基于双层共识控制的直流微电网优化调度(Matlab代码实现)

简介: 基于双层共识控制的直流微电网优化调度(Matlab代码实现)

💥💥💞💞欢迎来到本博客❤️❤️💥💥

🏆博主优势:🌞🌞🌞博客内容尽量做到思维缜密,逻辑清晰,为了方便读者。

⛳️座右铭:行百里者,半于九十。

💥1 概述

微电网 (mG) 是由分布式发电单元 (DGU)、存储设备和负载组成的电网。除了可再生能源整合、提高电能质量、降低传输损耗、能够在并网和孤岛模式下运行等诸多优势外,它们还与交流和直流运行标准兼容 [1]。特别是,直流微电网 (DCmGs) 最近获得了关注。它们的日益普及可归因于高效转换器的开发、与可再生能源(例如光伏模块)和电池的自然接口,以及本质上为直流的电子负载(各种电器、LED、电动汽车、计算机等)的可用性。

在孤岛 DCmG 中,电压稳定性至关重要,因为没有它,电压可能会突破临界水平并损坏连接的负载 [3]。因此,通常采用初级电压控制层来跟踪耦合点 (PC) 处的所需电压参考,从而将 DGU 连接到 DCmG。为此,文献中提出了几种方法,例如基于下垂控制[2]、[4]和即插即用控制[5]、[6]。除了电压稳定性,另一个理想的目标是确保电流共享,即 DGU 必须根据其额定电流共享 mG 负载。事实上,在没有它的情况下,未调节的电流可能会使发电机过载并最终导致 mG 故障。

本文提出了用于直流微电网中电流共享和电压平衡的新型二级调节器,由分布式发电机组、动态 RLC 线路和非线性 ZIP(恒定阻抗、恒定电流和恒定功率)负载组成。所提出的控制器位于初级电压控制层之上,并利用通过通信网络交换的信息来采取必要的控制措施。我们推导出平衡点存在和唯一性的充分条件,并证明在稳态下达到了预期目标。我们的控制设计只需要了解发电机组的本地参数,便于即插即用操作。我们提供电压稳定性分析,并通过仿真说明我们设计的性能和稳健性。所有结果都适用于任意(尽管是连接的)微电网和通信网络拓扑。

image.gif 编辑

一、双层共识控制的基本原理与应用场景

1. 基本原理

双层共识控制是一种分层式分布式控制框架,包含上层协调层下层执行层

  • 上层协调层:负责全局优化目标,通过收集分布式电源(DG)、储能单元(ESU)和负荷的状态信息,利用优化算法(如线性规划、混合整数规划)生成参考出力指令,并通过共识算法实现节点间的协同。常用共识算法包括:
  • 平均一致性算法:节点状态值通过迭代收敛至共同平均值。
  • 比例一致性算法:根据节点状态偏差动态调整出力。
  • 领导者-跟随者算法:通过领导者节点引导跟随者达成一致。
  • 下层执行层:根据上层指令调节本地电源出力,维持母线电压稳定,常用PI控制、滑模控制等方法。

2. 应用场景

  • 经济调度:优化分布式电源出力以最小化运行成本。
  • 电压控制:平衡母线电压波动,应对可再生能源和负荷的随机性。
  • 故障恢复:在局部故障时快速调整功率分配,保障系统可靠性。

二、直流微电网优化调度的关键技术难点

  1. 母线电压控制
  • 可再生能源和负荷的短时功率冲击可能导致电压过压/欠压。需设计强鲁棒性的控制策略,如基于下垂控制的动态调节。
  1. 多源协调控制
  • 需协调多个DC-DC/AC变流器、储能单元和DG的出力,传统集中控制依赖中央控制器(MGCC),存在单点故障风险。分布式控制通过本地信息交互实现自主协调。
  1. 运行模式切换
  • 联网运行、孤岛运行等模式切换需平滑过渡,避免电压骤变。
  1. 稳定性问题
  • 分布式电源和电动汽车负荷可能引发谐振,需优化控制参数以抑制振荡。

三、现有优化调度方法综述

  1. 传统集中式方法
  • 基于MGCC的优化调度,但通信依赖性强、扩展性差。
  1. 分布式智能算法
  • 改进麻雀搜索算法:用于联络线计划功率调度,降低运行成本9.79%。
  • 多时间尺度调度:结合日前调度与实时修正,提升应对波动能力。
  1. 双层共识控制优势
  • 可扩展性:适应节点增减和拓扑变化。
  • 隐私性:节点仅需共享局部信息,避免数据泄露。

