间相同,问在什么条件下才能节省存储空间。
答:设稀疏矩阵 $A$ 有 $t$ 个非零元素,加上行数 rows、列数 cols 和非零元素个数 nums (也算一个三元组),那么三元组顺序表的存储空间总数为 3($t$+1),若用二维数组存储时占用存储空间总数为 $m$×$n$,只有当 3($t$+1)<$m$×$n$ 即 $t$<$m$×$n$/3-1 时,采用三元组存储才能节省存
储空间。
7. 用十字链表存储一个有 k 个非 0 元素的 m×n 的稀疏矩阵,则其总的节点数为多少?
答:该十字链表有一个十字链表表头节点,MAX($m$,$n$)个行、列表头节点。另外,每个非 0 元素对应一个节点,即 $k$ 个元素节点。所以共有 MAX($m$,$n$)+$k$+1 个节点。
8. 求下列广义表运算的结果
(1)$head[(x,y,z)]$
(2)$tail[((a,b),(x,y))]$
注意:为了清楚起见,在括号层次较多时,将 $head$ 和 $tail$ 的参数用中括号表示。例如 $head[G]$、$tail[G]$ 分别表示求广义表 $G$ 的表头和表尾。$
答:(1)$head[(x,y,z)]=x$。
(2)$tail[((a,b),(x,y))]=((x,y))$。
9. 设定二维整数数组 $B$[0..$m$-1,0..$n$-1]的数据在行、列方向上都按从小到大的顺序排序,且整型变量 $x$ 中的数据在 $B$ 中存在。设计一个算法,找出一对满足 $B$$i$=$x$ 的 $i$、$j$ 值。要求比较次数不超过 $m$+$n$。
解:从二维数组 $B$ 的右上角的元素开始比较。每次比较有三种可能的结果:若相等,则比较结束;若 $x$ 大于右上角元素,则可断定二维数组的最上面一行肯定没有与 $x$ 相等的数据,下次比较时搜索范围可减少一行;若 $x$ 小于右上角元素,则可断定二维数组的最右面一列肯定不包含与 $x$ 相等的数据,下次比较时可把最右一列剔除出搜索范围。这样,每次比较可使搜索范围减少一行或一列,最多经过 $m$+$n$ 次比较就可找到要求的与 $x$ 相等的元素。对应的程序如下:
#include <stdio.h> #define M 3 //行数常量 #define N 4 //列数常量 void Find(int B[M][N], int x, int &i, int &j) { i = 0; j = N - 1; while (B[i][j] != x) if (B[i][j] < x) i++; else j--; } int main() { int i, j, x = 11; int B[M][N] = {{1, 2, 3, 4}, {5, 6, 7, 8}, {9, 10, 11, 12}}; Find(B, x, i, j); printf("B[%d][%d]=%d\n", i, j, x); return 1; }
10. 设计一个算法,计算一个三元组表表示的稀疏矩阵的对角线元素之和。
解:对于稀疏矩阵三元组表 $a$,从 $a.data[0]$开始查看,若其行号等于列号,表示是一个对角线上的元素,则进行累加,最后返回累加值。算法如下:
bool diagonal(TSMatrix a, ElemType &sum) { sum = 0; if (a.rows != a.cols) //行号不等于列号,返回 false { printf("不是对角矩阵\n"); return false; } for (int i = 0; i < a.nums; i++) if (a.data[i].r == a.data[i].c) //行号等于列号 sum += a.data[i].d; return true; }
11. 设计一个算法 Same($g1$,$g2$),判断两个广义表 $g1$ 和 $g2$ 是否相同。
解:判断广义表是否相同过程是,若 $g1$ 和 $g2$ 均为 NULL,则返回 true;若 $g1$ 和 $g2$ 中一个为 NULL,另一不为 NULL,则返回 false;若 $g1$ 和 $g2$ 均不为 NULL,若同为原子且原子值不相等,则返回 false,若同为原子且原子值相等,则返回 Same($g1$->$link$,$g2$->$link$),若同为子表,则返回 Same($g1$->$val.sublist$,$g2$->$val.sublist$) & Same($g1$->$link$,$g2$->$link$)的结果,若一个为原子另一个为子表,则返回 false。对应的算法如下:
bool Same(GLNode *g1, GLNode *g2) { if (g1 == NULL && g2 == NULL) //均为 NULL 的情况 return true; //返回真 else if (g1 == NULL || g2 == NULL) //一个为 NULL,另一不为 NULL 的情况 return false; //返回假 else //均不空的情况 { if (g1->tag == 0 && g2->tag == 0) //均为原子的情况 { if (g1->val.data != g2->val.data) //原子不相等 return false; //返回假 return (Same(g1->link, g2->link)); //返回兄弟比较的结果 } else if (g1->tag == 1 && g2->tag == 1) //均为子表的情况 return (Same(g1->val.sublist, g2->val.sublist) & Same(g1->link, g2->link)); else //一个为原子,另一为子表的情况 return false; //返回假 } }
第 7 章 树和二叉树
1. 有一棵树的括号表示为 A(B,C(E,F(G)),D),回答下面的问题:
(1)指出树的根结点。
(2)指出棵树的所有叶子结点。
(3)结点 C 的度是多少?
(4)这棵树的度为多少?
(5)这棵树的高度是多少?
(6)结点 C 的孩子结点是哪些?
(7)结点 C 的双亲结点是谁?
答:该树对应的树形表示如图 7.2 所示。
(1)这棵树的根结点是 A。
(2)这棵树的叶子结点是 B、E、G、D。
(3)结点 C 的度是 2。
(4)这棵树的度为 3。
(5)这棵树的高度是 4。
(6)结点 C 的孩子结点是 E、F。
(7)结点 C 的双亲结点是 A。
7.2 一棵树
2. 若一棵度为 4 的树中度为 2、3、4 的结点个数分别为 3、2、2,则该树的叶子结点的个数是多少?
答:结点总数 $n=n_{0}+n_{1}+n_{2}+n_{3}+n_{4}$,又由于除根结点外,每个结点都对应一个分支,所以总的分支数等于 $n$-1。而一个度为 $i$(0 $\leqslant i \leqslant$ 4)的结点的分支数为 $i$,所以有:$总分支数 = n-1=1×n_{1}+2×n_{2}+3×n_{3}+4×n_{4}$。综合两式得:$n_{0}=n_{2}+2n_{3}+3n_{4}+1=3+2×2+3×2=14$。
3. 为了实现以下各种功能,其中 $x$ 结点表示该结点的位置,给出树的最适合的存储结构:
(1)求 x 和 y 结点的最近祖先结点。
(2)求 x 结点的所有子孙。
(3)求根结点到 x 结点的路径。
(4)求 x 结点的所有右边兄弟结点。
(5)判断 x 结点是否是叶子结点。
(6)求 x 结点的所有孩子。
答:(1)双亲存储结构。
(2)孩子链存储结构。
(3)双亲存储结构。
(4)孩子兄弟链存储结构。
(5)孩子链存储结构。
(6)孩子链存储结构。
4. 设二叉树 $bt$ 的一种存储结构如表 7.1 所示。其中,$bt$ 为树根结点指针,$lchild$、$rchild$ 分别为结点的左、右孩子指针域,在这里使用结点编号作为指针域值,0 表示指针域值为空;$data$ 为结点的数据域。请完成下列各题:
(1)画出二叉树 bt 的树形表示。
(2)写出按先序、中序和后序遍历二叉树 bt 所得到的结点序列。
(3)画出二叉树 bt 的后序线索树(不带头结点)。
表7.1 二叉树bt的一种存储结构
答:(1)二叉树 $bt$ 的树形表示如图 7.3 所示。
图 7.3 二叉树 bt 的逻辑结构
(2)先序序列:$abcedfhgij$
中序序列:$ecbhfdjiga$
后序序列:$echfjigdba$
(3)二叉树 bt 的后序序列为 $echfjigdba$,则后序线索树如图 7.4 所示。
图 7.4 二叉树 bt 的后序线索化树
5. 含有 60 个叶子结点的二叉树的最小高度是多少?
答:在该二叉树中,$n_{0}=60$,$n_{2}=n_{0}-1=59$,$n=n_{0}+n_{1}+n_{2}=119+n_{1}$,当 $n_{1}=0$ 且为完全二叉树时高度最小,此时高度 $h = \log2\left ( n+1\frac{}{} \right ) = \log_2 120 =7$。所以含有 60 个叶子结点的二叉树的最小高度是 7。
6. 已知一棵完全二叉树的第 6 层(设根结点为第 1 层)有 8 个叶子结点,则该完全二叉树的结点个数最多是多少?最少是多少?
