二值图像分析之轮廓分析

简介: 二值图像分析之轮廓分析

图像的二值化



在先前的文章二值图像分析:案例实战(文本分离+硬币计数)中已经介绍过,什么是图像的二值化以及二值化的作用。


这次,我们借助cv4j来实现简单的基于内容的图像分析。


轮廓分析(Contour Analysis)



轮廓(Contours),指的是有相同颜色或者密度,连接所有连续点的一条曲线。检测轮廓的工作对形状分析和物体检测与识别都非常有用。


完整的轮廓分析大致是这样的:


第一步,先对图片进行二值化。当然,也可以直接用Canny进行检测边缘,在本文中我们采用二值化。

CV4JImage cv4JImage = new CV4JImage(bitmap);
        Threshold threshold = new Threshold();
        threshold.process((ByteProcessor)(cv4JImage.convert2Gray().getProcessor()),Threshold.THRESH_OTSU,Threshold.METHOD_THRESH_BINARY,255);
        image1.setImageBitmap(cv4JImage.getProcessor().getImage().toBitmap());


第二步,连通组件标记。

ConnectedAreaLabel connectedAreaLabel = new ConnectedAreaLabel();
        connectedAreaLabel.setFilterNoise(true);
        int[] mask = new int[cv4JImage.getProcessor().getWidth() * cv4JImage.getProcessor().getHeight()];
        connectedAreaLabel.process((ByteProcessor)cv4JImage.getProcessor(),mask,null,false);
        SparseIntArray colors = new SparseIntArray();
        Random random = new Random();
        int height = cv4JImage.getProcessor().getHeight();
        int width = cv4JImage.getProcessor().getWidth();
        int size = height * width;
        for (int i = 0;i<size;i++) {
            int c = mask[i];
            if (c>=0) {
                colors.put(c, Color.argb(255, random.nextInt(255),random.nextInt(255),random.nextInt(255)));
            }
        }
        cv4JImage.resetBitmap();
        Bitmap newBitmap = cv4JImage.getProcessor().getImage().toBitmap();
        for(int row=0; row<height; row++) {
            for (int col = 0; col < width; col++) {
                int c = mask[row*width+col];
                if (c>=0) {
                    newBitmap.setPixel(col,row,colors.get(c));
                }
            }
        }
        image2.setImageBitmap(newBitmap);


在识别出的连通组件上进行着色,颜色是随机产生的。


image.png

轮廓分析一.jpeg


第三步,进行轮廓分析。

// 轮廓分析
        Bitmap thirdBitmap = Bitmap.createBitmap(newBitmap);
        ContourAnalysis ca = new ContourAnalysis();
        List<MeasureData> measureDatas = new ArrayList<>();
        ca.process((ByteProcessor)(cv4JImage.convert2Gray().getProcessor()),mask,measureDatas);
        Canvas canvas = new Canvas(thirdBitmap);
        Paint paint = new Paint();
        paint.setColor(Color.WHITE);
        for (MeasureData data:measureDatas) {
            canvas.drawText(data.toString(),data.getCp().x,data.getCp().y,paint);
        }
        image3.setImageBitmap(thirdBitmap);


image.png

轮廓分析二.jpeg


我们提供了ContourAnalysis类来实现轮廓分析。最后,在识别的物体中心添加了一段文字描述。

把第三步的结果放大,可以看到具体的描述内容。包含了物体的质心、轮廓旋转的角度、面积(像素的面积)以及圆度(测量轮廓为圆的可能性)


image.png

轮廓分析三.jpeg


将这些描述内容打印到日志中。


image.png

打印日志.jpeg

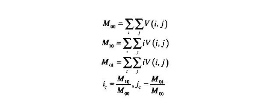
ContourAnalysis采用几何距的算法。 矩是描述图像特征的算子,主要应用于图像检索和识别 、图像匹配 、图像重建 、数字压缩 、数字水印及运动图像序列分析等。

一阶矩和零阶矩用来计算某个形状的重心。


image.png

一阶矩和零阶矩.jpeg


其中,M00是零阶矩,M10、M01是一阶矩。ic和jc是图像的重心坐标。

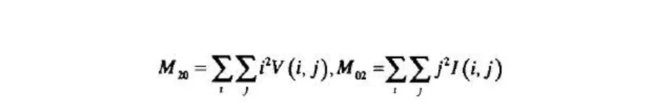
二阶矩用来计算形状的方向。


image.png

二阶矩.jpeg


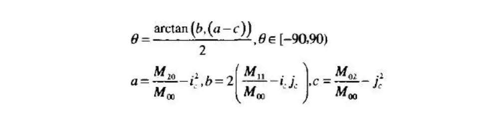
那么物体的方向,


image.png

计算物体形状的方向.jpeg


好了,算法介绍到这里,如果对ContourAnalysis类感兴趣,可以查阅cv4j 的代码。


总结



cv4jgloomyfish和我一起开发的图像处理库,纯java实现,目前还处于早期的版本。本周我们修复了一些之前的bug。下周,我们开始做直方图。

相关文章
|
分布式计算 大数据 数据处理
如何在 PySpark 中实现自定义转换
【8月更文挑战第14天】
228 4
|
缓存 小程序 索引
uni-app开发微信小程序时vant组件van-tabs的使用陷阱及解决方案
uni-app开发微信小程序时vant组件van-tabs的使用陷阱及解决方案
819 1
|
SQL Java 关系型数据库
MyBatisX插件
MyBatisX插件
272 0
|
存储 安全 Linux
s3fs挂载S3对象桶
s3fs(Simple Storage Service File System)是一个基于FUSE(Filesystem in Userspace)的文件系统,它允许将S3(Simple Storage Service)或其他兼容S3 API的对象存储服务挂载到本地文件系统中,从而能够像访问本地磁盘一样访问远程对象存储。以下是通过s3fs挂载OBS(Object Storage Service,对象存储服务,这里以华为云OBS为例)对象桶的基本步骤: ### 一、环境准备 1. **安装s3fs**: - 对于CentOS系统,可以使用yum安装s3fs-fuse: ```
1690 7
|
关系型数据库 MySQL
清理MySQL的binlog日志
清理MySQL的binlog日志
1450 0
|
存储 Linux 网络安全
【操作系统】实验二 Proc文件系统
【操作系统】实验二 Proc文件系统
343 1
|
计算机视觉
OpenCV(二十八):连通域分割
OpenCV(二十八):连通域分割
699 0
|
机器学习/深度学习 人工智能 达摩院
INTERSPEECH2023|达摩院语音实验室入选论文全况速览
INTERSPEECH2023|达摩院语音实验室入选论文全况速览
1714 1
|
Java 调度
用Java代码打造每日任务系统
用Java代码打造每日任务系统
491 0
|
数据可视化 算法 安全
自动检测图像中的圆形目标并可视化检测到的圆
说明如何自动检测图像中的圆或圆形目标并可视化检测到的圆。
550 0