四、理论框架构建:双层共识控制与关键技术融合

  1. 框架设计
  • 上层优化层:集成经济调度模型(目标函数含运行成本、碳排放等),结合AI预测可再生能源出力。
  • 下层控制层:嵌入母线电压调节模块,动态调整下垂系数以应对扰动。
  1. 关键技术整合
  • 多源协调:通过共识算法实现功率分配的分布式决策,避免集中控制器瓶颈。
  • 通信安全:采用区块链技术或加密协议保护数据交互。

五、优化调度算法设计

  1. 算法流程
  • 步骤1:上层收集DG出力预测、负荷需求、储能SOC等信息。
  • 步骤2:基于平均一致性算法生成全局最优出力指令。
  • 步骤3:下层通过PI控制跟踪指令,实时反馈电压和功率偏差。
  1. 创新点
  • AI增强预测:利用LSTM预测光伏/风电出力,提升调度前瞻性。
  • 动态权重调整:根据节点信誉值动态分配权重,抑制恶意节点影响。

六、性能评估指标与实验数据

  1. 关键指标
  • 经济性:运行成本降低比例(如文献中降低9.79%)。
  • 电压稳定性:母线电压偏差≤±5%。
  • 收敛速度:共识算法迭代次数(平均一致性算法通常需10-20次迭代)。
  • 通信开销:节点间数据交换频率和带宽需求。
  1. 实验验证
  • 案例1:硬件在环测试显示,双层控制可在0.3秒内实现电压调节和功率共享。
  • 案例2:仿真表明,结合AI预测的调度策略减少弃风率12%。

七、未来研究方向

  1. AI深度融合:利用强化学习动态优化共识算法参数。
  2. 跨层交互:实现微电网与主电网的协同削峰填谷。
  3. 硬件加速:基于FPGA的共识算法加速,提升实时性。
  4. 标准化测试:推动IEEE 1547等标准对双层控制的支持。

总结

双层共识控制通过分层协同机制,有效解决了直流微电网的优化调度难题,未来结合AI与跨系统交互技术,有望进一步提升其智能化水平和工程适用性。

📚2 运行结果

image.gif 编辑

复现结果图:

image.gif 编辑

image.gif 编辑

image.gif 编辑

image.gif 编辑

image.gif 编辑

image.gif 编辑

image.gif 编辑

原文运行结果图:

image.gif 编辑

可视化代码:

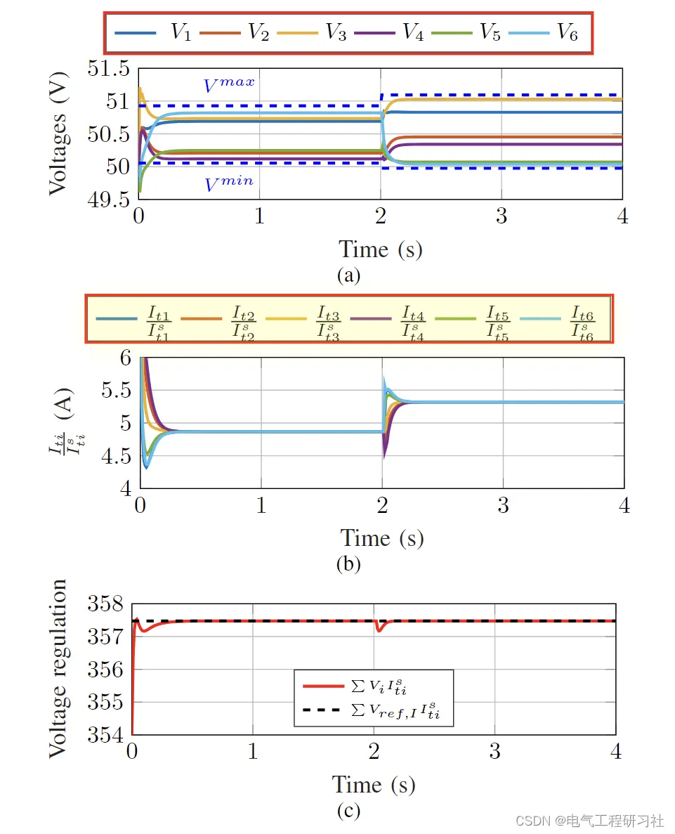
%% Plotting results

close all;

figure(1);

plot(t,y(:,1:N),'linewidth',2);

set(gcf, 'Position',[189, 611,560,310]);

set(gca,'fontsize',15, 'FontName', 'Times New Roman')

hold on

if expo==0 && det(P_l)~=0 && com==1

plot(t, ones(size(t))*Vmax,'b--','linewidth',2);

hold on

plot(t, ones(size(t))*Vmin,'b--','linewidth',2);

end

xlabel('Time (seconds)')

ylabel('DGU voltage')

grid on

legend('$V_1$','$V_2$','$V_3$','$V_4$','$V_5$','$V_6$','Location','north','Interpreter','latex','Orientation','horizontal')

hold off plots

figure(2);

plot(t,y(:,N+1:2*N),'linewidth',2);