答:完全二叉树的叶子结点只能在最下面两层,所以结点最多的情况是第 6 层为倒数第 2 层,即 1~6 层构成一棵满二叉树,其结点总数为 $2^6-1=63$。其中第 6 层有 $2^5=32$ 个结点,含 8 个叶子结点,则另外有 $32-8=24$ 个非叶子结点,它们中每个结点有两个孩子结点(均为第 7 层的叶子结点),计为 48 个叶子结点。这样$最多的结点个数=63+48=111$。
结点最少的情况是第 6 层为最下层,即 1~5 层构成一棵满二叉树,其结点总数为 $2^5-1=31$,再加上第 6 层的结点,总计 $31+8=39$。这样最少的结点个数为 39。
7. 已知一棵满二叉树的结点个数为 20~40 之间,此二叉树的叶子结点有多少个?
答:一棵高度为 h 的满二叉树的结点个数为 $2^h-1$,有:20 $\leqslant 2^h-1 \leqslant$ 40。
则 $h=5$,满二叉树中叶子结点均集中在最底层,所以$叶子结点个数=2^5-1=16 个$。
8. 已知一棵二叉树的中序序列为 $cbedahgijf$,后序序列为 $cedbhjigfa$,给出该二叉树树形表示。
答:该二叉树的构造过程和二叉树如图 7.5 所示。
图 7.5 二叉树的构造过程
9. 给定 5 个字符 $a$~$f$,它们的权值集合 $W$={2,3,4,7,8,9},试构造关于 $W$ 的一棵哈夫曼树,求其带权路径长度 $WPL$ 和各个字符的哈夫曼树编码。
答 : 由 权 值 集 合 $W$ 构 建 的 哈 夫 曼 树 如 图 7.6 所示。 其 带 权 路 径 长 度 $WPL=(9+7+8)×2+4×3+(2+3)×4=80$。
各个字符的哈夫曼树编码:$a:0000,b:0001,c:001,d:10,e:11,f:01$。
图 7.5 二叉树的构造过程
图7.6 一棵哈夫曼树
10. 假设二叉树中每个结点的值为单个字符,设计一个算法将一棵以二叉链方式存储的二叉树 $b$ 转换成对应的顺序存储结构 $a$。
解:设二叉树的顺序存储结构类型为 SqBTree,先将顺序存储结构 $a$ 中所有元素置为 ‘#’(表示空结点)。将 $b$ 转换成 $a$ 的递归模型如下:
$f(b,a,i)$ = $a[i]$='#'; 当 $b$=NULL
$f(b,a,i)$ = 由 $b$ 结点 data 域值建立 $a[i]$元素; 其他情况
$$f(b->lchild,a,2*i)$$
$$ f(b->rchild,a,2*i+1)$$
调用方式为:$f(b,a,1)$($a$ 的下标从 1 开始)。对应的算法如下:void Ctree(BTNode *b,SqBTree a,int i) { if (b!=NULL) { a[i]=b->data; Ctree(b->lchild,a,2*i); Ctree(b->rchild,a,2*i+1); } else a[i]='#'; }
11. 假设二叉树中每个结点值为单个字符,采用顺序存储结构存储。设计一个算法,求二叉树 $t$ 中的叶子结点个数。
解:用 $i$ 遍历所有的结点,当 $i$ 大于等于 MaxSize 时,返回 0。当 $t[i]$是空结点时返回 0;当 $t[i]$ 是非空结点时,若它为叶子结点,num 增 1;否则递归调用 num1=LeftNode($t$,$2*i$) 求出左子树的叶子结点个数 num1,再递归调用 num2=LeftNode($t$,$2*i+1$)求出右子树的叶子结点个数 num2,置 num+=num1+num2。最后返回 num。对应的算法如下:
int LeftNode(SqBTree t,int i) { //i 的初值为 1 int num1,num2,num=0; if (i<MaxSize) { if (t[i]!='#') { if (t[2*i]=='#' && t[2*i+1]=='#') num++; //叶子结点个数增 1 else { num1=LeftNode(t,2*i); num2=LeftNode(t,2*i+1); num+=num1+num2; } return num; } else return 0; } else return 0; }
12. 假设二叉树中每个结点值为单个字符,采用二叉链存储结构存储。设计一个算法计算一棵给定二叉树 b 中的所有单分支结点个数。
解:计算一棵二叉树的所有单分支结点个数的递归模型 $f(b)$如下:
$f(b)=0$ 若 b=NULL
$f(b)=f(b \to lchild)+f(b \to rchild)+1$ 若 b 结点为单分支
$f(b)=f(b \to lchild)+f(b \to rchild)$ 其他情况
对应的算法如下:int SSonNodes(BTNode *b) { int num1,num2,n; if (b==NULL) return 0; else if ((b->lchild==NULL && b->rchild!=NULL) || (b->lchild!=NULL && b->rchild==NULL)) n=1; //为单分支结点 else n=0; //其他结点 num1=SSonNodes(b->lchild); //递归求左子树中单分支结点数 num2=SSonNodes(b->rchild); //递归求右子树中单分支结点数 return (num1+num2+n); }上述算法采用的是先序遍历的思路。
13. 假设二叉树中每个结点值为单个字符,采用二叉链存储结构存储。设计一个算法求二叉树 b 中最小值的结点值。
解:设 $f(b,min)$ 是在二叉树 $b$ 中寻找最小结点值 $min$,其递归模型如下:
$f(b,min)$ = 不做任何事件 若 $b$=NULL
$f(b,min)$ = 当 $b->data<min$ 时置 $min=b->data$; 其他情况
$$ f(b->lchild,min); f(b->rchild,min);$$
对应的算法如下:void FindMinNode(BTNode *b,char &min) { if (b->data<min) min=b->data; FindMinNode(b->lchild,min); //在左子树中找最小结点值 FindMinNode(b->rchild,min); //在右子树中找最小结点值 } void MinNode(BTNode *b) //输出最小结点值 { if (b!=NULL) { char min=b->data; FindMinNode(b,min); printf("Min=%c\n",min); } }
14. 假设二叉树中每个结点值为单个字符,采用二叉链存储结构存储。设计一个算法将二叉链 $b1$ 复制到二叉链 $b2$ 中。
解:当 $b1$ 为空时,置 $b2$ 为空树。当 $b1$ 不为空时,建立 $b2$ 结点($b2$ 为根结点),置 $b2->data=b1->data$;递归调用 Copy($b1->lchild$,$b2->lchild$),由 $b1$ 的左子树建立 $b2$ 的左子树;递归调用 Copy($b1->rchild$,$b2->rchild$),由 $b1$ 的右子树建立 $b2$ 的右子树。对应的算法如下:
void Copy(BTNode *b1,BTNode *&b2) { if (b1==NULL) b2=NULL; else { b2=(BTNode *)malloc(sizeof(BTNode)); b2->data=b1->data; Copy(b1->lchild,b2->lchild); Copy(b1->rchild,b2->rchild); } }
15. 假设二叉树中每个结点值为单个字符,采用二叉链存储结构存储。设计一个算法,求二叉树 $b$ 中第 $k$ 层上叶子结点个数。
解:采用先序遍历方法,当 $b$ 为空时返回 0。置 $num$ 为 0。若 $b$ 不为空,当前结点的层次为 $k$,并且 $b$ 为叶子结点,则 $num$ 增 1,递归调用 $num1$=LevelkCount($b->lchild,k,h+1$) 求出左子树中第 $k$ 层的结点个数 $num1$,递归调用 $num2$=LevelkCount($b->rchild,k,h+1$)求出右子树中第 $k$ 层的结点个数 $num2$,置 $num$+=$num1$+$num2$,最后返回 $num$。对应的算法如下:
int LevelkCount(BTNode *b,int k,int h) { //h 的初值为 1 int num1,num2,num=0; if (b!=NULL) { if (h==k && b->lchild==NULL && b->rchild==NULL) num++; num1=LevelkCount(b->lchild,k,h+1); num2=LevelkCount(b->rchild,k,h+1); num+=num1+num2; return num; } return 0; } int Levelkleft(BTNode *b,int k //返回二叉树 b 中第 k 层上叶子结点个数 { return LevelkCount(b,k,1); }
16. 假设二叉树中每个结点值为单个字符,采用二叉链存储结构存储。设计一个算法,判断值为 $x$ 的结点与值为 $y$ 的结点是否互为兄弟,假设这样的结点值是唯一的。
解:采用先序遍历方法,当 $b$ 为空时直接返回 false;否则,若当前结点 $b$ 是双分支结点,且有两个互为兄弟的结点 $x$、$y$,则返回 true;否则,递归调用 $flag$=Brother($b->lchild$,$x$,$y$),求出 $x$、$y$ 在左子树中是否互为兄弟,若 $flag$ 为 true,则返回 true;否则递归调用 Brother($b->rchild$,$x$,$y$),求出 $x$、$y$ 在右子树中是否互为兄弟,并返回其结果。对应的算法如下:
