第 7 章 树和二叉树
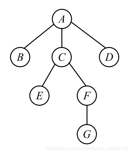
1. 有一棵树的括号表示为 A(B,C(E,F(G)),D),回答下面的问题:
(1)指出树的根结点。
(2)指出棵树的所有叶子结点。
(3)结点 C 的度是多少?
(4)这棵树的度为多少?
(5)这棵树的高度是多少?
(6)结点 C 的孩子结点是哪些?
(7)结点 C 的双亲结点是谁?
答:该树对应的树形表示如图 7.2 所示。
(1)这棵树的根结点是 A。
(2)这棵树的叶子结点是 B、E、G、D。
(3)结点 C 的度是 2。
(4)这棵树的度为 3。
(5)这棵树的高度是 4。
(6)结点 C 的孩子结点是 E、F。
(7)结点 C 的双亲结点是 A。
7.2 一棵树
2. 若一棵度为 4 的树中度为 2、3、4 的结点个数分别为 3、2、2,则该树的叶子结点的个数是多少?
答:结点总数 $n=n_{0}+n_{1}+n_{2}+n_{3}+n_{4}$,又由于除根结点外,每个结点都对应一个分支,所以总的分支数等于 $n$-1。而一个度为 $i$(0 $\leqslant i \leqslant$ 4)的结点的分支数为 $i$,所以有:$总分支数 = n-1=1×n_{1}+2×n_{2}+3×n_{3}+4×n_{4}$。综合两式得:$n_{0}=n_{2}+2n_{3}+3n_{4}+1=3+2×2+3×2=14$。
3. 为了实现以下各种功能,其中 $x$ 结点表示该结点的位置,给出树的最适合的存储结构:
(1)求 x 和 y 结点的最近祖先结点。
(2)求 x 结点的所有子孙。
(3)求根结点到 x 结点的路径。
(4)求 x 结点的所有右边兄弟结点。
(5)判断 x 结点是否是叶子结点。
(6)求 x 结点的所有孩子。
答:(1)双亲存储结构。
(2)孩子链存储结构。
(3)双亲存储结构。
(4)孩子兄弟链存储结构。
(5)孩子链存储结构。
(6)孩子链存储结构。
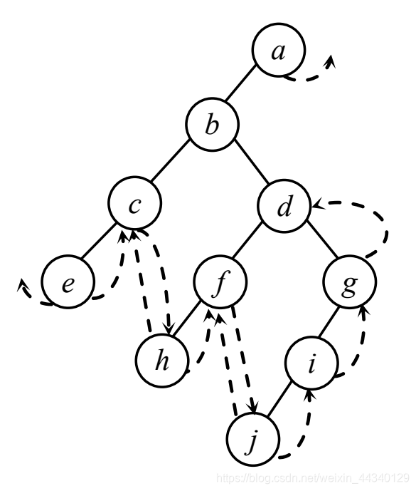
4. 设二叉树 $bt$ 的一种存储结构如表 7.1 所示。其中,$bt$ 为树根结点指针,$lchild$、$rchild$ 分别为结点的左、右孩子指针域,在这里使用结点编号作为指针域值,0 表示指针域值为空;$data$ 为结点的数据域。请完成下列各题:
(1)画出二叉树 bt 的树形表示。
(2)写出按先序、中序和后序遍历二叉树 bt 所得到的结点序列。
(3)画出二叉树 bt 的后序线索树(不带头结点)。
表7.1 二叉树bt的一种存储结构
答:(1)二叉树 $bt$ 的树形表示如图 7.3 所示。
图 7.3 二叉树 bt 的逻辑结构
(2)先序序列:$abcedfhgij$
中序序列:$ecbhfdjiga$
后序序列:$echfjigdba$
(3)二叉树 bt 的后序序列为 $echfjigdba$,则后序线索树如图 7.4 所示。
图 7.4 二叉树 bt 的后序线索化树
5. 含有 60 个叶子结点的二叉树的最小高度是多少?
