【顶级EI复现】【最新EI论文】低温环境下考虑电池寿命的微电网优化调度(Matlab代码实现)

简介: 【顶级EI复现】【最新EI论文】低温环境下考虑电池寿命的微电网优化调度(Matlab代码实现)

              💥💥💞💞欢迎来到本博客❤️❤️💥💥

🏆博主优势:🌞🌞🌞博客内容尽量做到思维缜密,逻辑清晰,为了方便读者。

⛳️座右铭:行百里者,半于九十。

⛳️赠与读者

👨‍💻做科研,涉及到一个深在的思想系统,需要科研者逻辑缜密,踏实认真,但是不能只是努力,很多时候借力比努力更重要,然后还要有仰望星空的创新点和启发点。当哲学课上老师问你什么是科学,什么是电的时候,不要觉得这些问题搞笑。哲学是科学之母,哲学就是追究终极问题,寻找那些不言自明只有小孩子会问的但是你却回答不出来的问题。建议读者按目录次序逐一浏览,免得骤然跌入幽暗的迷宫找不到来时的路,它不足为你揭示全部问题的答案,但若能让人胸中升起一朵朵疑云,也未尝不会酿成晚霞斑斓的别一番景致,万一它居然给你带来了一场精神世界的苦雨,那就借机洗刷一下原来存放在那儿的“躺平”上的尘埃吧。

    或许,雨过云收,神驰的天地更清朗.......🔎🔎🔎

💥1 概述

文献来源:

image.gif 编辑

为满足“低碳”能源结构的要求,数量庞大的分布式能源接入电网呈规模化趋势,其波动性和随机性给电网的运行安全带来了巨大挑战[1-3]。为应对挑战,微电网作为新兴的电网业态可灵活地进行分布式能源管理,而储能系统在其中起到储存电能、削峰填谷、应急供电等重要作用[4-6]。但在低温环境下,储能系统中起核心作用的电池却常出现充放电效率下降、寿命衰减速率增大等问题[7-8],高速率的电池老化除了增加如热失控、电池膨胀等安全性隐患以外[9-10],还将大幅增加储能系统的运行成本。衰减和运行成本[11]。目前,国内外已有部分学者在考虑电池寿命的微电网优化运行方面做出了一定的研究工作。文献[12]考虑了放电深度(depth of discharge,DOD)对电池寿命的影响,在利用吞吐量法构建了电池寿命预测模型后,引入了与荷电状态 (state of charge,SOC)相关的寿命损耗权重因子, 以限制电池生产活动中的过度放电行为;文献[13] 考虑了 SOC 对电池寿命的影响,基于电池的单位 电量损耗成本将蓄电池运行成本平均到每一次放 电行为中,将电池的 SOC 运行区间限制在较高值; 文献[14]考虑了电池日充放电次数和放电深度对电 池寿命的影响,将放电深度均匀分割成不同放电深 度区间,构成电池运行成本与日放电次数的分段线 性函数,有效约束了电池充放电计划中的日充放电次数与放电深度。但是,在这些模型中均未考虑电池寿命与温度的关系,默认电池依靠空调调节始终在常温下运行。而事实上,空调在温度低于−10℃的低温环境下运行会出现制热性能差和热泵室外机结霜等问题[15],无法在严寒季节达到理想的制热效果。因此,在低温环境下有必要考虑温度对于电池寿命的影响机制。

目前考虑温度对电池寿命影响的相关研究较少,主要基于阿伦尼乌斯方程进行模型搭建:文

献[16]基于阿伦尼乌斯定律推导了温度高于 20℃时对于电池寿命的影响因子函数,搭建了电池的热模型并通过动态模拟器求解模型;文献[17]将温度作为电池寿命的应力因子,认为电池的衰减速率与温度的关系满足阿伦尼乌斯方程,提出一种可以估计随机运行条件下电池容量衰减的电池老化模型。以上研究均未考虑低于室温时电池的寿命衰减模型,且缺乏理论推导,对实验数据的依赖性较高。文献[18]基于热传导方程搭建了电池及加热器的热力学模型,进而形成集成的虚拟电池模型,但该模型 中包含大量微分方程,增加了模型求解难度,不利 于微电网调度的求解。综上,在低温环境下电池的 老化机理分析建模及其参与微电网运行的充放电 策略亟待研究。

