【初阶数据结构篇】二叉树基础概念

简介: 有⼀个特殊的结点,称为根结点,根结点没有前驱结点。


二叉树


1.树


1.1树的概念与结构


概念


树是⼀种非线性的数据结构,它是由 n(n>=0)个有限结点组成⼀个具有层次关系的集合。把它叫做树是因为它看起来像⼀棵倒挂的树,也就是说它是根朝上,而叶朝下的。


有⼀个特殊的结点,称为根结点,根结点没有前驱结点。

除根结点外,其余结点被分成 M(M>0) 个互不相交的集合 T1、T2、……、Tm ,其中每⼀个集合 Ti(1 <= i <= m) ⼜是⼀棵结构与树类似的⼦树。每棵子树的根结点有且只有⼀个前驱,可以有0个或多个后继。因此,树是递归定义的。

树形结构中,⼦树之间不能有交集,否则就不是树形结构


非树形结构:


  • 子树是不相交的(如果存在相交就是图了)
  • 除了根结点外,每个结点有且仅有⼀个父结点
  • ⼀棵N个结点的树有N-1条边


1.2 树的相关术语


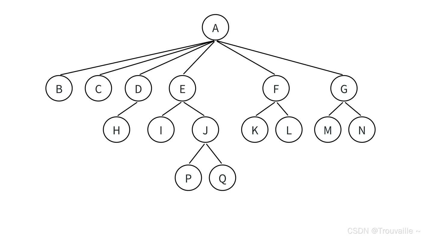
父结点/双亲结点:若⼀个结点含有子结点,则这个结点称为其⼦结点的⽗结点;如上图:A是B的父结点


⼦结点/孩子结点:⼀个结点含有的子树的根结点称为该结点的子结点;如上图:B是A的孩⼦结点结点的度:⼀个结点有几个孩⼦,他的度就是多少;⽐如A的度为6,F的度为2,K的度为0


树的度:⼀棵树中,最大的结点的度称为树的度;如上图:树的度为6


叶⼦结点/终端结点:度为0的结点称为叶结点;如上图:B、C、H、I…等结点为叶结点


分⽀结点/非终端结点:度不为0的结点;如上图:D、E、F、G…等结点为分⽀结点


兄弟结点:具有相同父结点的结点互称为兄弟结点(亲兄弟);如上图:B、C是兄弟结点


结点的层次:从根开始定义起,根为第1层,根的⼦结点为第2层,以此类推;

树的高度或深度:树中结点的最⼤层次;如上图:树的⾼度为4


结点的祖先:从根到该结点所经分支上的所有结点;如上图:A是所有结点的祖先


路径:⼀条从树中任意节点出发,沿父节点-子节点连接,达到任意节点的序列;⽐如A到Q的路径为:A-E-J-Q;H到Q的路径H-D-A-E-J-Q


路径一定是唯一的


⼦孙:以某结点为根的⼦树中任⼀结点都称为该结点的⼦孙。如上图:所有结点都是A的⼦孙

森林:由 m(m>0) 棵互不相交的树的集合称为森林


1.3 树的表示


树结构相对线性表就⽐较复杂了,要存储表示起来就比较⿇烦了,既然保存值域,也要保存结点和结点之间的关系,实际中树有很多种表示方式如:双亲表示法,孩⼦表示法、孩子双亲表示法以及孩子兄弟表示法等。我们这⾥就简单的了解其中最常用孩子兄弟表示法。


  • 孩⼦兄弟表示法:


struct TreeNode
{
  struct Node* child; //左边开始的第一个孩子结点
  struct Node* brother; //指向其右边的下一个兄弟结点
  int data; //结点中的数据域
};

1.4 树形结构实际运用场景


⽂件系统是计算机存储和管理⽂件的⼀种⽅式,它利⽤树形结构来组织和管理⽂件和⽂件夹。在⽂件系统中,树结构被⼴泛应⽤,它通过⽗结点和⼦结点之间的关系来表⽰不同层级的⽂件和⽂件夹之间的关联。