答:在该二叉树中,$n_{0}=60$,$n_{2}=n_{0}-1=59$,$n=n_{0}+n_{1}+n_{2}=119+n_{1}$,当 $n_{1}=0$ 且为完全二叉树时高度最小,此时高度 $h = \log2\left ( n+1\frac{}{} \right ) = \log_2 120 =7$。所以含有 60 个叶子结点的二叉树的最小高度是 7。
6. 已知一棵完全二叉树的第 6 层(设根结点为第 1 层)有 8 个叶子结点,则该完全二叉树的结点个数最多是多少?最少是多少?
答:完全二叉树的叶子结点只能在最下面两层,所以结点最多的情况是第 6 层为倒数第 2 层,即 1~6 层构成一棵满二叉树,其结点总数为 $2^6-1=63$。其中第 6 层有 $2^5=32$ 个结点,含 8 个叶子结点,则另外有 $32-8=24$ 个非叶子结点,它们中每个结点有两个孩子结点(均为第 7 层的叶子结点),计为 48 个叶子结点。这样$最多的结点个数=63+48=111$。
结点最少的情况是第 6 层为最下层,即 1~5 层构成一棵满二叉树,其结点总数为 $2^5-1=31$,再加上第 6 层的结点,总计 $31+8=39$。这样最少的结点个数为 39。
7. 已知一棵满二叉树的结点个数为 20~40 之间,此二叉树的叶子结点有多少个?
答:一棵高度为 h 的满二叉树的结点个数为 $2^h-1$,有:20 $\leqslant 2^h-1 \leqslant$ 40。
则 $h=5$,满二叉树中叶子结点均集中在最底层,所以$叶子结点个数=2^5-1=16 个$。
8. 已知一棵二叉树的中序序列为 $cbedahgijf$,后序序列为 $cedbhjigfa$,给出该二叉树树形表示。
答:该二叉树的构造过程和二叉树如图 7.5 所示。
图 7.5 二叉树的构造过程
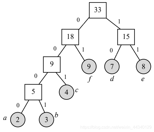
9. 给定 5 个字符 $a$~$f$,它们的权值集合 $W$={2,3,4,7,8,9},试构造关于 $W$ 的一棵哈夫曼树,求其带权路径长度 $WPL$ 和各个字符的哈夫曼树编码。
答 : 由 权 值 集 合 $W$ 构 建 的 哈 夫 曼 树 如 图 7.6 所示。 其 带 权 路 径 长 度 $WPL=(9+7+8)×2+4×3+(2+3)×4=80$。
各个字符的哈夫曼树编码:$a:0000,b:0001,c:001,d:10,e:11,f:01$。
图 7.5 二叉树的构造过程
图7.6 一棵哈夫曼树
10. 假设二叉树中每个结点的值为单个字符,设计一个算法将一棵以二叉链方式存储的二叉树 $b$ 转换成对应的顺序存储结构 $a$。
解:设二叉树的顺序存储结构类型为 SqBTree,先将顺序存储结构 $a$ 中所有元素置为 ‘#’(表示空结点)。将 $b$ 转换成 $a$ 的递归模型如下:
$f(b,a,i)$ = $a[i]$='#'; 当 $b$=NULL
$f(b,a,i)$ = 由 $b$ 结点 data 域值建立 $a[i]$元素; 其他情况
$$f(b->lchild,a,2*i)$$
$$ f(b->rchild,a,2*i+1)$$
调用方式为:$f(b,a,1)$($a$ 的下标从 1 开始)。对应的算法如下:void Ctree(BTNode *b,SqBTree a,int i) { if (b!=NULL) { a[i]=b->data; Ctree(b->lchild,a,2*i); Ctree(b->rchild,a,2*i+1); } else a[i]='#'; }
11. 假设二叉树中每个结点值为单个字符,采用顺序存储结构存储。设计一个算法,求二叉树 $t$ 中的叶子结点个数。
解:用 $i$ 遍历所有的结点,当 $i$ 大于等于 MaxSize 时,返回 0。当 $t[i]$是空结点时返回 0;当 $t[i]$ 是非空结点时,若它为叶子结点,num 增 1;否则递归调用 num1=LeftNode($t$,$2*i$) 求出左子树的叶子结点个数 num1,再递归调用 num2=LeftNode($t$,$2*i+1$)求出右子树的叶子结点个数 num2,置 num+=num1+num2。最后返回 num。对应的算法如下:
int LeftNode(SqBTree t,int i) { //i 的初值为 1 int num1,num2,num=0; if (i<MaxSize) { if (t[i]!='#') { if (t[2*i]=='#' && t[2*i+1]=='#') num++; //叶子结点个数增 1 else { num1=LeftNode(t,2*i); num2=LeftNode(t,2*i+1); num+=num1+num2; } return num; } else return 0; } else return 0; }
