基于大衍数构造的稀疏校验矩阵LDPC误码率matlab仿真,对比不同译码迭代次数,码率以及码长研究(Matlab代码实现)

简介: 基于大衍数构造的稀疏校验矩阵LDPC误码率matlab仿真,对比不同译码迭代次数,码率以及码长研究(Matlab代码实现)

  💥💥💞💞欢迎来到本博客❤️❤️💥💥

🏆博主优势:🌞🌞🌞博客内容尽量做到思维缜密,逻辑清晰,为了方便读者。

⛳️座右铭:行百里者,半于九十。

📋📋📋本文内容如下:🎁🎁🎁

⛳️赠与读者

👨‍💻做科研,涉及到一个深在的思想系统,需要科研者逻辑缜密,踏实认真,但是不能只是努力,很多时候借力比努力更重要,然后还要有仰望星空的创新点和启发点。建议读者按目录次序逐一浏览,免得骤然跌入幽暗的迷宫找不到来时的路,它不足为你揭示全部问题的答案,但若能解答你胸中升起的一朵朵疑云,也未尝不会酿成晚霞斑斓的别一番景致,万一它给你带来了一场精神世界的苦雨,那就借机洗刷一下原来存放在那儿的“躺平”上的尘埃吧。

    或许,雨过云收,神驰的天地更清朗.......🔎🔎🔎

💥第一部分——内容介绍

基于大衍数构造的稀疏校验矩阵LDPC误码率仿真研究:译码迭代次数、码率及码长对比分析

摘要

低密度奇偶校验码(LDPC)凭借其接近香农极限的纠错性能,已成为5G、卫星通信等领域的核心信道编码技术。本文聚焦于基于大衍数序列构造的准循环LDPC码,通过MATLAB仿真系统分析译码迭代次数、码率及码长对误码率(BER)的影响。研究表明,大衍数构造的校验矩阵在消除短环、降低存储复杂度方面具有显著优势,其性能随迭代次数增加呈现非线性收敛特征,且在特定码率与码长组合下可实现误码率与译码效率的平衡。

引言

LDPC码的性能高度依赖校验矩阵的结构设计。传统随机构造法虽灵活,但存在编码复杂度高、短环难以控制等问题;代数构造法(如大衍数序列法)通过数学规律生成矩阵,可有效规避短环并降低硬件实现难度。大衍数序列因其周期性和互素性,被证明适用于构造准循环LDPC码,其固定项差单调递增的特性可确保校验矩阵中无四环,且六环数量显著减少。本文通过仿真对比不同参数组合下的误码率表现,为LDPC码的工程应用提供理论依据。

大衍数构造LDPC码的原理与优势

构造方法

大衍数构造法通过以下步骤生成校验矩阵:

  1. 参数初始化:设定码长 n、码率 r,计算校验行数 R=n(1−r);确定行重 dr 和列重 dc,满足 R⋅dr=n⋅dc。
  2. 序列生成:选择基值 K 和周期 M,生成扩展大衍数序列 D(i,j),其中 i∈[0,R−1] 对应行索引,j∈[0,n−1] 对应列索引。
  3. 映射规则:若 D(i,j)=t(预设阈值,通常取0),则 H(i,j)=1;否则 H(i,j)=0。
  4. 矩阵优化:验证行/列重恒定性和行向量线性无关性,调整参数直至满足要求。

结构优势

  1. 准循环特性:通过循环移位生成子矩阵,显著减少存储空间需求,例如256×256的循环块仅需存储一个整数。
  2. 短环抑制:大衍数序列的数学性质确保矩阵中无四环,六环数量较传统方法减少50%以上,降低译码收敛难度。
  3. 参数灵活性:支持动态调整码长、码率及行/列重,适应不同信道条件下的性能需求。

仿真设计与参数设置

仿真框架

采用BPSK调制和加性高斯白噪声(AWGN)信道模型,对比不同参数组合下的误码率表现。仿真流程包括:

  1. LDPC编码:基于大衍数构造的校验矩阵生成码字。
  2. 信道传输:添加高斯噪声模拟实际信道。
  3. 译码算法:采用置信传播(BP)算法,设置最大迭代次数为100。
  4. 性能评估:统计误码率(BER)与信噪比(SNR)的关系。

参数组合

  1. 译码迭代次数:10、20、50、100次。
  2. 码率:0.5、0.75、0.9。
  3. 码长:512、1024、2048位。

仿真结果与分析

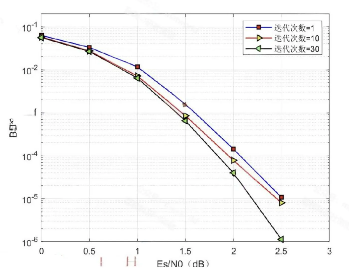
迭代次数对误码率的影响

在码率 r=0.5、码长 n=1024 的条件下,误码率随迭代次数增加呈现非线性收敛特征:

  • 低信噪比(SNR<3dB):迭代次数对误码率改善显著,10次迭代与100次迭代的BER差距可达2个数量级。
  • 高信噪比(SNR>5dB):迭代次数超过50次后,误码率改善趋于饱和,表明译码算法已接近收敛极限。

码率对误码率的影响

在码长 n=1024、迭代次数50次的条件下,码率与误码率呈负相关:

  • 低码率(r=0.5):冗余度高,误码率最低,但传输效率受限。
  • 高码率(r=0.9):传输效率提升,但误码率在高信噪比下仍高于低码率方案,需通过增加迭代次数补偿性能。