bool Brother(BTNode *b,char x,char y) { bool flag; if (b==NULL) return false; else { if (b->lchild!=NULL && b->rchild!=NULL) { if ((b->lchild->data==x && b->rchild->data==y) || (b->lchild->data==y && b->rchild->data==x)) return true; } flag=Brother(b->lchild,x,y); if (flag==true) return true; else return Brother(b->rchild,x,y); } }
17. 假设二叉树中每个结点值为单个字符,采用二叉链存储结构存储。设计一个算法,采用先序遍历方法求二叉树 b 中值为 x 的结点的子孙,假设值为 x 的结点是唯一的。
解:设计 Output($p$)算法输出以 $p$ 为根结点的所有结点。首先在二叉树 $b$ 中查找值为 $x$ 的结点,当前 $b$ 结点是这样的结点,调用 Output($b->lchild$)输出其左子树中所有结点,调用 Output($b->rchild$) 输出其右子树中所有结点,并返回;否则,递归调用 Child($b->lchild$,$x$) 在左子树中查找值为 $x$ 的结点,递归调用 Child($b->rchild$,$x$)在右子树中查找值为 $x$ 的结点。
对应的算法如下:void Output(BTNode *p) //输出以 p 为根结点的子树 { if (p != NULL) { printf("%c ", p->data); Output(p->lchild); Output(p->rchild); } } void Child(BTNode *b, char x) //输出 x 结点的子孙 { if (b != NULL) { if (b->data == x) { if (b->lchild != NULL) Output(b->lchild); if (b->rchild != NULL) Output(b->rchild); return; } Child(b->lchild, x); Child(b->rchild, x); } }
18. 假设二叉树采用二叉链存储结构,设计一个算法把二叉树 b 的左、右子树进行交换。要求不破坏原二叉树。并用相关数据进行测试。
解:交换二叉树的左、右子树的递归模型如下:
$f(b,t)$ = $t$=NULL 若 $b$=NULL
$f(b,t)$ = 复制根结点 $b$ 产生结点 $t$; 其他情况
$f(b->lchild,t1); f(b->rchild,t2);$
$t->lchild=t2; t->rchild=t1$
对应的算法如下(算法返回左、右子树交换后的二叉树):#include "btree.cpp" //二叉树基本运算算法 BTNode *Swap(BTNode *b) { BTNode *t, *t1, *t2; if (b == NULL) t = NULL; else { t = (BTNode *) malloc(sizeof(BTNode)); t->data = b->data; //复制产生根结点 t t1 = Swap(b->lchild); t2 = Swap(b->rchild); t->lchild = t2; t->rchild = t1; } return t; }或者设计成如下算法(算法产生左、右子树交换后的二叉树 $b1$):
void Swap1(BTNode *b, BTNode *&b1) { if (b == NULL) b1 = NULL; else { b1 = (BTNode *) malloc(sizeof(BTNode)); b1->data = b->data; //复制产生根结点 b1 Swap1(b->lchild, b1->rchild); Swap1(b->rchild, b1->lchild); } }设计如下主函数:
int main() { BTNode *b, *b1; CreateBTree(b, "A(B(D(,G)),C(E,F))"); printf("交换前的二叉树:"); DispBTree(b); printf("\n"); b1 = Swap(b); printf("交换后的二叉树:"); DispBTree(b1); printf("\n"); DestroyBTree(b); DestroyBTree(b1); return 1; }程序执行结果如下:
交换前的二叉树: A(B(D(,G)),C(E,F))
交换后的二叉树: A(C(F,E),B(,D(G)))
19. 假设二叉树采用二叉链存储结构,设计一个算法判断一棵二叉树 $b$ 的左、右子树是否同构。
解:判断二叉树 b1、b2 是否同构的递归模型如下:
$f(b1,b2)$=true $b1$=$b2$=NULL
$f(b1,b2)$=false 若 $b1$、$b2$ 中有一个为空,另一个不为空
$f(b1,b2)$=$f(b1->lchild,b2->lchild)$ 其他情况
& $f(b1->rchild,b2->rchild)$
对应的算法如下:bool Symm(BTNode *b1, BTNode *b2) //判断二叉树 b1 和 b2 是否同构 { if (b1 == NULL && b2 == NULL) return true; else if (b1 == NULL || b2 == NULL) return false; else return (Symm(b1->lchild, b2->lchild) & Symm(b1->rchild, b2->rchild)); } bool Symmtree(BTNode *b) //判断二叉树的左、右子树是否同构 { if (b == NULL) return true; else return Symm(b->lchild, b->rchild); }
20. 假设二叉树以二叉链存储,设计一个算法,判断一棵二叉树 $b$ 是否为完全二叉树。
解:根据完全二叉树的定义,对完全二叉树按照从上到下、从左到右的次序遍历(层次遍历)应该满足:
(1)某结点没有左孩子,则一定无右孩子。
(2)若某结点缺左或右孩子(一旦出现这种情况,置 $bj$=false),则其所有后继一定无孩子。
若不满足上述任何一条,均不为完全二叉树($cm$=true 表示是完全二叉树,$cm$=false 表
示不是完全二叉树)。对应的算法如下:bool CompBTree(BTNode *b) { BTNode *Qu[MaxSize], *p; //定义一个队列,用于层次遍历 int front = 0, rear = 0; //环形队列的队头队尾指针 bool cm = true; //cm 为真表示二叉树为完全二叉树 bool bj = true; //bj 为真表示到目前为止所有结点均有左右孩子 if (b == NULL) return true; //空树当成特殊的完全二叉树 rear++; Qu[rear] = b; //根结点进队 while (front != rear) //队列不空 { front = (front + 1) % MaxSize; p = Qu[front]; //出队结点 p if (p->lchild == NULL) //p 结点没有左孩子 { bj = false; //出现结点 p 缺左孩子的情况 if (p->rchild != NULL) //没有左孩子但有右孩子,违反(1), cm = false; } else //p 结点有左孩子 { if (!bj) cm = false; //bj 为假而结点 p 还有左孩子,违反(2) rear = (rear + 1) % MaxSize; Qu[rear] = p->lchild; //左孩子进队 if (p->rchild == NULL) bj = false; //出现结点 p 缺右孩子的情况 else //p 有左右孩子,则继续判断 { rear = (rear + 1) % MaxSize; Qu[rear] = p->rchild; //将 p 结点的右孩子进队 } } } return cm; }
第 8 章 图
1. 图G是一个非连通图,共有28条边,则该图至少有多少个顶点?
答:由于 $G$ 是一个非连通图,在边数固定时,顶点数最少的情况是该图由两个连通分量构成,且其中之一只含一个顶点(没有边),另一个为完全无向图。设该完全无向图的顶点数为 $n$,其边数为 $n(n-1)/2$,即 $n(n-1)/2=28$,得 $n=8$。所以,这样的非连通图至少有 1+8=9 个顶点。
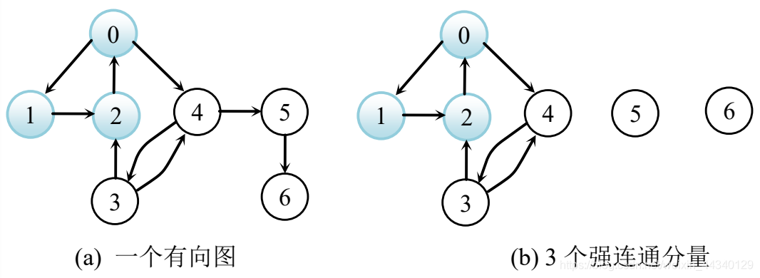
2. 有一个如图 8.2(a)所示的有向图,给出其所有的强连通分量。
答:图中顶点 0、1、2 构成一个环,这个环一定是某个强连通分量的一部分。再考察顶点 3、4,它们到这个环中的顶点都有双向路径,所以将顶点 3、4加入。考察顶点 5、6,它们各自构成一个强连通分量。该有向图的强连通分量有 3 个,如图 8.2(b)所示。
图 8.2 一个有向图及其强连通分量
3. 对于稠密图和稀疏图,采用邻接矩阵和邻接表哪个更好些?
答:邻接矩阵适合于稠密图,因为邻接矩阵占用的存储空间与边数无关。邻接表适合于稀疏图,因为邻接表占用的存储空间与边数有关。
4. 对 $n$ 个顶点的无向图和有向图(均为不带权图),采用邻接矩阵和邻接表表示时,如何求解以下问题:
(1)图中有多少条边?
(2)任意两个顶点i和j是否有边相连?