12. 假设二叉树中每个结点值为单个字符,采用二叉链存储结构存储。设计一个算法计算一棵给定二叉树 b 中的所有单分支结点个数。
解:计算一棵二叉树的所有单分支结点个数的递归模型 $f(b)$如下:
$f(b)=0$ 若 b=NULL
$f(b)=f(b \to lchild)+f(b \to rchild)+1$ 若 b 结点为单分支
$f(b)=f(b \to lchild)+f(b \to rchild)$ 其他情况
对应的算法如下:int SSonNodes(BTNode *b) { int num1,num2,n; if (b==NULL) return 0; else if ((b->lchild==NULL && b->rchild!=NULL) || (b->lchild!=NULL && b->rchild==NULL)) n=1; //为单分支结点 else n=0; //其他结点 num1=SSonNodes(b->lchild); //递归求左子树中单分支结点数 num2=SSonNodes(b->rchild); //递归求右子树中单分支结点数 return (num1+num2+n); }上述算法采用的是先序遍历的思路。
13. 假设二叉树中每个结点值为单个字符,采用二叉链存储结构存储。设计一个算法求二叉树 b 中最小值的结点值。
解:设 $f(b,min)$ 是在二叉树 $b$ 中寻找最小结点值 $min$,其递归模型如下:
$f(b,min)$ = 不做任何事件 若 $b$=NULL
$f(b,min)$ = 当 $b->data<min$ 时置 $min=b->data$; 其他情况
$$ f(b->lchild,min); f(b->rchild,min);$$
对应的算法如下:void FindMinNode(BTNode *b,char &min) { if (b->data<min) min=b->data; FindMinNode(b->lchild,min); //在左子树中找最小结点值 FindMinNode(b->rchild,min); //在右子树中找最小结点值 } void MinNode(BTNode *b) //输出最小结点值 { if (b!=NULL) { char min=b->data; FindMinNode(b,min); printf("Min=%c\n",min); } }
14. 假设二叉树中每个结点值为单个字符,采用二叉链存储结构存储。设计一个算法将二叉链 $b1$ 复制到二叉链 $b2$ 中。
解:当 $b1$ 为空时,置 $b2$ 为空树。当 $b1$ 不为空时,建立 $b2$ 结点($b2$ 为根结点),置 $b2->data=b1->data$;递归调用 Copy($b1->lchild$,$b2->lchild$),由 $b1$ 的左子树建立 $b2$ 的左子树;递归调用 Copy($b1->rchild$,$b2->rchild$),由 $b1$ 的右子树建立 $b2$ 的右子树。对应的算法如下:
void Copy(BTNode *b1,BTNode *&b2) { if (b1==NULL) b2=NULL; else { b2=(BTNode *)malloc(sizeof(BTNode)); b2->data=b1->data; Copy(b1->lchild,b2->lchild); Copy(b1->rchild,b2->rchild); } }
15. 假设二叉树中每个结点值为单个字符,采用二叉链存储结构存储。设计一个算法,求二叉树 $b$ 中第 $k$ 层上叶子结点个数。
解:采用先序遍历方法,当 $b$ 为空时返回 0。置 $num$ 为 0。若 $b$ 不为空,当前结点的层次为 $k$,并且 $b$ 为叶子结点,则 $num$ 增 1,递归调用 $num1$=LevelkCount($b->lchild,k,h+1$) 求出左子树中第 $k$ 层的结点个数 $num1$,递归调用 $num2$=LevelkCount($b->rchild,k,h+1$)求出右子树中第 $k$ 层的结点个数 $num2$,置 $num$+=$num1$+$num2$,最后返回 $num$。对应的算法如下:
int LevelkCount(BTNode *b,int k,int h) { //h 的初值为 1 int num1,num2,num=0; if (b!=NULL) { if (h==k && b->lchild==NULL && b->rchild==NULL) num++; num1=LevelkCount(b->lchild,k,h+1); num2=LevelkCount(b->rchild,k,h+1); num+=num1+num2; return num; } return 0; } int Levelkleft(BTNode *b,int k //返回二叉树 b 中第 k 层上叶子结点个数 { return LevelkCount(b,k,1); }