因此,本文首先分析了电池在低温下的老化机理,讨论放电深度、循环次数、温度 3 个因素对于

电池寿命衰减的影响,并搭建了考虑电池自发热和全温度范围的寿命衰减模型。接着,在微电网调度模型中考虑电池寿命衰减的影响,基于可行域凸极 点线性组合法,将模型转化为易于求解的混合整数模型。最后,在算例分析部分计算了 3 个温度场景下模型的优化结果,比较在不同场景下电池的衰减 速率以及系统的运行成本。

一、低温环境对电池性能的影响机制

低温环境下,电池性能衰减主要由电解液特性劣化界面动力学恶化共同导致,具体表现为:

  1. 电解液本体性能下降
  • 黏度增大导致离子迁移速率降低(锂离子电导率下降)。
  • 锂盐溶解度下降,加剧离子传输障碍。

    image.gif 编辑
  1. 电极-电解液界面动力学恶化
  • 界面阻抗(Charge Transfer Resistance)显著增大,电荷转移效率降低。
  • 锂离子脱溶剂化能(Li⁺ desolvation energy)升高,阻碍离子嵌入/脱嵌反应。
  1. 不可逆析锂与负极损伤
  • 低温充放电时,锂离子在负极表面沉积形成锂枝晶,引发容量衰减(图2显示-12℃时负极沉积物密度显著增加)。

    image.gif 编辑
  • 析锂加剧SEI膜破裂,加速电池老化。

应对策略

  • 电解液改性:开发低黏度溶剂(如羧酸酯类)、高浓度锂盐电解液,提升低温离子传导率。
  • 界面优化:构建自适应界面层(如固态电解质界面SEI修饰),降低电荷转移阻抗。

二、微电网优化调度中的电池寿命建模方法

(一)寿命量化模型

  1. 吞吐量法(Throughput Model)
  • 核心假设:电池寿命内总吞吐量(总充放电能量)为定值,寿命损耗系数 LlossLloss 定义为: image.gif 编辑

其中 Etotal 为额定总吞吐量,P(t) 为充放电功率。

  • 局限性:未考虑荷电状态(SOC)对寿命的影响。
  1. 加权吞吐量法(改进模型)
  • 引入SOC相关权重函数 f(SOC(t)),修正能量损耗计算:
    image.gif 编辑
  • 权重特性:SOC < 0.5时损耗权重 >1(低电量充放电加速老化);SOC接近1时损耗权重 ≈0.5(图1)。
  1. 循环寿命模型(基于放电深度DOD)
  • 循环次数 NlifeNlife 与放电深度 DODDOD 呈指数关系: image.gif 编辑

通过分段线性化处理,嵌入优化模型。

image.gif 编辑

(二)低温环境下的寿命模型修正

  • 阿伦尼乌斯方程修正:引入温度因子,量化低温对老化速率的加速作用。
  • 全温度范围老化模型:结合充放电次数、DOD及温度,构建多参数寿命衰减方程。

三、低温环境下微电网优化调度策略

(一)目标函数设计

最小化系统总成本为目标,涵盖:

  • 燃料成本(燃气轮机、柴油机)
  • 购售电成本
  • 电池老化成本(通过寿命模型折算为经济成本)。

(二)关键约束条件

  1. 功率平衡:风光出力 + 可控机组 + 储能充放电 = 负荷需求。
  2. 储能运行约束
  • image.gif 编辑
  1. 温度关联约束
  • 低温时限制充放电速率,避免析锂。
  • 自热模型:通过充放电产热维持电池温度,降低阻抗。

(三)优化算法与框架

  1. 混合整数线性规划(MILP)
  • 将非线性寿命模型分段线性化,通过CPLEX等求解器实现高效计算。
  1. 多时间尺度优化
  • 日前层:基于风光/负荷预测,制定储能计划(图3)。

    image.gif 编辑
  • 日内滚动层:每5分钟修正一次计划,响应实时温度变化。
  1. 低温专属策略
  • 自热调度:在低温时段预充电,利用电池内阻产热提升温度。
  • DOD优化:控制放电深度在40%~60%(实验表明该区间循环寿命最长)。

四、经济性评估与案例验证

(一)成本模型

微电网全生命周期成本 CcacCcac 包括:

image.gif 编辑

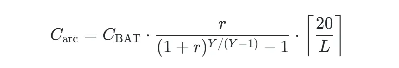
其中电池置换成本 Carc 与低温衰减速率强相关:

image.gif 编辑

L为电池实际寿命(年),受低温环境缩短。

(二)实证效果

  • 低温寿命延长:通过优化调度,电池寿命在-20℃环境下可延长近一倍(对比未优化策略)。
  • 经济性提升:某含风光储的微电网案例中,计及寿命成本的优化调度降低总运行成本15%~20%。

