第 9 章 查找
1. 设有 5 个数据 $do、for、if、repeat、while$,它们排在一个有序表中,其查找概率分别是 $p_{1}=0.2,p_{2}=0.15,p_{3}=0.1,p_{4}=0.03,p_{5}=0.01$。而查找它们之间不存在数据的概率分别为 $q_{0}=0.2,q_{1}=0.15,q_{2}=0.1,q_{3}=0.03,q_{4}=0.02,q_{5}=0.01$,该有序表如下:

(1)试画出对该有序表分别采用顺序查找和折半查找时的判定树。
(2)分别计算顺序查找的查找成功和不成功的平均查找长度。
(3)分别计算折半查找的查找成功和不成功的平均查找长度。
答:(1)对该有序表分别采用顺序查找和折半查找时的判定树分别如 图9.2 和 9.3 所示。
(2)对于顺序查找,成功查找到第 $i$ 个元素需要 $i$ 次比较,不成功查找需要比较的次数为对应外部结点的层次减 1:
$ASL_{成功}=(1p_{1}+2p_{2}+3p_{3}+4p_{4}+5p_{5})=0.97$。
$ASL_{不成功}=(1q_{0}+2q_{1}+3q_{2}+4q_{3}+5q_{4}+5q_{5})=1.07$。
(3)对于折半查找,成功查找需要比较的次数为对应内部结点的层次,不成功查找需要比较的次数为对应外部结点的层次减 1:
$ASL_{成功}=(1p_{3}+2(p_{1}+p_{4})+3(p_{2}+p_{5}))=1.04$。
$ASL_{不成功}=(2q_{0}+3q_{1}+3q_{2}+2q_{3}+3q_{4}+3q_{5})=1.3$。
图 9.2 有序表上顺序查找的判定树
图 9.3 有序表上折半查找的判定树
2. 对于 $A[0..10]$ 有序表,在等概率的情况下,求采用折半查找法时成功和不成功的平均查找长度。对于有序表(12,18,24,35,47,50,62,83,90,115,134),当用折半查找法查找 90 时,需进行多少次查找可确定成功;查找 47 时需进行多少次查找可确定成功;查找 100 时,需进行多少次查找才能确定不成功。
答:对于 A[0..10]有序表构造的判定树如 图 9.4(a)所示。因此有:
$$ASL _{成功} = \frac{1 \times 2 + 2 \times 2 + 4 \times 3 + 4 \times 4 }{11} =3$$
$$ASL _{不成功}= \frac{4 \times 3 + 8 \times 4 }{11}=3.67$$
对于题中给定的有序表构造的判定树如 图 9.4(b)所示。查找 90 时,关键字比较次序是 50、90,比较 2 次。查找 47 时,关键字比较次序是 50、24、35、47,比较 4 次。查找 100 时,关键字比较次序是 50、90、115,比较 3 次。
图 9.4 两棵判定树
3. 有以下查找算法:
int fun(int a[],int n,int k)
{ int i;
for (i=0;i<n;i+=2)
if (a[i]==k)
return i;
for (i=1;i<n;i+=2)
if (a[i]==k)
return i;
return -1;
}
(1)指出 fun(a,n,k)算法的功能。
(2)当 $a[]$={2,6,3,8,1,7,4,9}时,执行 fun($a,n,1$) 后的返回结果是什么?一共进行了几次比较。
(3)当 $a[]$={2,6,3,8,1,7,4,9}时,执行fun($a,n,5$) 后的返回结果是什么?一共进行了几次比较。
答:(1)fun($a,n,k$)算法的功能是在数组 $a[0..n-1]$ 中查找元素值为 $k$ 的元素。若找到了返回 $k$ 对应元素的下标;否则返回 -1。算法先在奇数序号的元素中查找,如没有找到,再在偶数序号的元素中查找。
(2)当 $a[]$={2,6,3,8,1,7,4,9} 时,执行 fun($a,n,1$) 后的返回结果是 4,表示查找成功。一共进行了 3 次比较。
(3)当 $a[]$={2,6,3,8,1,7,4,9} 时,执行 fun($a,n,5$) 后的返回结果是 -1,表示查找不成功。一共进行了 8 次比较。
4. 假设一棵二叉排序树的关键字为单个字母,其后序遍历序列为 ACDBFIJHGE,回答以下问题:
(1)画出该二叉排序树;
(2)求在等概率下的查找成功的平均查找长度。
(3)求在等概率下的查找不成功的平均查找长度。
答:(1)该二叉排序树的后序遍历序列为 $ACDBFIJHGE$,则中序遍历序列为
$ABCDEFGHIJ$,由后序序列和中序序列构造的二叉排序树如图9.5所示。
图 9.5 一棵二叉排序树
(2)$ASL_{成功}=(1×1+2×2+4×3+2×4+1×5)/10=3$。
(3)$ASL_{不成功}=(6×3+3×4+2×5)/11=3.64$。
5. 证明如果一棵非空二叉树(所有结点值均不相同)的中序遍历序列是从小到大有序的,则该二叉树是一棵二叉排序树。
证明:对于关键字为k的任一结点a,由中序遍历过程可知,在中序遍历序列中,它的左子树的所有结点的关键字排在 $k$ 的左边,它的右子树的所有结点的关键字排在 $k$ 的右边,由于中序序列是从小到大排列的,所以结点 $a$ 的左子树中所有结点的关键字小于 $k$,结点 $a$ 的右子树中所有结点的关键字大于 $k$,这满足二叉排序树的性质,所以该二叉树是一棵二叉排序树。
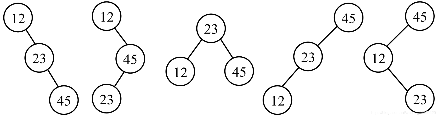
6. 由 23、12、45 关键字构成的二叉排序树有多少棵,其中属于平衡二叉树的有多少棵?
