在学习朴素贝叶斯分类模型之前,我们回顾一下之前学习的KNN和决策树,读者本人的总结:不同的机器学习方法有着不同的假设和理论进行支撑,而这些假设和理论在很大程度上体现了该算法的优缺点。
KNN:在样本空间中,相同的类型数据在空间呈聚集状态,也就是距离会靠近,基于这个假设,只需要对测试样本与训练样本进行距离计算,最近距离的样本的类别很大程度上就是测试样本的类别。
决策树:基于信息理论。样本数据是混乱的(熵高),但好在有特征这个东西,如何有效利用特征让样本不混乱,可分,这就是决策树需要完成的事情。
而今天介绍的朴素贝叶斯是基于贝叶斯准则的算法,那为啥要加个朴素呢?因为臣妾做不到啊!(朴素贝叶斯假设特征独立且同等重要)。
朴素贝叶斯原理
如图,为我们的样本数据集。

我们现在用 p1(x,y) 表示数据点 (x,y) 属于类别 1(图中用圆点表示的类别)的概率,用 p2(x,y) 表示数据点 (x,y) 属于类别 2(图中三角形表示的类别)的概率,那么对于一个新数据点 (x,y),可以用下面的规则来判断它的类别:
- 如果 p1(x,y) > p2(x,y) ,那么类别为1
- 如果 p2(x,y) > p1(x,y) ,那么类别为2
也就是说,我们会选择高概率对应的类别。这就是该算法的核心思想,但如何计算p1(x,y) 和p2(x,y)呢?这里就需要条件概率和贝叶斯准则的知识了。
条件概率和贝叶斯准则
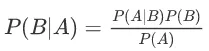
条件概率是在B发生的前提下,A发生的概率,数学公式为P(A|B)。我们来看下书中的案例:
一个装了 7 块石头的罐子,其中 3 块是白色的,4 块是黑色的,那取出白色的概率为3/7,取出黑色的为4/7,这个很简单。

如果用两个桶进行存放,如图所示,在B桶的情况下取出白球的概率是多少呢?很明显是1/3,图中是可以看出来的,但当问题复杂时,直接求就很困难,这里就需要条件概率公式:


另一种计算条件概率的算法为贝叶斯准则:

算法原理
我们继续看之前的案例:
- 如果 p1(x,y) > p2(x,y) ,那么类别为1
- 如果 p2(x,y) > p1(x,y) ,那么类别为2
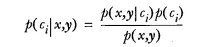
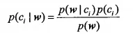
这里我们用条件概率的写法,p(c1|x,y)和p(c2|x,y),这个在实际中很不好求解,所以使用贝叶斯准则:

这样就变为了:
- 如果 P(c1|x, y) > P(c2|x, y), 那么属于类别 c1
- 如果 P(c2|x, y) > P(c1|x, y), 那么属于类别 c2
朴素贝叶斯之文本分类
问题描述与数据
以在线社区的留言板为例,有侮辱性的文字(1)和正常言论(0),该数据也是自己创建的。
def loadDataSet():
"""
创建数据集
:return: 单词列表postingList, 所属类别classVec
"""
postingList = [['my', 'dog', 'has', 'flea', 'problems', 'help', 'please'], #[0,0,1,1,1......]
['maybe', 'not', 'take', 'him', 'to', 'dog', 'park', 'stupid'],
['my', 'dalmation', 'is', 'so', 'cute', 'I', 'love', 'him'],
['stop', 'posting', 'stupid', 'worthless', 'garbage'],
['mr', 'licks', 'ate', 'my', 'steak', 'how', 'to', 'stop', 'him'],
['quit', 'buying', 'worthless', 'dog', 'food', 'stupid']]
classVec = [0, 1, 0, 1, 0, 1] # 1 is abusive, 0 not
return postingList, classVec
构建词向量
我们都知道计算机是不能直接识别文字的,这时就需要将文字转换为数字,怎么进行转换呢?
例如这里有两段文字:
- 我爱中国
- 我不喜欢吃苹果
首先对文本进行切分,然后组成没有重复的列表(词汇表):
[我, 爱, 中国, 不喜欢, 吃苹果]
然后针对词汇表,对两段文字进行向量化,出现的词就会赋值为1,否则为0,则两段文字转换为下面两个词向量。
- [1, 1, 1, 0 ,0]
- [1, 0, 0, 0 ,0]
下面代码构建词向量:
def createVocabList(dataSet):
vocabSet= set([])
for i in dataSet:
vocabSet = vocabSet | set(i)
return list(vocabSet)
def set0fWords2Vec(vocabList, inputSet):
returnVec = [0]*len(vocabList)
for word in inputSet:
if word in inputSet:
returnVec[vocabList.index(word)] = 1
return returnVec
训练算法
由于是多个特征,这里计算公式写为w矩阵形式:

代码如下:
from numpy import *
def trainNB0(trainMatrix, trainCategory):
numTrainDocs = len(trainMatrix)
numWords = len(trainMatrix[0])
pAbusive = sum(trainCategory)/float(numTrainDocs)
p0Num = ones(numWords);p1Num = ones(numWords)
p0Denom = 2.0;p1Denom = 2.0
for i in range(numTrainDocs):
if trainCategory[i] == 1:
p1Num += trainMatrix[i]
p1Denom += sum(trainMatrix[i])
else:
p0Num += trainMatrix[i]
p0Denom += sum(trainMatrix[i])
p1Vect = log(p1Num/p1Denom)
p0Vect = log(p0Num/p0Denom)
return p0Vect, p1Vect, pAbusive
测试算法
最后对算法进行测试:
def classifyNB(vec2Classify, p0Vec, p1Vec, pClass1):
p1 = sum(vec2Classify * p1Vec) + log(pClass1) # P(w|c1) * P(c1) ,即贝叶斯准则的分子
p0 = sum(vec2Classify * p0Vec) + log(1.0 - pClass1) # P(w|c0) * P(c0) ,即贝叶斯准则的分子·
if p1 > p0:
return 1
else:
return 0
def testingNB():
listOPosts, listClasses = loadDataSet()
myVocabList = createVocabList(listOPosts)
trainMat = []
for postinDoc in listOPosts:
trainMat.append(set0fWords2Vec(myVocabList, postinDoc))
p0V, p1V, pAb = trainNB0(array(trainMat), array(listClasses))
testEntry = ['love', 'my', 'dalmation']
thisDoc = array(set0fWords2Vec(myVocabList, testEntry))
print(testEntry, 'classified as: ', classifyNB(thisDoc, p0V, p1V, pAb))
testEntry = ['stupid', 'garbage']
thisDoc = array(set0fWords2Vec(myVocabList, testEntry))
print(testEntry, 'classified as: ', classifyNB(thisDoc, p0V, p1V, pAb))

算法优缺点
- 优点:数据量少也可以使用,可以处理多类问题
- 缺点:对数据较敏感