WideNet:让网络更宽而不是更深

简介: WideNet:让网络更宽而不是更深

这是新加坡国立大学在2022 aaai发布的一篇论文。WideNet是一种参数有效的框架,它的方向是更宽而不是更深。通过混合专家(MoE)代替前馈网络(FFN),使模型沿宽度缩放。使用单独LN用于转换各种语义表示,而不是共享权重。

混合专家(MoEs)

条件计算

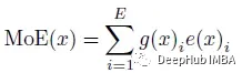
对于每个输入,只有一部分隐藏的表示被发送到选定的专家中进行处理。与MoE一样,给定E个可训练的专家,输入用x表示,MoE模型的输出可表示为:

其中e(.)i是第i位专家的非线性变换。g(.)i是可训练路由器g(.)输出的第i个元素。当g(.)为稀疏向量时,只会激活部分专家。论文中通过MoE和提出的WideNet,每个专家都是一个FFN层。

路由

为了保证稀疏路由g(.),使用TopK()选择排名靠前的专家:

这里的f(.)为路由线性变换。ε为高斯噪声。当K<<E时,g(x)的大多数元素为零。

平衡加载

MoE的问题就是要确保每个专家模块都要处理基本相同数量的令牌,所以优化MoE需要解决下面2个主要问题:

1、把太多令牌分配给一个专家

2、单个专家收到的令牌太少

也就是说要保证将令牌平均分配到各个专家模块。

要解决第一个问题,可以增加缓冲区容量B。对于每个专家最多只保留B个令牌。如果超过B=CKNL,则丢弃所有剩余的令牌。

但是这个方法也只是解决了太多的问题,仍然不能保证所有的专家都能获得足够的令牌进行训练。所以论文采用了 Switch Transformer的方法,采用了一个负载平衡的并且可微的损失函数。

下面这个辅助损失会加到训练时的模型总损失中:

m是向量。第i个元素是分配给专家i的令牌的分数.mi的计算如下:

其中h(.)是TopK选择的索引向量。H (xj)i是H (xj)的第i个元素。

Pi是softmax后路由线性变换的第i个元素。

通过以上的损失函数实现均衡分配。当lbalance最小时,m和P都接近均匀分布。

WideNet

在不同的Transformer块中使用相同的路由和专家

WideNet采用跨Transformer块的参数共享来提高参数效率,采用MoE层来提高模型容量。WideNet在不同的Transformer块中使用相同的路由器和专家。

LN

目前来说,例如ALBERT使用的是参数共享的方法,在Transformer块之间共享所有权重。

而WideNet中只有多头注意层和FFN(或MoE)层是共享的,这意味着LN的可训练参数在块之间是不同的,也就是说每一层的LN的权重都不一样。

把论文中的的第i个Transformer块可以写成:

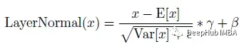
这里的LayerNormal(.)为:

γ和β是可训练向量。LN只需要这两个小向量。

损失函数

尽管路由的可训练参数在每个Transformer块中被重用,但由于输入表示的不同,分配也会有所不同。所以给定T次具有相同可训练参数的路由操作,使用以下损失进行优化:

其中λ=0.01用作超参数,以确保均衡分配。lmain是Transformer的主要目标。例如,在监督图像分类中,主要是交叉熵损失。

结果(CV & NLP)

ImageNet-1K (CV)

在ImageNet-1K上,WideNet-H实现了最佳性能,显著优于ViT和ViT- moe模型。

与最强基线相比,WideNet-H在可训练参数较少的情况下优于vitb 1.5%。即使对于最小的模型WideNet-B,它仍然可以与可训练参数减少4倍以上的viti - l和viti - moe - b取得相当的性能。当扩大到WideNet-L时,它已经超过了所有基线,其中vitb的可训练参数为一半,vitl的参数为0.13倍。

GLUE (NLP)

有了更多的专家,WideNet的表现远远超过ALBERT。

拥有4位专家的WideNet平均比ALBERT高出1.2%。当将专家数量E增加到16时,通过分解嵌入参数化,获得的可训练参数略低于BERT, WideNet在所有四个下游任务上的表现也优于BERT,这显示了更宽而不是更深的参数效率和有效性。

消融研究

专家越多(可训练参数)导致过拟合,尽管专家越多意味着建模能力越强。更少的路由操作时,会有明显的性能下降。

对于可训练向量的第i个元素或第j个块,计算该元素与其他块中所有向量的所有其他元素之间的距离:

式中N为Transformer块的个数,M为向量γ或β的维数。所以WideNet中的γ和β都比ViT中的y大,这意味着MoE比ViT接受更多样化的输入。

这样的结果证明,单独的LN层可以帮助建立具有共享的大型可训练矩阵(如MoE)的各种语义模型。

如果没有跨Transformer块的参数共享,也会有轻微的性能下降和显著的参数增量。对于没有参数共享的WideNet-H,在256个TPUv3核上训练时遇到内存不足的问题。

当WideNet-L比viti - l使用更少的Transformer块(即12个块)时,WideNet-L的性能比viti - l高0.7%,训练时间略少,而参数仅为13.1%,与参数共享的viti - l相比,性能则提升幅度更大。