五、研究前沿与挑战

  1. 低温电解液与材料创新
  • 开发宽温域电解液(如-40℃~60℃),提升本体离子电导率。
  • 正极材料改性:NCM622在-20℃下循环400次容量保持率95.89%,优于LFP和LCO。
  1. 智能寿命预测技术
  • 基于MobileNetV3的SOH估计模型,轻量化集成至调度系统。
  • LSTM神经网络动态更新寿命预测,提升调度实时性。
  1. 多目标协同优化
  • 兼顾经济性、寿命延长及碳排放约束的Pareto前沿求解。

结论

低温环境下微电网优化调度的核心在于精准量化电池寿命衰减将其嵌入经济目标函数。通过电解液/界面优化提升电池低温性能,结合加权吞吐量法、DOD-寿命模型及温度修正因子构建寿命模型,再采用MILP或多时间尺度框架实现低温自适应调度。实证表明,该策略可显著延长电池寿命并提升系统经济性。未来需进一步融合材料创新与AI驱动预测,突破极低温场景的技术瓶颈。

📚2 运行结果

image.gif 编辑

image.gif 编辑

image.gif 编辑

image.gif 编辑

image.gif 编辑

image.gif 编辑

image.gif 编辑

image.gif 编辑

🎉3 参考文献

文章中一些内容引自网络,会注明出处或引用为参考文献,难免有未尽之处,如有不妥,请随时联系删除。

[1]丁佳昀,胡秦然,吴在军,等.低温环境下考虑电池寿命的微电网优化调度[J].中国电机工程学报,2024,44(10):3815-3824.DOI:10.13334/j.0258-8013.pcsee.223275.

相关文章
|
7月前
|
机器学习/深度学习 算法 机器人
【水下图像增强融合算法】基于融合的水下图像与视频增强研究(Matlab代码实现)
【水下图像增强融合算法】基于融合的水下图像与视频增强研究(Matlab代码实现)
657 0
|
7月前
|
算法 定位技术 计算机视觉
【水下图像增强】基于波长补偿与去雾的水下图像增强研究(Matlab代码实现)
【水下图像增强】基于波长补偿与去雾的水下图像增强研究(Matlab代码实现)
832 0
|
7月前
|
算法 机器人 计算机视觉
【图像处理】水下图像增强的颜色平衡与融合技术研究(Matlab代码实现)
【图像处理】水下图像增强的颜色平衡与融合技术研究(Matlab代码实现)
224 0
|
7月前
|
机器学习/深度学习 算法 机器人
使用哈里斯角Harris和SIFT算法来实现局部特征匹配(Matlab代码实现)
使用哈里斯角Harris和SIFT算法来实现局部特征匹配(Matlab代码实现)
319 8
|
7月前
|
机器学习/深度学习 编解码 算法
基于OFDM技术的水下声学通信多径信道图像传输研究(Matlab代码实现)
基于OFDM技术的水下声学通信多径信道图像传输研究(Matlab代码实现)
322 8
|
7月前
|
机器学习/深度学习 数据采集 测试技术
基于CEEMDAN-VMD-BiLSTM的多变量输入单步时序预测研究(Matlab代码实现)
基于CEEMDAN-VMD-BiLSTM的多变量输入单步时序预测研究(Matlab代码实现)
284 8
|
7月前
|
机器学习/深度学习 算法 自动驾驶
基于导向滤波的暗通道去雾算法在灰度与彩色图像可见度复原中的研究(Matlab代码实现)
基于导向滤波的暗通道去雾算法在灰度与彩色图像可见度复原中的研究(Matlab代码实现)
368 8
|
7月前
|
新能源 Java Go
【EI复现】参与调峰的储能系统配置方案及经济性分析(Matlab代码实现)
【EI复现】参与调峰的储能系统配置方案及经济性分析(Matlab代码实现)
243 0
|
7月前
|
编解码 运维 算法
【分布式能源选址与定容】光伏、储能双层优化配置接入配电网研究(Matlab代码实现)
【分布式能源选址与定容】光伏、储能双层优化配置接入配电网研究(Matlab代码实现)
576 12
|
7月前
|
人工智能 数据可视化 网络性能优化
【顶级SCI复现】虚拟电厂的多时间尺度调度:在考虑储能系统容量衰减的同时,整合发电与多用户负荷的灵活性研究(Matlab代码实现)
【顶级SCI复现】虚拟电厂的多时间尺度调度:在考虑储能系统容量衰减的同时,整合发电与多用户负荷的灵活性研究(Matlab代码实现)
235 9

热门文章

最新文章