答:这里n=3,$构成的二叉排序树的个数= \frac{1}{n+1} C_{2n}^{n} = 5$,如图9.6所示。
其中的平衡二叉树有1棵,为图中第3棵。
图 9.6 5 棵二叉排序树
7. 将整数序列(4,5,7,2,1,3,6)中的元素依次插入到一棵空的二叉排序树中,试构造相应的二叉排序树,要求用图形给出构造过程。
答:构造一棵二叉排序树过程如图9.7所示。
图 9.7 构造二叉排序树过程
8. 将整数序列(4,5,7,2,1,3,6)中的元素依次插入到一棵空的平衡二叉树中,试构造相应的平衡二叉树,要求用图形给出构造过程。
答:构造一棵平衡二叉树过程如图9.8所示。
图 9.8 构造平衡二叉树过程
9. 已知一棵5阶B-树中有53个关键字,则树的最大高度是多少?
答:当每个结点的关键字个数都最少时,该 $B-树$ 的高度最大。根结点最少有 1 个关键字、2 棵子树,第 1 层至少有 1 个结点。除根结点外每个结点至少有 $[5/2]-1=2$ 个关键字、3 棵子树,则第 2 层至少有 2 个结点,共 2×2=4 个关键字。第3层至少有 2×3 个结点,共 2×3×2=12 个关键字。第4层至少有 6×2 个结点,共 6×3×2=36 个关键字。而 1+4+12+36=53,加上外部结点层,该 $B-树$ 中最大高度是 5 层。
10. 设有一组关键字(19,1,23,14,55,20,84,27,68,11,10,77),其哈希函数为$h(key)$=$key$ % 13。采用开放地址法的线性探测法解决冲突,试在 0~18 的哈希表中对该关键字序列构造哈希表,并求在成功和不成功情况下的平均查找长度。
答:依题意,$m$=19,利用线性探测法计算下一地址的计算公式为:
$d_{0}=h(key)$
$d_{j+1}=(d_{j}+1)$ % m $j$=0,1,2,…
计算各关键字存储地址的过程如下:
$h(19)$=19 % 13=6,$h(1)$=1 % 13=1,$h(23)$=23 % 13=10
$h(14)$=14 % 13=1(冲突),$h(14)$=(1+1) % 19 =2
$h(55)$=55 % 13=3,$h(20)$=20 % 13=7
$h(84)$=84 % 13=6(冲突),$h(84)$=(6+1) % 19=7(仍冲突),$h(84)$=(7+1) % 19=8
$h(27)$=27 % 13=1(冲突),$h(27)$=(1+1) % 19=2(仍冲突),$h(27)$=(2+1) % 19=3(仍冲突),$h(27)$=(3+1) % 19=4
$h(68)$=68 % 13=3(冲突),$h(68)$=(3+1) % 19=4(仍冲突),$h(68)$=(4+1) % 19=5
$h(11)$=11 % 13=11
$h(10)$=10 % 13=10(冲突),$h(10)$=(10+1) % 19=11(仍冲突),$h(10)$=(11+1) % 19=12$
$h(77)$=77 % 13=12(冲突),$h(77)$=(12+1) % 19=13
因此,构建的哈希表如表 9.1 所示。表 9.1 哈希表
下标 0 1 2 3 4 5 6 7 8 9 10 11 12 13 14 15 16 17 18 key 1 14 55 27 68 19 20 84 23 11 10 77 探测次数 1 2 1 4 3 1 1 3 1 1 3 2 表中探测次数即为相应关键字成功查找时所需比较关键字的次数,因此:
$ASL_{成功}=(1+2+1+4+3+1+1+3+1+1+3+2)/12=1.92$
查找不成功表示在表中未找到指定关键字的记录。以哈希地址是 0 的关键字为例,由于此处关键字为空,只需比较 1 次便可确定本次查找不成功;以哈希地址是 1 的关键字为例,若该关键字不在哈希表中,需要将它与从 1~9 地址的关键字相比较,由于地址 9 的关键字为空,所以不再向后比较,共比较 9 次,其他的依次类推,所以得到如 表 9.2 所示结果。表 9.2 不成功查找的探测次数
下标 0 1 2 3 4 5 6 7 8 9 10 11 12 13 14 15 16 17 18 key 1 14 55 27 68 19 20 84 23 11 10 77 探测次数 1 9 8 7 6 5 4 3 2 1 5 4 3 2 1 1 1 1 1 而哈希函数为 $h(key)$=$key$ % 13,所以只需考虑 $h(key)$=0~12 的情况,即:
$ASL_{不成功}=(1+9+8+7+6+5+4+3+2+1+5+4+3)/13=58/13=4.46$
11. 设计一个折半查找算法,求查找到关键字为 $k$ 的记录所需关键字的比较次数。假设 $k$ 与 $R[i].key$ 的比较得到 3 种情况,即 $k==R[i].key$,$k<R[i].key$ 或者 $k>R[i].key$,计为 1 次比较(在教材中讨论关键字比较次数时都是这样假设的)。