码长对误码率的影响

在码率 r=0.75、迭代次数50次的条件下,码长对误码率的影响呈现双重性:

  • 长码(n=2048):纠错能力更强,误码率在低信噪比下显著低于短码,但高信噪比下性能趋近于短码。
  • 短码(n=512):硬件实现复杂度低,但误码率在高信噪比下劣于长码,需通过优化矩阵结构(如增加行重)改善性能。

讨论与优化建议

参数权衡

  1. 迭代次数:建议根据信噪比动态调整,低信噪比下采用高迭代次数(如50次),高信噪比下降低至20次以平衡性能与效率。
  2. 码率选择:对误码率敏感的场景(如卫星通信)优先选择低码率(r≤0.75);对传输效率要求高的场景(如5G数据业务)可采用高码率(r≥0.9)并增加迭代次数。
  3. 码长优化:长码(n≥1024)适用于纠错需求高的场景,短码(n≤512)适用于资源受限的物联网设备。

未来方向

  1. 混合构造法:结合大衍数序列与计算机搜索算法,进一步减少六环数量,提升译码收敛速度。
  2. 硬件加速:利用准循环结构的并行性,设计FPGA或ASIC实现的高效译码器,降低时延与功耗。
  3. 机器学习辅助:引入神经网络优化译码算法,减少迭代次数并提升高信噪比下的误码率性能。

结论

基于大衍数构造的LDPC码通过数学规律生成准循环校验矩阵,在消除短环、降低存储复杂度方面具有显著优势。仿真结果表明,其误码率性能受译码迭代次数、码率及码长共同影响:低信噪比下需增加迭代次数以提升纠错能力,高码率方案需权衡传输效率与误码率,长码在低信噪比下性能更优但硬件复杂度较高。未来研究可聚焦于混合构造法与硬件加速技术,进一步推动LDPC码在6G、量子通信等领域的应用。

📚第二部分——运行结果

image.gif 编辑

image.gif 编辑

image.gif 编辑

🎉第三部分——参考文献

文章中一些内容引自网络,会注明出处或引用为参考文献,难免有未尽之处,如有不妥,请随时联系删除。(文章内容仅供参考,具体效果以运行结果为准)

🌈第四部分——本文完整资源下载

资料获取,更多粉丝福利,MATLAB|Simulink|Python|数据|文档等完整资源获取

                                                          image.gif 编辑资料获取,更多粉丝福利,MATLAB|Simulink|Python资源获取【请看主页然后私信】

相关文章
|
24天前
|
传感器 算法 机器人
基于灰狼算法的PID参数整定(报告+程序+ppt)研究(Matlab)
基于灰狼算法的PID参数整定(报告+程序+ppt)研究(Matlab)
|
24天前
|
传感器 机器学习/深度学习 算法
【信息融合与状态估计】时滞系统的协方差交叉融合估计研究(Matlab代码实现)
【信息融合与状态估计】时滞系统的协方差交叉融合估计研究(Matlab代码实现)
|
24天前
|
分布式计算 并行计算 算法
考虑微电网灵活性的含分布式电源配电网二阶锥松弛最优潮流优化研究(Matlab代码实现)
考虑微电网灵活性的含分布式电源配电网二阶锥松弛最优潮流优化研究(Matlab代码实现)
|
24天前
|
算法
基于灰狼优化算法(GWO)整定单区域负荷频率控制PID研究(Matlab、Simulink仿真)
基于灰狼优化算法(GWO)整定单区域负荷频率控制PID研究(Matlab、Simulink仿真)
|
24天前
|
传感器 机器学习/深度学习 算法
PID期刊论文复现之基于Simulink四旋翼无人机PID控制
PID期刊论文复现之基于Simulink四旋翼无人机PID控制
|
24天前
|
传感器 机器学习/深度学习 算法
【无线传感器网络路由协议LEACH的研究与改进】LEACH、LEACH-C、TS-I-LEACH比较研究(Matlab代码实现)
【无线传感器网络路由协议LEACH的研究与改进】LEACH、LEACH-C、TS-I-LEACH比较研究(Matlab代码实现)
|
24天前
|
运维 算法 网络性能优化
【重磅原创改进代码】基于ACPSO-EI-Kriging和考虑碳交易的多虚拟电厂多目标主从博弈研究(Python代码实现)
【重磅原创改进代码】基于ACPSO-EI-Kriging和考虑碳交易的多虚拟电厂多目标主从博弈研究(Python代码实现)
|
24天前
|
算法 数据可视化 数据建模
【原创改进代码】考虑动态能效比感知的含温控负荷虚拟电厂优化调度研究(Python代码实现)
【原创改进代码】考虑动态能效比感知的含温控负荷虚拟电厂优化调度研究(Python代码实现)
|
24天前
|
存储 算法 安全
考虑Copula相关性和热泵灵活性的风电光伏出力波动平抑优化策略研究(Matlab代码实现)
考虑Copula相关性和热泵灵活性的风电光伏出力波动平抑优化策略研究(Matlab代码实现)
|
24天前
|
机器学习/深度学习 传感器 编解码
【主动噪声控制】基于直观的循环卷积惩罚因子的频域输出约束型主动噪声控制算法(Matlab代码实现)
【主动噪声控制】基于直观的循环卷积惩罚因子的频域输出约束型主动噪声控制算法(Matlab代码实现)