16. 假设二叉树中每个结点值为单个字符,采用二叉链存储结构存储。设计一个算法,判断值为 $x$ 的结点与值为 $y$ 的结点是否互为兄弟,假设这样的结点值是唯一的。
解:采用先序遍历方法,当 $b$ 为空时直接返回 false;否则,若当前结点 $b$ 是双分支结点,且有两个互为兄弟的结点 $x$、$y$,则返回 true;否则,递归调用 $flag$=Brother($b->lchild$,$x$,$y$),求出 $x$、$y$ 在左子树中是否互为兄弟,若 $flag$ 为 true,则返回 true;否则递归调用 Brother($b->rchild$,$x$,$y$),求出 $x$、$y$ 在右子树中是否互为兄弟,并返回其结果。对应的算法如下:
bool Brother(BTNode *b,char x,char y) { bool flag; if (b==NULL) return false; else { if (b->lchild!=NULL && b->rchild!=NULL) { if ((b->lchild->data==x && b->rchild->data==y) || (b->lchild->data==y && b->rchild->data==x)) return true; } flag=Brother(b->lchild,x,y); if (flag==true) return true; else return Brother(b->rchild,x,y); } }
17. 假设二叉树中每个结点值为单个字符,采用二叉链存储结构存储。设计一个算法,采用先序遍历方法求二叉树 b 中值为 x 的结点的子孙,假设值为 x 的结点是唯一的。
解:设计 Output($p$)算法输出以 $p$ 为根结点的所有结点。首先在二叉树 $b$ 中查找值为 $x$ 的结点,当前 $b$ 结点是这样的结点,调用 Output($b->lchild$)输出其左子树中所有结点,调用 Output($b->rchild$) 输出其右子树中所有结点,并返回;否则,递归调用 Child($b->lchild$,$x$) 在左子树中查找值为 $x$ 的结点,递归调用 Child($b->rchild$,$x$)在右子树中查找值为 $x$ 的结点。
对应的算法如下:void Output(BTNode *p) //输出以 p 为根结点的子树 { if (p != NULL) { printf("%c ", p->data); Output(p->lchild); Output(p->rchild); } } void Child(BTNode *b, char x) //输出 x 结点的子孙 { if (b != NULL) { if (b->data == x) { if (b->lchild != NULL) Output(b->lchild); if (b->rchild != NULL) Output(b->rchild); return; } Child(b->lchild, x); Child(b->rchild, x); } }
18. 假设二叉树采用二叉链存储结构,设计一个算法把二叉树 b 的左、右子树进行交换。要求不破坏原二叉树。并用相关数据进行测试。
解:交换二叉树的左、右子树的递归模型如下:
$f(b,t)$ = $t$=NULL 若 $b$=NULL
$f(b,t)$ = 复制根结点 $b$ 产生结点 $t$; 其他情况
$f(b->lchild,t1); f(b->rchild,t2);$
$t->lchild=t2; t->rchild=t1$
对应的算法如下(算法返回左、右子树交换后的二叉树):#include "btree.cpp" //二叉树基本运算算法 BTNode *Swap(BTNode *b) { BTNode *t, *t1, *t2; if (b == NULL) t = NULL; else { t = (BTNode *) malloc(sizeof(BTNode)); t->data = b->data; //复制产生根结点 t t1 = Swap(b->lchild); t2 = Swap(b->rchild); t->lchild = t2; t->rchild = t1; } return t; }或者设计成如下算法(算法产生左、右子树交换后的二叉树 $b1$):