解:用 $cnum$ 累计关键字的比较次数,最后返回其值。由于题目中的假设,实际上 $cnum$ 是求在判定树中比较结束时的结点层次(首先与根结点比较,所以 $cnum$ 初始化为 1)。对应的算法如下:
int BinSearch1(RecType R[],int n,KeyType k) { int low=0,high=n-1,mid; int cnum=1; //成功查找需要 1 次比较 while (low<=high) { mid=(low+high)/2; if (R[mid].key==k) return cnum; else if (k<R[mid].key) high=mid-1; else low=mid+1; cnum++; } cnum--; //不成功查找比较次数需要减 1 return cnum; }
12. 设计一个算法,判断给定的二叉树是否是二叉排序树。假设二叉树中结点关键字均为正整数且均不相同。
解:对二叉排序树来说,其中序遍历序列为一个递增有序序列。因此,对给定的二叉树进行中序遍历,如果始终能保持前一个值比后一个值小,则说明该二叉树是一棵二叉排序树。对应的算法如下:
KeyType predt=-32768; //predt 为全局变量,保存当前结点中序前驱的值,初值为-∞ bool JudgeBST(BSTNode *bt) { bool b1,b2; if (bt==NULL) return true; else { b1=JudgeBST(bt->lchild); //判断左子树 if (b1==false) //左子树不是 BST,返回假 return false; if (bt->key<predt) //当前结点违反 BST 性质,返回假 return false; predt=bt->key; b2=JudgeBST(bt->rchild); //判断右子树 return b2; } }
13. 设计一个算法,在一棵非空二叉排序树 $bt$ 中求出指定关键字为 $k$ 结点的层次。
解:采用循环语句边查找边累计层次 $lv$。当找到关键字为 $k$ 的结点时返回 $lv$;否则返回 0。对应的算法如下:
int Level(BSTNode *bt, KeyType k) { int lv = 1; //层次 lv 置初值 1 BSTNode *p = bt; while (p != NULL && p->key != k) //二叉排序树未找完或未找到则循环 { if (k < p->key) p = p->lchild; //在左子树中查找 else p = p->rchild; //在右子树中查找 lv++; //层次增 1 } if (p != NULL) //找到后返回其层次 return lv; else return (0); //表示未找到 }
14. 设计一个哈希表 $ha[0..m-1]$ 存放 $n$ 个元素,哈希函数采用除留余数法 $H(key)$=$key$ % $p$($p \leqslant m$),解决冲突的方法采用开放定址法中的平方探测法。
(1)设计哈希表的类型。
(2)设计在哈希表中查找指定关键字的算法。
解:哈希表为 $ha[0..m-1]$,存放 $n$个元素,哈希函数为 $H(key)$=$key$ % $p$($p \leqslant m$)。平方探测法:$H_{i}=(H(key)+d_{i}) mod m(1 \leqslant i \leqslant m-1)$,其中,$di=1^2、-1^2、2^2、-2^2、···$。
(1)设计哈希表的类型如下:#define MaxSize 100 //定义最大哈希表长度 #define NULLKEY -1 //定义空关键字值 #define DELKEY -2 //定义被删关键字值 typedef int KeyType; //关键字类型 typedef char *InfoType; //其他数据类型 typedef struct { KeyType key; //关键字域 InfoType data; //其他数据域 int count; //探测次数域 } HashTable[MaxSize]; //哈希表类型(2)对应的算法如下:
int SearchHT1(HashTable ha, int p, int m, KeyType k) //在哈希表中查找关键字 k { int adr, adr1, i = 1, sign; adr = adr1 = k % p; //求哈希函数值 sign = 1; while (ha[adr].key != NULLKEY && ha[adr].key != k) //找到的位置不空 { adr = (adr1 + sign * i * i) % m; if (sign == 1) sign = -1; else //sign==-1 { sign = 1; i++; } } if (ha[adr].key == k) //查找成功 return adr; else //查找失败 return -1; }
如有侵权,请联系作者删除