2. 二叉树


2.1 概念与结构


概念


  • 在树形结构中,我们最常⽤的就是⼆叉树,⼀棵⼆叉树是结点的⼀个有限集合,该集合由⼀个根结点 加上两棵别称为左⼦树和右⼦树的⼆叉树组成或者为空。


从上图可以看出⼆叉树具备以下特点:


  1. ⼆叉树不存在度⼤于 2 的结点
  2. ⼆叉树的⼦树有左右之分,次序不能颠倒,因此⼆叉树是有序树


注意:对于任意的⼆叉树都是由以下⼏种情况复合⽽成的



现实中的二叉树



2.2 特殊的二叉树

2.2.1 满二叉树


⼀个⼆叉树,如果每⼀个层的结点数都达到最⼤值,则这个⼆叉树就是满⼆叉树。也就是说,如果⼀个⼆叉树的层数为 k ,且结点总数是2 k-1,则它就是满⼆叉树。


2.2.2 完全二叉树

完全⼆叉树是效率很⾼的数据结构,完全⼆叉树是由满⼆叉树⽽引出来的。对于深度为 K 的,有 n 个结点的⼆叉树,当且仅当其每⼀个结点都与深度为K的满⼆叉树中编号从1⾄ n 的结点⼀⼀对应时称之为完全⼆叉树。要注意的是满⼆叉树是⼀种特殊的完全⼆叉树


  • 二叉树性质


根据满⼆叉树的特点可知:


  1. 若规定根结点的层数为 1 ,则⼀棵⾮空⼆叉树的第i层上最多有2 i-1个结点
  2. 若规定根结点的层数为 1 ,则深度为 h 的⼆叉树的最⼤结点数是2 h-1
  3. 若规定根结点的层数为 1 ,具有 n 个结点的满⼆叉树的深度 log2(n+1)



2.3 二叉树存储结构


⼆叉树⼀般可以使⽤两种结构存储,⼀种顺序结构,⼀种链式结构


2.3.1 顺序结构


  • 顺序结构存储就是使⽤数组来存储,⼀般使⽤数组只适合表示完全⼆叉树,因为不是完全⼆叉树会有空间的浪费,完全⼆叉树更适合使⽤顺序结构存储。
  • 现实中我们通常把堆(⼀种⼆叉树)使⽤顺序结构的数组来存储,需要注意的是这⾥的堆和操作系统虚拟进程地址空间中的堆是两回事,⼀个是数据结构,⼀个是操作系统中管理内存的⼀块区域分段


2.3.2 链式结构
  • ⼆叉树的链式存储结构是指,⽤链表来表⽰⼀棵⼆叉树,即⽤链来指示元素的逻辑关系。


  • 通常的方法是链表中每个结点由三个域组成,数据域和左右指针域,左右指针分别用来给出该结点左孩子和右孩子所在的链结点的存储地址。链式结构又分为叉链和三叉链,当前我们学习中⼀般都是二叉链。在高阶数据结构如红⿊树等会⽤到三叉链。



2.4 二叉树的性质进阶


  • 对任何⼀棵⼆叉树,如果叶子结点个数为a,度为2的分支结点个数为b,则有a=b+1


证明上述性质:

假设⼀个⼆叉树有 a 个叶子结点, b 个度为1的结点, c 个度为2的结点,则这个二叉树的边数是b+2c

另⼀方面,由于共有 a+b+c 个节点,所以边数等于 a+b+c-1

结合上面两个公式:

a+b+c-1=b+2c —> a=c+1

即叶子结点个数==度为2分支结点个数+1

目录
相关文章
|
存储 算法
数据结构与算法学习二二:图的学习、图的概念、图的深度和广度优先遍历
这篇文章详细介绍了图的概念、表示方式以及深度优先遍历和广度优先遍历的算法实现。
372 1
数据结构与算法学习二二:图的学习、图的概念、图的深度和广度优先遍历
|
存储 算法 Java
算法系列之数据结构-二叉树
树是一种重要的非线性数据结构,广泛应用于各种算法和应用中。本文介绍了树的基本概念、常见类型(如二叉树、满二叉树、完全二叉树、平衡二叉树、B树等)及其在Java中的实现。通过递归方法实现了二叉树的前序、中序、后序和层次遍历,并展示了具体的代码示例和运行结果。掌握树结构有助于提高编程能力,优化算法设计。
426 10
 算法系列之数据结构-二叉树
|
Java C++
【C++数据结构——树】二叉树的基本运算(头歌实践教学平台习题)【合集】
本关任务:编写一个程序实现二叉树的基本运算。​ 相关知识 创建二叉树 销毁二叉树 查找结点 求二叉树的高度 输出二叉树 //二叉树节点结构体定义 structTreeNode{ intval; TreeNode*left; TreeNode*right; TreeNode(intx):val(x),left(NULL),right(NULL){} }; 创建二叉树 //创建二叉树函数(简单示例,手动构建) TreeNode*create
499 12
|
C++
【C++数据结构——树】二叉树的性质(头歌实践教学平台习题)【合集】
本文档介绍了如何根据二叉树的括号表示串创建二叉树,并计算其结点个数、叶子结点个数、某结点的层次和二叉树的宽度。主要内容包括: 1. **定义二叉树节点结构体**:定义了包含节点值、左子节点指针和右子节点指针的结构体。 2. **实现构建二叉树的函数**:通过解析括号表示串,递归地构建二叉树的各个节点及其子树。 3. **使用示例**:展示了如何调用 `buildTree` 函数构建二叉树并进行简单验证。 4. **计算二叉树属性**: - 计算二叉树节点个数。 - 计算二叉树叶子节点个数。 - 计算某节点的层次。 - 计算二叉树的宽度。 最后,提供了测试说明及通关代
262 10
|
存储 算法 测试技术
【C++数据结构——树】二叉树的遍历算法(头歌教学实验平台习题) 【合集】
本任务旨在实现二叉树的遍历,包括先序、中序、后序和层次遍历。首先介绍了二叉树的基本概念与结构定义,并通过C++代码示例展示了如何定义二叉树节点及构建二叉树。接着详细讲解了四种遍历方法的递归实现逻辑,以及层次遍历中队列的应用。最后提供了测试用例和预期输出,确保代码正确性。通过这些内容,帮助读者理解并掌握二叉树遍历的核心思想与实现技巧。
647 3
|
数据库
数据结构中二叉树,哈希表,顺序表,链表的比较补充
二叉搜索树,哈希表,顺序表,链表的特点的比较
数据结构中二叉树,哈希表,顺序表,链表的比较补充
|
机器学习/深度学习 存储 算法
数据结构实验之二叉树实验基础
本实验旨在掌握二叉树的基本特性和遍历算法,包括先序、中序、后序的递归与非递归遍历方法。通过编程实践,加深对二叉树结构的理解,学习如何计算二叉树的深度、叶子节点数等属性。实验内容涉及创建二叉树、实现各种遍历算法及求解特定节点数量。
438 4
|
C语言
【数据结构】二叉树(c语言)(附源码)
本文介绍了如何使用链式结构实现二叉树的基本功能,包括前序、中序、后序和层序遍历,统计节点个数和树的高度,查找节点,判断是否为完全二叉树,以及销毁二叉树。通过手动创建一棵二叉树,详细讲解了每个功能的实现方法和代码示例,帮助读者深入理解递归和数据结构的应用。
1707 9
|
存储 算法 关系型数据库
数据结构与算法学习二一:多路查找树、二叉树与B树、2-3树、B+树、B*树。(本章为了解基本知识即可,不做代码学习)
这篇文章主要介绍了多路查找树的基本概念,包括二叉树的局限性、多叉树的优化、B树及其变体(如2-3树、B+树、B*树)的特点和应用,旨在帮助读者理解这些数据结构在文件系统和数据库系统中的重要性和效率。
305 0
数据结构与算法学习二一:多路查找树、二叉树与B树、2-3树、B+树、B*树。(本章为了解基本知识即可,不做代码学习)
|
存储 算法 搜索推荐
数据结构与算法学习十七:顺序储存二叉树、线索化二叉树
这篇文章主要介绍了顺序存储二叉树和线索化二叉树的概念、特点、实现方式以及应用场景。
428 0
数据结构与算法学习十七:顺序储存二叉树、线索化二叉树