(3)任意一个顶点的度是多少?
答:(1)对于邻接矩阵表示的无向图,图的边数等于邻接矩阵数组中为 1 的元素个数除以 2;对于邻接表表示的无向图,图中的边数等于边结点的个数除以 2。
对于邻接矩阵表示的有向图,图中的边数等于邻接矩阵数组中为 1 的元素个数;对于邻接表表示的有向图,图中的边数等于边结点的个数。
(2)对于邻接矩阵 $g$ 表示的无向图,邻接矩阵数组元素 $g.edges[i][j]$ 为 1 表示它们有边相连,否则为无边相连。对于邻接矩阵 $g$ 表示的有向图,邻接矩阵数组元素 $g.edges[i][j]$ 为1表示从顶点i到顶点 $j$ 有边,$g.edges[j][i]$ 为 1 表示从顶点 $j$ 到顶点 $i$ 有边。
对于邻接表 $G$ 表示的无向图,若从头结点 $G \to adjlist[i]$的单链表中找到编号为 $j$ 的边表结点,表示它们有边相连;否则为无边相连。对于邻接表 $G$ 表示的有向图,若从头结点 $G \to adjlist[i]$ 的单链表中找到编号为j的边表结点,表示从顶点 $i$ 到顶点 $j$ 有边。若从头结点 $G \to adjlist[j]$ 的单链表中找到编号为i的边表结点,表示从顶点 $j$ 到顶点 $i$ 有边。
(3)对于邻接矩阵表示的无向图,顶点i的度等于第 $i$ 行中元素为 1 的个数;对于邻接矩阵表示的有向图,顶点i的出度等于第 $i$ 行中元素为 1 的个数,入度等于第 $i$ 列中元素为 1 的个数,顶点i度等于它们之和。
对于邻接表 $G$ 表示的无向图,顶点 $i$ 的度等于 $G \to adjlist[i]$ 为头结点的单链表中边表结点个数。
对于邻接表 $G$ 表示的有向图,顶点 $i$ 的出度等于 $G \to adjlist[i]$ 为头结点的单链表中边表结点的个数;入度需要遍历所有的边结点,若 $G \to adjlist[j]$为头结点的单链表中存在编号为 $i$ 的边结点,则顶点i的入度增 1,顶点i的度等于入度和出度之和。
5. 对于如图 8.3 所示的一个无向图 G,给出以顶点 0 作为初始点的所有的深度优先遍历序列和广度优先遍历序列。

图 8.3 一个无向图 G
答:无向图 G 的所有的深度优先遍历序列如下:
0 1 4 5 2 3
0 1 5 4 2 3
0 1 4 5 3 2
0 1 5 4 3 2
0 2 1 4 5 3
0 2 1 5 4 3
0 2 3 1 4 5
0 2 3 1 5 4
0 3 1 4 5 2
0 3 1 5 4 2
0 3 2 1 4 5
0 3 2 1 5 4
无向图 G 所有的广度优先遍历序列如下:
0 1 2 3 4 5
0 1 2 3 5 4
0 1 3 2 4 5
0 1 3 2 5 4
0 2 1 3 4 5
0 2 1 3 5 4
0 2 3 1 4 5
0 2 3 1 5 4
0 3 1 2 4 5
0 3 1 2 5 4
0 3 2 1 4 5
0 3 2 1 5 4
6. 对于如图 8.4 所示的带权无向图,给出利用 Prim 算法(从顶点 0 开始构造)和 Kruskal 算法构造出的最小生成树的结果,要求结果按构造边的顺序列出。
答:利用普里姆算法从顶点0出发构造的最小生成树为:{(0,1),(0,3),(1,2),(2,5),(5,4)}。利用克鲁斯卡尔算法构造出的最小生成树为:{(0,1),(0,3),(1,2),(5,4),(2,5)}。
图 8.4 一个带权无向图 G
7. 对于一个顶点个数大于4的带权无向图,回答以下问题:
(1)该图的最小生成树一定是唯一的吗?如何所有边的权都不相同,那么其最小生成树一定是唯一的吗?
(2)如果该图的最小生成树不是唯一的,那么调用Prim算法和Kruskal算法构造出的最小生成树一定相同吗?
(3)如果图中有且仅有两条权最小的边,它们一定出现在该图的所有的最小生成树中吗?简要说明回答的理由。
(4)如果图中有且仅有3条权最小的边,它们一定出现在该图的所有的最小生成树中吗?简要说明回答的理由。
答:(1)该图的最小生成树不一定是唯一的。如何所有边的权都不相同,那么其最小生成树一定是唯一的。
(2)若该图的最小生成树不是唯一的,那么调用 Prim 算法和 Kruskal 算法构造出的最小生成树不一定相同。
(3)如果图中有且仅有两条权最小的边,它们一定会出现在该图的所有的最小生成树中。因为在采用Kruskal算法构造最小生成树时,首先选择这两条权最小的边加入,不会出现回路(严格的证明可以采用反证法)。
(4)如果图中有且仅有3条权最小的边,它们不一定出现在该图的所有的最小生成树中。因为在采用 Kruskal 算法构造最小生成树时,选择这 3 条权最小的边加入时,有可能出现回路。例如,如图8.5所示的带权无向图,有 3 条边的权均为 1,它们一定不会同时都出现在其任何最小生成树中。
图 8.5 一个带权无向图
8. 对于如图8.6所示的带权有向图,采用Dijkstra算法求出从顶点0到其他各顶点的最短路径及其长度,要求给出求解过程。

图 8.6 一个带权有向图 G
答:采用 Dijkstra 算法求从顶点 0 到其他各顶点的最短路径及其长度的过程如下:
(1)$S={0}$,$dist[0..5]$={$0,1,5,2,\infty ,\infty$ },$path[0..5]$={0,0,0,0,-1,-1}。选取最短路径长度的顶点 1。
(2)$S$={$0,1$},调整顶点 1 到顶点 2、4 的最短路径长度,$dist[0..5]$={$0,1,4,2,8,\infty$ },$path[0..5]$={$0,0,1,0,1,-1$}。选取最短路径长度的顶点 3。
(3)$S$={$0,1,3$},调整顶点 3 到顶点 5 的最短路径长度,$dist[0..5]$={$0,1,4,2,8,10$},$path[0..5]$={$0,0,1,0,1,3$}。选取最短路径长度的顶点 2。
(4)$S$={$0,1,3,2$},调整顶点 2 到顶点 5 的最短路径长度,$dist[0..5]$={$0,1,4,2,8,10$},$path[0..5]$={$0,0,1,0,1,3$}。选取最短路径长度的顶点 4。
(5)$S$={$0,1,3,2,4$},调整顶点 4 到顶点 5 的最短路径长度,$dist[0..5]$={$0,1,4,2,8,10$},$path[0..5]$={$0,0,1,0,1,3$}。选取最短路径长度的顶点 5。
(6)$S$={$0,1,3,2,4,5$},顶点 5 没有出边,$dist[0..5]$={$0,1,4,2,8,10$},$path[0..5]$={$0,0,1,0,1,3$}。
最终结果如下:
从 0 到 1 的最短路径长度为:1,路径为:0,1
从 0 到 2 的最短路径长度为:4,路径为:0,1,2
从 0 到 3 的最短路径长度为:2,路径为:0,3
从 0 到 4 的最短路径长度为:8,路径为:0,1,4
从 0 到 5 的最短路径长度为:10,路径为:0,3,5
9. 对于一个带权连通图,可以采用 Prim 算法构造出从某个顶点 $v$ 出发的最小生成树,问该最小生成树是否一定包含从顶点 $v$ 到其他所有顶点的最短路径。如果回答是,请予以证明;如果回答不是,请给出反例。
答:不一定。例如,对于如图 8.7(a)所示带权连通图,从顶点 0 出发的最小生成树如 图8.7(b)所示,而从顶点 0 到顶点 2 的最短路径为 $0 \to 2$,而不是最小生成树中的 $0 \to 1 \to 2$。
图 8.7 一个带权连通图将其最小生成树
10. 若只求带权有向图 $G$ 中从顶点i到顶点j的最短路径,如何修改 Dijkstra 算法来实现这一功能?