set(gcf, 'Position',[189, 611,560,310]);

set(gca,'fontsize',15, 'FontName', 'Times New Roman')

legend('$I_{t1}$','$I_{t2}$','$I_{t3}$','$I_{t4}$','$I_{t5}$','$I_{t6}$','Location','southeast','Orientation','horizontal','Interpreter','latex')

xlabel('Time (seconds)')

ylabel('Filter currents')

grid on

hold off plots

if com==1

figure(3);

plot(t,y(:,N+1:2*N)*D,'linewidth',2);

set(gcf, 'Position',[189, 611,560,310]);

set(gca,'fontsize',15, 'FontName', 'Times New Roman')

leg=legend('$\frac{I_{t1}}{\bar{I}_{t1}}$','$\frac{I_{t2}}{\bar{I}_{t2}}$','$\frac{I_{t3}}{\bar{I}_{t3}}$','$\frac{I_{t4}}{\bar{I}_{t4}}$','$\frac{I_{t5}}{\bar{I}_{t5}}$','$\frac{I_{t6}}{\bar{I}_{t6}}$','Location','southeast','Orientation','horizontal','Interpreter','latex');

leg.FontSize = 20;

xlabel('Time (seconds)')

ylabel('Weighted filter currents')

grid on

hold off plots

figure(4);

plot(t,y(:,1:N)*D^(-1)*ones(N,1),'r','linewidth',2);

hold on

plot(t, (ones(1,N)*D^(-1)*Vref)*ones(size(t)),'b--','linewidth',2.5);

set(gcf, 'Position',[189, 611,560,310]);

set(gca,'fontsize',15, 'FontName', 'Times New Roman')

xlabel('Time (seconds)')

ylabel('Voltage regulation')

grid on

hold off plots

end

🎉3 参考文献

文章中一些内容引自网络,会注明出处或引用为参考文献,

相关文章
|
7月前
|
机器学习/深度学习 算法 机器人
【水下图像增强融合算法】基于融合的水下图像与视频增强研究(Matlab代码实现)
【水下图像增强融合算法】基于融合的水下图像与视频增强研究(Matlab代码实现)
643 0
|
7月前
|
算法 定位技术 计算机视觉
【水下图像增强】基于波长补偿与去雾的水下图像增强研究(Matlab代码实现)
【水下图像增强】基于波长补偿与去雾的水下图像增强研究(Matlab代码实现)
807 0
|
7月前
|
算法 机器人 计算机视觉
【图像处理】水下图像增强的颜色平衡与融合技术研究(Matlab代码实现)
【图像处理】水下图像增强的颜色平衡与融合技术研究(Matlab代码实现)
221 0
|
7月前
|
机器学习/深度学习 算法 机器人
使用哈里斯角Harris和SIFT算法来实现局部特征匹配(Matlab代码实现)
使用哈里斯角Harris和SIFT算法来实现局部特征匹配(Matlab代码实现)
317 8
|
7月前
|
机器学习/深度学习 编解码 算法
基于OFDM技术的水下声学通信多径信道图像传输研究(Matlab代码实现)
基于OFDM技术的水下声学通信多径信道图像传输研究(Matlab代码实现)
318 8
|
7月前
|
机器学习/深度学习 数据采集 测试技术
基于CEEMDAN-VMD-BiLSTM的多变量输入单步时序预测研究(Matlab代码实现)
基于CEEMDAN-VMD-BiLSTM的多变量输入单步时序预测研究(Matlab代码实现)
275 8
|
7月前
|
机器学习/深度学习 算法 自动驾驶
基于导向滤波的暗通道去雾算法在灰度与彩色图像可见度复原中的研究(Matlab代码实现)
基于导向滤波的暗通道去雾算法在灰度与彩色图像可见度复原中的研究(Matlab代码实现)
358 8
|
7月前
|
新能源 Java Go
【EI复现】参与调峰的储能系统配置方案及经济性分析(Matlab代码实现)
【EI复现】参与调峰的储能系统配置方案及经济性分析(Matlab代码实现)
238 0
|
7月前
|
编解码 运维 算法
【分布式能源选址与定容】光伏、储能双层优化配置接入配电网研究(Matlab代码实现)
【分布式能源选址与定容】光伏、储能双层优化配置接入配电网研究(Matlab代码实现)
559 12
|
7月前
|
人工智能 数据可视化 网络性能优化
【顶级SCI复现】虚拟电厂的多时间尺度调度:在考虑储能系统容量衰减的同时,整合发电与多用户负荷的灵活性研究(Matlab代码实现)
【顶级SCI复现】虚拟电厂的多时间尺度调度:在考虑储能系统容量衰减的同时,整合发电与多用户负荷的灵活性研究(Matlab代码实现)
232 9

热门文章

最新文章