void Swap1(BTNode *b, BTNode *&b1) { if (b == NULL) b1 = NULL; else { b1 = (BTNode *) malloc(sizeof(BTNode)); b1->data = b->data; //复制产生根结点 b1 Swap1(b->lchild, b1->rchild); Swap1(b->rchild, b1->lchild); } }设计如下主函数:
int main() { BTNode *b, *b1; CreateBTree(b, "A(B(D(,G)),C(E,F))"); printf("交换前的二叉树:"); DispBTree(b); printf("\n"); b1 = Swap(b); printf("交换后的二叉树:"); DispBTree(b1); printf("\n"); DestroyBTree(b); DestroyBTree(b1); return 1; }程序执行结果如下:
交换前的二叉树: A(B(D(,G)),C(E,F))
交换后的二叉树: A(C(F,E),B(,D(G)))
19. 假设二叉树采用二叉链存储结构,设计一个算法判断一棵二叉树 $b$ 的左、右子树是否同构。
解:判断二叉树 b1、b2 是否同构的递归模型如下:
$f(b1,b2)$=true $b1$=$b2$=NULL
$f(b1,b2)$=false 若 $b1$、$b2$ 中有一个为空,另一个不为空
$f(b1,b2)$=$f(b1->lchild,b2->lchild)$ 其他情况
& $f(b1->rchild,b2->rchild)$
对应的算法如下:bool Symm(BTNode *b1, BTNode *b2) //判断二叉树 b1 和 b2 是否同构 { if (b1 == NULL && b2 == NULL) return true; else if (b1 == NULL || b2 == NULL) return false; else return (Symm(b1->lchild, b2->lchild) & Symm(b1->rchild, b2->rchild)); } bool Symmtree(BTNode *b) //判断二叉树的左、右子树是否同构 { if (b == NULL) return true; else return Symm(b->lchild, b->rchild); }
20. 假设二叉树以二叉链存储,设计一个算法,判断一棵二叉树 $b$ 是否为完全二叉树。
解:根据完全二叉树的定义,对完全二叉树按照从上到下、从左到右的次序遍历(层次遍历)应该满足:
(1)某结点没有左孩子,则一定无右孩子。
(2)若某结点缺左或右孩子(一旦出现这种情况,置 $bj$=false),则其所有后继一定无孩子。
若不满足上述任何一条,均不为完全二叉树($cm$=true 表示是完全二叉树,$cm$=false 表
示不是完全二叉树)。对应的算法如下:bool CompBTree(BTNode *b) { BTNode *Qu[MaxSize], *p; //定义一个队列,用于层次遍历 int front = 0, rear = 0; //环形队列的队头队尾指针 bool cm = true; //cm 为真表示二叉树为完全二叉树 bool bj = true; //bj 为真表示到目前为止所有结点均有左右孩子 if (b == NULL) return true; //空树当成特殊的完全二叉树 rear++; Qu[rear] = b; //根结点进队 while (front != rear) //队列不空 { front = (front + 1) % MaxSize; p = Qu[front]; //出队结点 p if (p->lchild == NULL) //p 结点没有左孩子 { bj = false; //出现结点 p 缺左孩子的情况 if (p->rchild != NULL) //没有左孩子但有右孩子,违反(1), cm = false; } else //p 结点有左孩子 { if (!bj) cm = false; //bj 为假而结点 p 还有左孩子,违反(2) rear = (rear + 1) % MaxSize; Qu[rear] = p->lchild; //左孩子进队 if (p->rchild == NULL) bj = false; //出现结点 p 缺右孩子的情况 else //p 有左右孩子,则继续判断 { rear = (rear + 1) % MaxSize; Qu[rear] = p->rchild; //将 p 结点的右孩子进队 } } } return cm; }如有侵权,请联系作者删除