通过使用参数共享将vitl缩放到更宽的FFN层。会有更多可训练的参数和FLOPs,但不能提高性能(4098 FFN dim到8192 FFN dim)。


论文地址:

Go Wider Instead of Deeper

https://ojs.aaai.org/index.php/AAAI/article/view/20858/20617

相关文章
|
人工智能 自然语言处理 负载均衡
WideNet:让网络更宽而不是更深
这是新加坡国立大学在2022 aaai发布的一篇论文。WideNet是一种参数有效的框架,它的方向是更宽而不是更深。通过混合专家(MoE)代替前馈网络(FFN),使模型沿宽度缩放。使用单独LN用于转换各种语义表示,而不是共享权重。
136 0
|
11月前
|
SQL 安全 网络安全
网络安全与信息安全:知识分享####
【10月更文挑战第21天】 随着数字化时代的快速发展,网络安全和信息安全已成为个人和企业不可忽视的关键问题。本文将探讨网络安全漏洞、加密技术以及安全意识的重要性,并提供一些实用的建议,帮助读者提高自身的网络安全防护能力。 ####
262 17
|
11月前
|
SQL 安全 网络安全
网络安全与信息安全:关于网络安全漏洞、加密技术、安全意识等方面的知识分享
随着互联网的普及,网络安全问题日益突出。本文将从网络安全漏洞、加密技术和安全意识三个方面进行探讨,旨在提高读者对网络安全的认识和防范能力。通过分析常见的网络安全漏洞,介绍加密技术的基本原理和应用,以及强调安全意识的重要性,帮助读者更好地保护自己的网络信息安全。
221 10
|
11月前
|
存储 SQL 安全
网络安全与信息安全:关于网络安全漏洞、加密技术、安全意识等方面的知识分享
随着互联网的普及,网络安全问题日益突出。本文将介绍网络安全的重要性,分析常见的网络安全漏洞及其危害,探讨加密技术在保障网络安全中的作用,并强调提高安全意识的必要性。通过本文的学习,读者将了解网络安全的基本概念和应对策略,提升个人和组织的网络安全防护能力。
|
11月前
|
SQL 安全 网络安全
网络安全与信息安全:关于网络安全漏洞、加密技术、安全意识等方面的知识分享
在数字化时代,网络安全和信息安全已成为我们生活中不可或缺的一部分。本文将介绍网络安全漏洞、加密技术和安全意识等方面的内容,并提供一些实用的代码示例。通过阅读本文,您将了解到如何保护自己的网络安全,以及如何提高自己的信息安全意识。
233 10
|
11月前
|
监控 安全 网络安全
网络安全与信息安全:漏洞、加密与意识的交织
在数字时代的浪潮中,网络安全与信息安全成为维护数据完整性、保密性和可用性的关键。本文深入探讨了网络安全中的漏洞概念、加密技术的应用以及提升安全意识的重要性。通过实际案例分析,揭示了网络攻击的常见模式和防御策略,强调了教育和技术并重的安全理念。旨在为读者提供一套全面的网络安全知识框架,从而在日益复杂的网络环境中保护个人和组织的资产安全。
|
11月前
|
存储 监控 安全
云计算与网络安全:云服务、网络安全、信息安全等技术领域的融合与挑战
本文将探讨云计算与网络安全之间的关系,以及它们在云服务、网络安全和信息安全等技术领域中的融合与挑战。我们将分析云计算的优势和风险,以及如何通过网络安全措施来保护数据和应用程序。我们还将讨论如何确保云服务的可用性和可靠性,以及如何处理网络攻击和数据泄露等问题。最后,我们将提供一些关于如何在云计算环境中实现网络安全的建议和最佳实践。
|
11月前
|
安全 算法 网络协议
网络安全与信息安全知识分享
本文深入探讨了网络安全漏洞、加密技术以及安全意识三个方面,旨在帮助读者更好地理解和应对网络安全威胁。通过分析常见的网络安全漏洞类型及其防范措施,详细介绍对称加密和非对称加密的原理和应用,并强调提高个人和企业安全意识的重要性,为构建更安全的网络环境提供指导。
211 2
|
11月前
|
存储 安全 网络安全
云计算与网络安全:云服务、网络安全、信息安全等技术领域的融合与挑战
随着云计算技术的飞速发展,越来越多的企业和个人开始使用云服务。然而,云计算的广泛应用也带来了一系列网络安全问题。本文将从云服务、网络安全、信息安全等方面探讨云计算与网络安全的关系,分析当前面临的挑战,并提出相应的解决方案。
233 3
|
11月前
|
安全 网络安全 数据安全/隐私保护
网络安全与信息安全:关于网络安全漏洞、加密技术、安全意识等方面的知识分享
在数字化时代,网络安全和信息安全已成为我们日常生活中不可或缺的一部分。本文将深入探讨网络安全漏洞、加密技术和安全意识等方面的问题,并提供一些实用的建议和解决方案。我们将通过分析网络攻击的常见形式,揭示网络安全的脆弱性,并介绍如何利用加密技术来保护数据。此外,我们还将强调提高个人和企业的安全意识的重要性,以应对日益复杂的网络威胁。无论你是普通用户还是IT专业人士,这篇文章都将为你提供有价值的见解和指导。