单选题
选择题题解
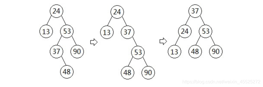
2、如图所示
3、转的过程:
- 插入48之后属于右左双旋转的情况,按照图示的方法先做右单旋转,再做左单旋转
- 右单旋转:以37为轴,53顺时针旋转(向下),原本是37左孩子的48成为53的左孩子
- 24的右孩子由53变为37
- 左单旋转:仍然以37为轴,24逆时针旋转(向下),成为37的左孩子
24的左子树高度为1,右字数高度为3,属于RL型,RL型的变化就这么做的,具体RL型解释如下
具体的RL型的旋转规则,大佬说记住就可以了,哎拼命记吧。
从第四题之后都暂时不会,望各位大佬留言赐教,补充题解
编程题
7-3 插入排序还是堆排序 (25分) 不会
根据维基百科的定义:
插入排序是迭代算法,逐一获得输入数据,逐步产生有序的输出序列。每步迭代中,算法从输入序列中取出一元素,将之插入有序序列中正确的位置。如此迭代直到全部元素有序。
堆排序也是将输入分为有序和无序两部分,迭代地从无序部分找出最大元素放入有序部分。它利用了大根堆的堆顶元素最大这一特征,使得在当前无序区中选取最大元素变得简单。
现给定原始序列和由某排序算法产生的中间序列,请你判断该算法究竟是哪种排序算法?
输入格式:
输入在第一行给出正整数 N (≤100);随后一行给出原始序列的 N 个整数;最后一行给出由某排序算法产生的中间序列。这里假设排序的目标序列是升序。数字间以空格分隔。
输出格式:
首先在第 1 行中输出Insertion Sort表示插入排序、或Heap Sort表示堆排序;然后在第 2 行中输出用该排序算法再迭代一轮的结果序列。题目保证每组测试的结果是唯一的。数字间以空格分隔,且行首尾不得有多余空格。
输入样例 1:
10 3 1 2 8 7 5 9 4 6 0 1 2 3 7 8 5 9 4 6 0
输出样例 1:
Insertion Sort 1 2 3 5 7 8 9 4 6 0
输入样例 2:
10 3 1 2 8 7 5 9 4 6 0 6 4 5 1 0 3 2 7 8 9
输出样例 2:
Heap Sort 5 4 3 1 0 2 6 7 8 9
代码
#include<bits/stdc++.h> using namespace std; # define ll long long # define inf 0x3f3f3f3f const int maxn = 2e4+100; int a[maxn]; int b[maxn]; void cal(int l,int r){ int i=l,j=i*2; while(j<=r){ if(j+1<=r&&b[j]<b[j+1]) j++; if(b[j]>b[i]){ swap(b[i],b[j]); i=j; j=i*2; } else break; } } int main() { int n; scanf("%d",&n); for(int i=1; i<=n; i++) { scanf("%d",&a[i]); } for(int i=1; i<=n; i++) { scanf("%d",&b[i]); } int flag=-1; int i; for( i=1; i<=n; i++) { if(i==1) continue; else if(b[i]>=b[i-1]) continue; else { flag=i; break; } } if(flag!=2) { sort(b+1,b+flag+1); printf("Insertion Sort\n"); for(int i=1; i<=n; i++) { if(i==1) printf("%d",b[i]); else printf(" %d",b[i]); } printf("\n"); } else { printf("Heap Sort\n"); int pos=n; while(pos>=2&&b[pos]>b[pos-1]) pos--; swap(b[1],b[pos]); cal(1,pos-1); for(int i=1; i<=n; i++) { if(i==1) printf("%d",b[i]); else printf(" %d",b[i]); } printf("\n"); } return 0; }
7-4 愿天下有情人都是失散多年的兄妹 (25分)
呵呵。大家都知道五服以内不得通婚,即两个人最近的共同祖先如果在五代以内(即本人、父母、祖父母、曾祖父母、高祖父母)则不可通婚。本题就请你帮助一对有情人判断一下,他们究竟是否可以成婚?
输入格式:
输入第一行给出一个正整数N(2 ≤ N ≤104 ),随后N行,每行按以下格式给出一个人的信息:
本人ID 性别 父亲ID 母亲ID
其中ID是5位数字,每人不同;性别M代表男性、F代表女性。如果某人的父亲或母亲已经不可考,则相应的ID位置上标记为-1。
接下来给出一个正整数K,随后K行,每行给出一对有情人的ID,其间以空格分隔。
注意:题目保证两个人是同辈,每人只有一个性别,并且血缘关系网中没有乱伦或隔辈成婚的情况。
输出格式:
对每一对有情人,判断他们的关系是否可以通婚:如果两人是同性,输出Never Mind;如果是异性并且关系出了五服,输出Yes;如果异性关系未出五服,输出No。
输入样例:
24 00001 M 01111 -1 00002 F 02222 03333 00003 M 02222 03333 00004 F 04444 03333 00005 M 04444 05555 00006 F 04444 05555 00007 F 06666 07777 00008 M 06666 07777 00009 M 00001 00002 00010 M 00003 00006 00011 F 00005 00007 00012 F 00008 08888 00013 F 00009 00011 00014 M 00010 09999 00015 M 00010 09999 00016 M 10000 00012 00017 F -1 00012 00018 F 11000 00013 00019 F 11100 00018 00020 F 00015 11110 00021 M 11100 00020 00022 M 00016 -1 00023 M 10012 00017 00024 M 00022 10013 9 00021 00024 00019 00024 00011 00012 00022 00018 00001 00004 00013 00016 00017 00015 00019 00021 00010 00011
输出样例:
Never Mind Yes Never Mind No Yes No Yes No No
代码
#include<iostream> #include<cstring> #include<vector> using namespace std; const int Inf = 1e5 + 5; vector<int> vec[Inf]; // 存关系图 bool vis[Inf]; // 标记五服以内的亲属 char sex[Inf]; // 记录性别 bool flag; // 标记情侣是否为近亲 void Dfs(int x, int num) // num表示第几代,从0开始 { if (num >= 4) // 超过五代直接退出 return; for (int i = 0; i < vec[x].size(); i++) { if (!vis[vec[x][i]]) { vis[vec[x][i]] = 1; // 标记出现的人 Dfs(vec[x][i], num + 1); } else flag = 1; //五服之内出现一样的人 } } int main() { int T; cin >> T; while (T--) { int t, fa, ma; char ch; scanf("%d ", &t); sex[t] = getchar(); scanf(" %d %d", &fa, &ma); if (fa != -1) // -1不用保存,避免数据处理不当导致数组越界 { vec[t].push_back(fa); // 保存双亲 sex[fa] = 'M'; // 记录父亲性别 } if (ma != -1) { vec[t].push_back(ma); sex[ma] = 'F'; } } cin >> T; while (T--) { int x, y; scanf("%d %d", &x, &y); if (sex[x] == sex[y]) // 同性 cout << "Never Mind" << endl; else { memset(vis, 0, sizeof(vis)); // 每次都初始化一下,每个人的五服亲戚不一样 vis[x] = 1; vis[y] = 1; flag = 0; Dfs(x, 0); Dfs(y, 0); if (flag) // 被标记过说明这两人为近亲 cout << "No" << endl; else cout << "Yes" << endl; } } return 0; }