答:修改 Dijkstra 算法为:从顶点 $i$ 开始(以顶点 $i$ 为源点),按 Dijkstra 算法思路不断地扩展顶点集 S,当扩展到顶点j时,算法结束,通过 path 回推出从顶点 $i$ 到顶点 $j$ 的最短路径。
11. Dijkstra 算法用于求单源最短路径,为了求一个图中所有顶点对之间的最短路径,可以以每个顶点作为源点调用 Dijkstra 算法,Floyd 算法和这种算法相比,有什么优势?
答:对于有 $n$ 个顶点的图,求所有顶点对之间的最短路径,若调用 Dijkstra 算法 $n$ 次,其时间复杂度为 $O(n^{3})$。Floyd 算法的时间复杂度也是 $O(n^{3})$。但 Floyd 算法更快,这是因为前者每次调用 Dijkstra 算法时都是独立执行的,路径比较中得到的信息没有共享,而 Floyd 算法中每考虑一个顶点时所得到的路径比较信息保存在 $A$ 数组中,会用于下次路径比较,从而提高整体查找最短路径的效率。
12. 回答以下有关拓扑排序的问题:
(1)给出如 图8.8 所示有向图的所有不同的拓扑序列。
(2)什么样的有向图的拓扑序列是唯一的?
(3)现要对一个有向图的所有顶点重新编号,使所有表示边的非 0 元素集中到邻接矩阵数组的上三角部分。根据什么顺序对顶点进行编号可以实现这个功能?

图 8.8 一个有向图
答:(1)该有向图的所有不同的拓扑序列有:$aebcd$、$abced$、$abecd$。
(2)这样的有向图的拓扑序列是唯一的:图中只有一个入度为 0 的顶点,在拓扑排序中每次输出一个顶点后都只有一个入度为 0 的顶点。
(3)首先该对有向图进行拓扑排序,把所有顶点排在一个拓扑序列中。然后按该序列对所有顶点重新编号,使得每条有向边的起点编号小于终点编号,就可以把所有边集中到邻接矩阵数组的上三角部分。
13. 已知有 6 个顶点(顶点编号为 0~5)的带权有向图 G,其邻接矩阵数组 A 为上三角矩阵,按行为主序(行优先)保存在如下的一维数组中:
要求:
(1)写出图 $G$ 的邻接矩阵数组 $A$ 。
(2)画出带权有向图 $G$。
(3)求图 $G$ 的关键路径,并计算该关键路径的长度。
答:(1)图G的邻接矩阵数组 A 如 图8.9 所示。
(2)有向带权图 G 如 图8.10 所示。
(3)图8.11 中粗线所标识的 4 个活动组成图 $G$ 的关键路径。$$ A= \begin{bmatrix} 0 & 4 & 6 & \infty & \infty & \infty \\ \infty & 0 & 5 & \infty & \infty & \infty \\ \infty & \infty & 0 & 4 & 3 & \infty \\ \infty & \infty & \infty & 0 & \infty & 3 \\ \infty & \infty & \infty & \infty & 0 & 3 \\ \infty & \infty & \infty & \infty & \infty & 0 \end{bmatrix}
$$ >
图 8.9 邻接矩阵 A
> >
图 8.10 图 G
> >
图 8.11 图 G 中的关键路径
## 14. 假设不带权有向图采用邻接矩阵 g 存储,设计实现以下功能的算法:   (1)求出图中每个顶点的入度。   (2)求出图中每个顶点的出度。   (3)求出图中出度为0的顶点数。 > 解:利用邻接矩阵的特点和相关概念得到如下算法: > ```c > void InDs1(MatGraph g) //求出图 G 中每个顶点的入度 > { > int i, j, n; > printf("各顶点入度:\n"); > for (j = 0; j < g.n; j++) { > n = 0; > for (i = 0; i < g.n; i++) > if (g.edges[i][j] != 0) > n++; //n 累计入度数 > printf(" 顶点%d:%d\n", j, n); > } > } > > void OutDs1(MatGraph g) //求出图 G 中每个顶点的出度 > { > int i, j, n; > printf("各顶点出度:\n"); > for (i = 0; i < g.n; i++) { > n = 0; > for (j = 0; j < g.n; j++) > if (g.edges[i][j] != 0) > n++; //n 累计出度数 > printf(" 顶点%d:%d\n", i, n); > } > } > > void ZeroOutDs1(MatGraph g) //求出图 G 中出度为 0 的顶点个数 > { > int i, j, n; > printf("出度为 0 的顶点:"); > for (i = 0; i < g.n; i++) { > n = 0; > for (j = 0; j < g.n; j++) > if (g.edges[i][j] != 0) //存在一条出边 > n++; > if (n == 0) > printf("%2d\n", i); > } > printf("\n"); > } > ``` ## 15. 假设不带权有向图采用邻接表 $G$ 存储,设计实现以下功能的算法:   (1)求出图中每个顶点的入度。   (2)求出图中每个顶点的出度。   (3)求出图中出度为0的顶点数。 > 解:利用邻接表的特点和相关概念得到如下算法: > ```c > void InDs2(AdjGraph *G) //求出图 G 中每个顶点的入度 > { > ArcNode *p; > int A[MAXV], i; //A 存放各顶点的入度 > for (i = 0; i < G->n; i++) //A 中元素置初值 0 > A[i] = 0; > for (i = 0; i < G->n; i++) //扫描所有头结点 > { > p = G->adjlist[i].firstarc; > while (p != NULL) //扫描边结点 > { > A[p->adjvex]++; //表示 i 到 p->adjvex 顶点有一条边 > p = p->nextarc; > } > } > printf("各顶点入度:\n"); //输出各顶点的入度 > for (i = 0; i < G->n; i++) > printf(" 顶点%d:%d\n", i, A[i]); > } > > void OutDs2(AdjGraph *G) //求出图 G 中每个顶点的出度 > { > int i, n; > ArcNode *p; > printf("各顶点出度:\n"); > for (i = 0; i < G->n; i++) //扫描所有头结点 > { > n = 0; > p = G->adjlist[i].firstarc; > while (p != NULL) //扫描边结点 > { > n++; //累计出边的数 > p = p->nextarc; > } > printf(" 顶点%d:%d\n", i, n); > } > } > > void ZeroOutDs2(AdjGraph *G) //求出图 G 中出度为 0 的顶点数 > { > int i, n; > ArcNode *p; > printf("出度为 0 的顶点:"); > for (i = 0; i < G->n; i++) //扫描所有头结点 > { > p = G->adjlist[i].firstarc; > n = 0; > while (p != NULL) //扫描边结点 > { > n++; //累计出边的数 > p = p->nextarc; > } > if (n == 0) //输出出边数为 0 的顶点编号 > printf("%2d", i); > } > printf("\n"); > } > ``` ## 16. 假设一个连通图采用邻接表作为存储结构,试设计一个算法,判断其中是否存在经过顶点 $v$ 的回路。 > 解:从顶点 $v$ 出发进行深度优先遍历,用 $d$ 记录走过的路径长度,对每个访问的顶点设置标记为 1。若当前访问顶点 $u$,表示 $v \Rightarrow u$ 存在一条路径,如果顶点 $u$ 的邻接点 $w$ 等于 $v$ 并且 $d>1$,表示顶点 $u$ 到 $v$ 有一条边,即构成经过顶点 $v$ 的回路,如 图 8.12 所示。Cycle 算法中 $has$ 是布尔值,初始调用时置为 false,执行后若为 true 表示存在经过顶点 $v$ 的回路,否则表示没有相应的回路。 >
图 8.12 图中存在回路的示意图
> > > 对应的算法如下: > ```c > int visited[MAXV]; //全局变量数组 > void Cycle(AdjGraph *G, int u, int v, int d, bool &has) { //调用时 has 置初值 false,d 为-1 > ArcNode *p; > int w; > visited[u] = 1; > d++; //置已访问标记 > p = G->adjlist[u].firstarc; //p 指向顶点 u 的第一个邻接点 > while (p != NULL) { > w = p->adjvex; > if (visited[w] == 0) //若顶点 w 未访问,递归访问它 > Cycle(G, w, v, d, has); //从顶点 w 出发搜索 > else if (w == v && d > 1) //u 到 v 存在一条边且回路长度大于 1 > { > has = true; > return; > } > p = p->nextarc; //找下一个邻接点 > } > } > > bool hasCycle(AdjGraph *G, int v) //判断连通图 G 中是否有经过顶点 v 的回路 > { > bool has = false; > Cycle(G, v, v, -1, has); //从顶点 v 出发搜索 > return has; > } > ``` ## 17.假设图 $G$ 采用邻接表存储,试设计一个算法,判断无向图 $G$ 是否是一棵树。若是树,返回真;否则返回假。 > 解:一个无向图 $G$ 是一棵树的条件是:$G$ 必须是无回路的连通图或者是有 $n-1$ 条边的连通图。这里采用后者作为判断条件,通过深度优先遍历图 $G$,并求出遍历过的顶点数 $vn$ 和边数 $en$,若 $vn==G \to n$ 成立(表示为连通图)且 $en==2(G \to n-1)$(遍历边数为 $2(G \to n-1))$ 成立,则 $G$ 为一棵树。对应的算法如下: > ```c > void DFS2(AdjGraph *G, int v, int &vn, int &en) { //深度优先遍历图 G,并求出遍历过的顶点数 vn 和边数 en > ArcNode *p; > visited[v] = 1; > vn++; //遍历过的顶点数增 1 > p = G->adjlist[v].firstarc; > while (p != NULL) { > en++; //遍历过的边数增 1 > if (visited[p->adjvex] == 0) > DFS2(G, p->adjvex, vn, en); > p = p->nextarc; > } > } > > int IsTree(AdjGraph *G) //判断无向图 G 是否是一棵树 > { > int vn = 0, en = 0, i; > for (i = 0; i < G->n; i++) > visited[i] = 0; > DFS2(G, 1, vn, en); > if (vn == G->n && en == 2 * (G->n - 1)) > return 1; //遍历顶点为 G->n 个,遍历边数为 2(G->n-1),则为树 > else > return 0; > } > ``` ## 18. 设有 5 地(0~4)之间架设有 6 座桥(A~F),如图 8.13 所示,设计一个算法,从某一地出发,经过每座桥恰巧一次,最后仍回到原地。
图 8.13 实地图

图 8.14 一个无向图 G
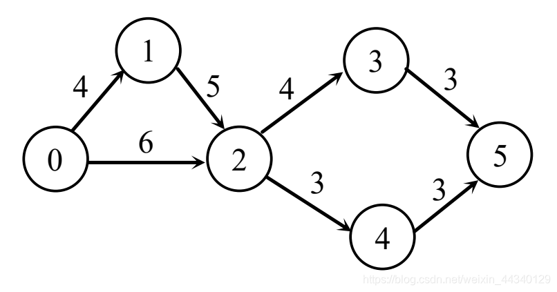
> 解:该实地图对应的一个无向图 $G$ 如图 8.14 所示,本题变为从指定点 $k$ 出发找经过所有 6 条边回到 $k$ 顶点的路径,由于所有顶点的度均为偶数,可以找到这样的路径。对应的算法如下: > ```c > int vedge[MAXV][MAXV]; //边访问数组,vedge[i][j]表示(i,j)边是否访问过 > void Traversal(AdjGraph *G, int u, int v, int k, int path[], int d) > //d 是到当前为止已走过的路径长度,调用时初值为-1 > { > int w, i; > ArcNode *p; > d++; > path[d] = v; //(u,v)加入到 path 中 > vedge[u][v] = vedge[v][u] = 1; //(u,v)边已访问 > p = G->adjlist[v].firstarc; //p 指向顶点 v 的第一条边 > while (p != NULL) { > w = p->adjvex; //(v,w)有一条边 > if (w == k && d == G->e - 1) //找到一个回路,输出之 > { > printf(" %d->", k); > for (i = 0; i <= d; i++) > printf("%d->", path[i]); > printf("%d\n", w); > } > if (vedge[v][w] == 0) //(v,w)未访问过,则递归访问之 > Traversal(G, v, w, k, path, d); > p = p->nextarc; //找 v 的下一条边 > } > vedge[u][v] = vedge[v][u] = 0; //恢复环境:使该边点可重新使用 > } > > void FindCPath(AdjGraph *G, int k) //输出经过顶点 k 和所有边的全部回路 > { > int path[MAXV]; > int i, j, v; > ArcNode *p; > for (i = 0; i < G->n; i++) //vedge 数组置初值 > for (j = 0; j < G->n; j++) > if (i == j) vedge[i][j] = 1; > else vedge[i][j] = 0; > printf("经过顶点%d 的走过所有边的回路:\n", k); > p = G->adjlist[k].firstarc; > while (p != NULL) { > v = p->adjvex; > Traversal(G, k, v, k, path, -1); > p = p->nextarc; > } > } > ``` > 设计如下主函数: > ```c > int main() { > int v = 4; > AdjGraph *G; > int n = 5, e = 6; > int A[MAXV][MAXV] = {{0, 1, 0, 0, 1}, > {1, 0, 0, 0, 1}, > {0, 0, 0, 1, 1}, > {0, 0, 1, 0, 1}, > {1, 1, 1, 1, 0}}; > CreateAdj(G, A, n, e); > printf("图 G 的邻接表:\n"); > DispAdj(G); //输出邻接表 > FindCPath(G, v); > printf("\n"); > DestroyAdj(G); > return 1; > } > ``` >程序执行结果如下: 图 G 的邻接表:   $0: 1[1] \to 4[1]→∧$   $1: 0[1] \to 4[1]→∧$   $2: 3[1] \to 4[1]→∧$   $3: 2[1] \to 4[1]→∧$   $4: 0[1] \to 1[1] \to 2[1] \to 3[1] \to∧$ 经过顶点 4 的走过所有边的回路:    $4 \to 0 \to 1 \to 4 \to 2 \to 3 \to 4$    $4 \to 0 \to 1 \to 4 \to 3 \to 2 \to 4$    $4 \to 1 \to 0 \to 4 \to 2 \to 3 \to 4$    $4 \to 1 \to 0 \to 4 \to 3 \to 2 \to 4$    $4 \to 2 \to 3 \to 4 \to 1 \to 0 \to 4$    $4 \to 3 \to 2 \to 4 \to 0 \to 1 \to 4$    $4 \to 3 \to 2 \to 4 \to 1 \to 0 \to 4$ ## 19. 设不带权无向图 G 采用邻接表表示,设计一个算法求源点 i 到其余各顶点的最短路径。 > 解:利用广度优先遍历的思想,求 $i$ 和 $j$ 两顶点间的最短路径转化为求从 $i$ 到 $j$ 的层数,为此设计一个 $level[]$ 数组记录每个顶点的层次。对应的算法如下: > ```c > void ShortPath(AdjGraph *G, int i) { > int qu[MAXV], level[MAXV]; > int front = 0, rear = 0, k, lev; //lev 保存从 i 到访问顶点的层数 > ArcNode *p; > visited[i] = 1; > rear++; > qu[rear] = i; > level[rear] = 0; //顶点 i 已访问,将其进队 > while (front != rear) //队非空则执行 > { > front = (front + 1) % MAXV; > k = qu[front]; //出队 > lev = level[front]; > if (k != i) > printf(" 顶点%d 到顶点%d 的最短距离是:%d\n", i, k, lev); > p = G->adjlist[k].firstarc; //取 k 的边表头指针 > while (p != NULL) //依次搜索邻接点 > { > if (visited[p->adjvex] == 0) //若未访问过 > { > visited[p->adjvex] = 1; > rear = (rear + 1) % MAXV; > qu[rear] = p->adjvex; //访问过的邻接点进队 > level[rear] = lev + 1; > } > p = p->nextarc; //找顶点 i 的下一邻接点 > } > } > } > ``` > 设计如下主函数: > ```c > int main() { > AdjGraph *G; > int n = 5, e = 8; > int A[MAXV][MAXV] = {{0, 1, 0, 1, 1}, > {1, 0, 1, 1, 0}, > {0, 1, 0, 1, 1}, > {1, 1, 1, 0, 1}, > {1, 0, 1, 1, 0}}; > CreateAdj(G, A, n, e); //创建《教程》图 8.1(a)的邻接表 > printf("图 G 的邻接表:\n"); > DispAdj(G); //输出邻接表 > for (int i = 0; i < n; i++) > visited[i] = 0; > printf("顶点 1 到其他各顶点的最短距离如下:\n"); > ShortPath(G, 1); > return 1; > } > ``` >程序的执行结果如下: 图 G 的邻接表:    $0: 1[1] \to 3[1] \to 4[1] \to∧$    $1: 0[1] \to 2[1] \to 3[1] \to∧$    $2: 1[1] \to 3[1] \to 4[1] \to∧$    $3: 0[1] \to 1[1] \to 2[1] \to 4[1] \to∧$    $4: 0[1] \to 2[1] \to 3[1] \to∧$ 顶点 1 到其他各顶点的最短距离如下:    顶点 1 到顶点 0 的最短距离是:1    顶点 1 到顶点 2 的最短距离是:1    顶点 1 到顶点 3 的最短距离是:1    顶点 1 到顶点 4 的最短距离是:2 ## 20. 对于一个带权有向图,设计一个算法输出从顶点 $i$ 到顶点 $j$ 的所有路径及其路径长度。调用该算法求出《教程》图 8.35 中顶点 0 到顶点 3 的所有路径及其长度。 > 解:采用回溯的深度优先遍历方法。增加一个形参 length 表示路径长度,其初始值为 0。当从顶点 u 出发,设置 visited[u]=1,当找到一个没有访问过的邻接点 w,就从 w 出发递归查找,其路径长度 length 增加<u,w>边的权值。当找到终点 v,就输出一条路径。通过设置 visited[u]=0 回溯查找所有的路径。对应的算法如下: > ```c > int visited[MAXV]; > > void findpath(AdjGraph *G, int u, int v, int path[], int d, int length) { //d 表示 path 中顶点个数,初始为 0;length 表示路径长度,初始为 0 > int w, i; > ArcNode *p; > path[d] = u; > d++; //顶点 u 加入到路径中,d 增 1 > visited[u] = 1; //置已访问标记 > if (u == v && d > 0) //找到一条路径则输出 > { > printf(" 路径长度:%d, 路径:", length); > for (i = 0; i < d; i++) > printf("%2d", path[i]); > printf("\n"); > } > p = G->adjlist[u].firstarc; //p 指向顶点 u 的第一个邻接点 > while (p != NULL) { > w = p->adjvex; //w 为顶点 u 的邻接点 > if (visited[w] == 0) //若 w 顶点未访问,递归访问它 > findpath(G, w, v, path, d, p->weight + length); > p = p->nextarc; //p 指向顶点 u 的下一个邻接点 > } > visited[u] = 0; //恢复环境,使该顶点可重新使用 > } > ``` > > 设计如下主函数求《教程》图 8.35 中顶点 0 到顶点 3 的所有路径及其长度: > ```c > int main() { > AdjGraph *G; > int A[MAXV][MAXV] = { > {0, 4, 6, 6, INF, INF, INF}, > {INF, 0, 1, INF, 7, INF, INF}, > {INF, INF, 0, INF, 6, 4, INF}, > {INF, INF, 2, 0, INF, 5, INF}, > {INF, INF, INF, INF, 0, INF, 6}, > {INF, INF, INF, INF, 1, 0, 8}, > {INF, INF, INF, INF, INF, INF, 0}}; > int n = 7, e = 12; > CreateAdj(G, A, n, e); //创建《教程》中图 8.35 的邻接表 > printf("图 G 的邻接表:\n"); > DispAdj(G); //输出邻接表 > int u = 0, v = 5; > int path[MAXV]; > printf("从%d->%d 的所有路径:\n", u, v); > findpath(G, u, v, path, 0, 0); > DestroyAdj(G); > return 1; > } > ``` > 上述程序执行结果如下: 图 G 的邻接表:    $0: 1[4] \to 2[6] \to 3[6] \to ∧$    $1: 2[1] \to 4[7] \to ∧$    $2: 4[6] \to 5[4] \to ∧$    $3: 2[2] \to 5[5] \to ∧$    $4: 6[6] \to ∧$    $5: 4[1] \to 6[8] \to ∧$    $6: ∧$ 从 0->5 的所有路径:   路径长度:9, 路径: 0 1 2 5   路径长度:10, 路径:0 2 5   路径长度:12, 路径:0 3 2 5   路径长度:11, 路径:0 3 5 # 第 9 章 查找 ## 1. 设有 5 个数据 $do、for、if、repeat、while$,它们排在一个有序表中,其查找概率分别是 $p_{1}=0.2,p_{2}=0.15,p_{3}=0.1,p_{4}=0.03,p_{5}=0.01$。而查找它们之间不存在数据的概率分别为 $q_{0}=0.2,q_{1}=0.15,q_{2}=0.1,q_{3}=0.03,q_{4}=0.02,q_{5}=0.01$,该有序表如下:

图 9.2 有序表上顺序查找的判定树
> >
图 9.3 有序表上折半查找的判定树
## 2. 对于 $A[0..10]$ 有序表,在等概率的情况下,求采用折半查找法时成功和不成功的平均查找长度。对于有序表(12,18,24,35,47,50,62,83,90,115,134),当用折半查找法查找 90 时,需进行多少次查找可确定成功;查找 47 时需进行多少次查找可确定成功;查找 100 时,需进行多少次查找才能确定不成功。 > 答:对于 A[0..10]有序表构造的判定树如 图 9.4(a)所示。因此有: $$ASL _{成功} = \frac{1 \times 2 + 2 \times 2 + 4 \times 3 + 4 \times 4 }{11} =3$$ $$ASL _{不成功}= \frac{4 \times 3 + 8 \times 4 }{11}=3.67$$ 对于题中给定的有序表构造的判定树如 图 9.4(b)所示。查找 90 时,关键字比较次序是 50、90,比较 2 次。查找 47 时,关键字比较次序是 50、24、35、47,比较 4 次。查找 100 时,关键字比较次序是 50、90、115,比较 3 次。 >
图 9.4 两棵判定树
## 3. 有以下查找算法: ```c int fun(int a[],int n,int k) { int i; for (i=0;i<n;i+=2) if (a[i]==k) return i; for (i=1;i<n;i+=2) if (a[i]==k) return i; return -1; } ```   (1)指出 fun(a,n,k)算法的功能。   (2)当 $a[]$={2,6,3,8,1,7,4,9}时,执行 fun($a,n,1$) 后的返回结果是什么?一共进行了几次比较。   (3)当 $a[]$={2,6,3,8,1,7,4,9}时,执行fun($a,n,5$) 后的返回结果是什么?一共进行了几次比较。 > 答:(1)fun($a,n,k$)算法的功能是在数组 $a[0..n-1]$ 中查找元素值为 $k$ 的元素。若找到了返回 $k$ 对应元素的下标;否则返回 -1。算法先在奇数序号的元素中查找,如没有找到,再在偶数序号的元素中查找。   (2)当 $a[]$={2,6,3,8,1,7,4,9} 时,执行 fun($a,n,1$) 后的返回结果是 4,表示查找成功。一共进行了 3 次比较。   (3)当 $a[]$={2,6,3,8,1,7,4,9} 时,执行 fun($a,n,5$) 后的返回结果是 -1,表示查找不成功。一共进行了 8 次比较。 ## 4. 假设一棵二叉排序树的关键字为单个字母,其后序遍历序列为 ACDBFIJHGE,回答以下问题:   (1)画出该二叉排序树;   (2)求在等概率下的查找成功的平均查找长度。   (3)求在等概率下的查找不成功的平均查找长度。 > 答:(1)该二叉排序树的后序遍历序列为 $ACDBFIJHGE$,则中序遍历序列为 $ABCDEFGHIJ$,由后序序列和中序序列构造的二叉排序树如图9.5所示。 >
图 9.5 一棵二叉排序树
  (2)$ASL_{成功}=(1×1+2×2+4×3+2×4+1×5)/10=3$。   (3)$ASL_{不成功}=(6×3+3×4+2×5)/11=3.64$。 ## 5. 证明如果一棵非空二叉树(所有结点值均不相同)的中序遍历序列是从小到大有序的,则该二叉树是一棵二叉排序树。 > 证明:对于关键字为k的任一结点a,由中序遍历过程可知,在中序遍历序列中,它的左子树的所有结点的关键字排在 $k$ 的左边,它的右子树的所有结点的关键字排在 $k$ 的右边,由于中序序列是从小到大排列的,所以结点 $a$ 的左子树中所有结点的关键字小于 $k$,结点 $a$ 的右子树中所有结点的关键字大于 $k$,这满足二叉排序树的性质,所以该二叉树是一棵二叉排序树。 ## 6. 由 23、12、45 关键字构成的二叉排序树有多少棵,其中属于平衡二叉树的有多少棵? > 答:这里n=3,$构成的二叉排序树的个数= \frac{1}{n+1} C_{2n}^{n} = 5$,如图9.6所示。 其中的平衡二叉树有1棵,为图中第3棵。 >
图 9.6 5 棵二叉排序树
## 7. 将整数序列(4,5,7,2,1,3,6)中的元素依次插入到一棵空的二叉排序树中,试构造相应的二叉排序树,要求用图形给出构造过程。 > 答:构造一棵二叉排序树过程如图9.7所示。 >
图 9.7 构造二叉排序树过程
## 8. 将整数序列(4,5,7,2,1,3,6)中的元素依次插入到一棵空的平衡二叉树中,试构造相应的平衡二叉树,要求用图形给出构造过程。 > 答:构造一棵平衡二叉树过程如图9.8所示。 >
图 9.8 构造平衡二叉树过程
> ## 9. 已知一棵5阶B-树中有53个关键字,则树的最大高度是多少? > 答:当每个结点的关键字个数都最少时,该 $B-树$ 的高度最大。根结点最少有 1 个关键字、2 棵子树,第 1 层至少有 1 个结点。除根结点外每个结点至少有 $[5/2]-1=2$ 个关键字、3 棵子树,则第 2 层至少有 2 个结点,共 2×2=4 个关键字。第3层至少有 2×3 个结点,共 2×3×2=12 个关键字。第4层至少有 6×2 个结点,共 6×3×2=36 个关键字。而 1+4+12+36=53,加上外部结点层,该 $B-树$ 中最大高度是 5 层。 ## 10. 设有一组关键字(19,1,23,14,55,20,84,27,68,11,10,77),其哈希函数为$h(key)$=$key$ % 13。采用开放地址法的线性探测法解决冲突,试在 0~18 的哈希表中对该关键字序列构造哈希表,并求在成功和不成功情况下的平均查找长度。 > 答:依题意,$m$=19,利用线性探测法计算下一地址的计算公式为:   $d_{0}=h(key)$   $d_{j+1}=(d_{j}+1)$ % m     $j$=0,1,2,… 计算各关键字存储地址的过程如下:   $h(19)$=19 % 13=6,$h(1)$=1 % 13=1,$h(23)$=23 % 13=10   $h(14)$=14 % 13=1(冲突),$h(14)$=(1+1) % 19 =2   $h(55)$=55 % 13=3,$h(20)$=20 % 13=7   $h(84)$=84 % 13=6(冲突),$h(84)$=(6+1) % 19=7(仍冲突),$h(84)$=(7+1) % 19=8   $h(27)$=27 % 13=1(冲突),$h(27)$=(1+1) % 19=2(仍冲突),$h(27)$=(2+1) % 19=3(仍冲突),$h(27)$=(3+1) % 19=4   $h(68)$=68 % 13=3(冲突),$h(68)$=(3+1) % 19=4(仍冲突),$h(68)$=(4+1) % 19=5   $h(11)$=11 % 13=11   $h(10)$=10 % 13=10(冲突),$h(10)$=(10+1) % 19=11(仍冲突),$h(10)$=(11+1) % 19=12$   $h(77)$=77 % 13=12(冲突),$h(77)$=(12+1) % 19=13 因此,构建的哈希表如表 9.1 所示。 >表 9.1 哈希表
> >下标 | 0 | 1 | 2 | 3 | 4 | 5 | 6 | 7 | 8 | 9 | 10 | 11 | 12 | 13 | 14 | 15 | 16 | 17 | 18 > -- | -- | -- | -- | -- | -- | -- | -- | -- | -- | -- | -- | -- | -- | -- | -- | -- | -- | -- | -- > key | | 1 | 14 | 55 | 27 | 68 | 19 | 20 | 84 | |23 | 11 | 10 | 77 > 探测次数 | | 1 | 2 | 1 | 4 | 3 | 1 | 1 | 3 | | 1 | 1 | 3 | 2 > >   表中探测次数即为相应关键字成功查找时所需比较关键字的次数,因此:   $ASL_{成功}=(1+2+1+4+3+1+1+3+1+1+3+2)/12=1.92$   查找不成功表示在表中未找到指定关键字的记录。以哈希地址是 0 的关键字为例,由于此处关键字为空,只需比较 1 次便可确定本次查找不成功;以哈希地址是 1 的关键字为例,若该关键字不在哈希表中,需要将它与从 1~9 地址的关键字相比较,由于地址 9 的关键字为空,所以不再向后比较,共比较 9 次,其他的依次类推,所以得到如 表 9.2 所示结果。 >表 9.2 不成功查找的探测次数
> > 下标 | 0 | 1 | 2 | 3 | 4 | 5 | 6 | 7 | 8 | 9 | 10 | 11 | 12 | 13 | 14 | 15 | 16 | 17 | 18 > -- | -- | -- | -- | -- | -- | -- | -- | -- | -- | -- | -- | -- | -- | -- | -- | -- | -- | -- | -- > key | | 1 | 14 | 55 | 27 | 68 | 19 | 20 | 84 | |23 | 11 | 10 | 77 > 探测次数 | 1 | 9 | 8 | 7 | 6 | 5 | 4 | 3 | 2 | 1 | 5 | 4 | 3 | 2 | 1 | 1 | 1 | 1 | 1 >   而哈希函数为 $h(key)$=$key$ % 13,所以只需考虑 $h(key)$=0~12 的情况,即: >   $ASL_{不成功}=(1+9+8+7+6+5+4+3+2+1+5+4+3)/13=58/13=4.46$ ## 11. 设计一个折半查找算法,求查找到关键字为 $k$ 的记录所需关键字的比较次数。假设 $k$ 与 $R[i].key$ 的比较得到 3 种情况,即 $k==R[i].key$,$k<R[i].key$ 或者 $k>R[i].key$,计为 1 次比较(在教材中讨论关键字比较次数时都是这样假设的)。 > 解:用 $cnum$ 累计关键字的比较次数,最后返回其值。由于题目中的假设,实际上 $cnum$ 是求在判定树中比较结束时的结点层次(首先与根结点比较,所以 $cnum$ 初始化为 1)。对应的算法如下: > ```c > int BinSearch1(RecType R[],int n,KeyType k) > { int low=0,high=n-1,mid; > int cnum=1; //成功查找需要 1 次比较 > while (low<=high) > { mid=(low+high)/2; > if (R[mid].key==k) > return cnum; > else if (k<R[mid].key) > high=mid-1; > else > low=mid+1; > cnum++; > } > cnum--; //不成功查找比较次数需要减 1 > return cnum; > } > ``` ## 12. 设计一个算法,判断给定的二叉树是否是二叉排序树。假设二叉树中结点关键字均为正整数且均不相同。 > 解:对二叉排序树来说,其中序遍历序列为一个递增有序序列。因此,对给定的二叉树进行中序遍历,如果始终能保持前一个值比后一个值小,则说明该二叉树是一棵二叉排序树。对应的算法如下: > ```c > KeyType predt=-32768; //predt 为全局变量,保存当前结点中序前驱的值,初值为-∞ > bool JudgeBST(BSTNode *bt) > { bool b1,b2; > if (bt==NULL) > return true; > else > { b1=JudgeBST(bt->lchild); //判断左子树 > if (b1==false) //左子树不是 BST,返回假 > return false; > if (bt->key<predt) //当前结点违反 BST 性质,返回假 > return false; > predt=bt->key; > b2=JudgeBST(bt->rchild); //判断右子树 > return b2; > } > } > ``` ## 13. 设计一个算法,在一棵非空二叉排序树 $bt$ 中求出指定关键字为 $k$ 结点的层次。 > 解:采用循环语句边查找边累计层次 $lv$。当找到关键字为 $k$ 的结点时返回 $lv$;否则返回 0。对应的算法如下: > ```c > int Level(BSTNode *bt, KeyType k) { > int lv = 1; //层次 lv 置初值 1 > BSTNode *p = bt; > while (p != NULL && p->key != k) //二叉排序树未找完或未找到则循环 > { > if (k < p->key) > p = p->lchild; //在左子树中查找 > else > p = p->rchild; //在右子树中查找 > lv++; //层次增 1 > } > if (p != NULL) //找到后返回其层次 > return lv; > else > return (0); //表示未找到 > } > ``` ## 14. 设计一个哈希表 $ha[0..m-1]$ 存放 $n$ 个元素,哈希函数采用除留余数法 $H(key)$=$key$ % $p$($p \leqslant m$),解决冲突的方法采用开放定址法中的平方探测法。 (1)设计哈希表的类型。 (2)设计在哈希表中查找指定关键字的算法。 > 解:哈希表为 $ha[0..m-1]$,存放 $n$个元素,哈希函数为 $H(key)$=$key$ % $p$($p \leqslant m$)。平方探测法:$H_{i}=(H(key)+d_{i}) mod m(1 \leqslant i \leqslant m-1)$,其中,$di=1^2、-1^2、2^2、-2^2、···$。   (1)设计哈希表的类型如下: > ```c > #define MaxSize 100 //定义最大哈希表长度 > #define NULLKEY -1 //定义空关键字值 > #define DELKEY -2 //定义被删关键字值 > typedef int KeyType; //关键字类型 > typedef char *InfoType; //其他数据类型 > typedef struct { > KeyType key; //关键字域 > InfoType data; //其他数据域 > int count; //探测次数域 > } HashTable[MaxSize]; //哈希表类型 > ``` >   (2)对应的算法如下: > ```c > int SearchHT1(HashTable ha, int p, int m, KeyType k) //在哈希表中查找关键字 k > { > int adr, adr1, i = 1, sign; > adr = adr1 = k % p; //求哈希函数值 > sign = 1; > while (ha[adr].key != NULLKEY && ha[adr].key != k) //找到的位置不空 > { > adr = (adr1 + sign * i * i) % m; > if (sign == 1) > sign = -1; > else //sign==-1 > { > sign = 1; > i++; > } > } > if (ha[adr].key == k) //查找成功 > return adr; > else //查找失败 > return -1; > } > ``` >如有侵权,请联系作者删除








