四、贝叶斯网络
译者:飞龙
自豪地采用谷歌翻译
我们从表示的话题开始:我们如何选择概率分布来为世界的一些有趣方面建模? 建立一个好的模型并不容易:我们在介绍中看到,垃圾邮件分类的朴素模型需要我们指定一些参数,这些参数对于英文单词数量是指数级的!
在本章中,我们将了解避免这类复杂事物的一种方法。 我们将要:
- 学习有效和通用的技术,仅使用少数参数来参数化概率分布。
- 了解如何通过有向无环图(DAG)来优雅地描述所得模型。
- 研究 DAG 结构与所描述的分布的模型假设之间的联系;这不仅会使这些模型假设更加明确,而且还会帮助我们设计更有效的推理算法。
我们将在这里看到的模型称为贝叶斯网络。 在下一章中,我们还会看到第二种方法,它涉及无向图,也称为马尔可夫随机场。
概率建模与贝叶斯网络
有向图模型(也称为贝叶斯网络)是一系列概率分布,它们允许紧凑的参数化,可以使用有向图来自然描述。
这个参数化背后的总体思路非常简单。
回想一下,通过链式法则,我们可以将任意概率p写为:

紧凑贝叶斯网络是一种分布,右侧的每个因子仅依赖于少量的祖先变量
:

例如,在一个有五个变量的模型中,我们可以选择用
来近似因子
。 在这种情况下,我们写作
。
当变量是离散的时候(我们会认为问题通常会是这种情况),我们可以将因子
看作概率表,其中行对应于
的赋值,并且列对应于
的值;条目包含实际概率
。 如果每个变量取d个值并且最多有k个祖先,那么整个表将包含最多O(dk + 1)个条目。 由于每个变量都有一个表,因此只用O(ndk + 1)个参数(与朴素方法的O(dn)相比),就可以简洁地描述整个概率分布。
图表示
这种形式的分布可以自然地表示为有向无环图,其中顶点对应于变量xi并且边表明了依赖关系。 特别是,我们将每个节点的父母设置为
的祖先
。
作为一个例子,考虑考试中的学生成绩g的模型; 成绩取决于几个因素:考试的难度d,学生的智力i,他的 SAT 分数s; 它也会影响教授课程的教授的推荐信的质量l。 每个变量都是二元的,除了g,它取 3 个可能的值。
描述考试中学生表现的贝叶斯网络模型。 分布可以表示为条件概率分布的乘积,由表指定。 这些分布的形式由图中的边描述。
5 个变量的联合概率分布自然因式分解如下:

这个分布的图表示是一个 DAG,它可视化地规定随机变量如何相互依赖。 图清楚地表明信件取决于年级,而它又取决于学生的智力和考试的难度。
解释有向图的另一种方式是根据数据如何生成的故事。 在上面的例子中,为了确定推荐信的质量,我们可以首先抽取一个智力水平和一个考试难度;然后,根据这些参数抽取学生的成绩;最后,推荐信是基于该成绩生成的。
在之前的垃圾邮件分类示例中,我们隐式假设电子邮件根据两步过程来生成:首先,我们选择垃圾邮件/非垃圾邮件标签y;然后我们独立地抽取每个词是否存在,并以该标签为条件。
形式定义
形式上,贝叶斯网络是一个有向图G =(V, E):
每个节点i∈V都是随机变量
。
一个节点有一个条件概率分布(CPD)
,规定
以父值为条件的概率。
因此,贝叶斯网络定义了概率分布p。 相反,我们说如果概率p可以分解为因式乘积,由G所规定,那么它可以在 DAG G上因式分解。
不难看出,由贝叶斯网络表示的概率将是有效的:显然,它将是非负的,并且可以使用归纳论证(以及使用 CPD 是有效概率的事实)来证明,所有变量赋值的和将为一。 相反,我们也可以通过反例说明,当G包含环时,其相关概率可能不会为一。
贝叶斯网络的依赖
总而言之,贝叶斯网络表示概率分布,它们可以通过更小的,局部条件概率分布(每个变量一个)来产生。 通过以这种形式表达概率,我们向模型中引入了一些假设,即某些变量是独立的。
这就产生了一个问题:通过使用模型贝叶斯网络,以及由G描述的给定结构,我们做了哪些独立性假设? 这个问题很重要,有两个原因:我们应该确切地知道我们正在做什么模型假设(以及它们是否正确);此外,这些信息将有助于我们稍后设计更高效的推理算法。
让我们使用符号I(p)来表示对于联合分布p成立的,所有条件独立性的集合。 例如,如果p(x,y)=p(x)p(y),那么我们说x⊥y∈I(p)。
由有向图描述的独立性
结果表明,贝叶斯网络p非常优雅地描述了I(p)中的许多独立性;通过查看三种类型的结构,可以从图中恢复这些独立性。
为了简单起见,我们首先看看具有三个节点A, B, C的贝叶斯网络G。在这种情况下,G基本上只有三种可能的结构,每种结构产生不同的独立性假设。 感兴趣的读者可以使用一些代数来轻松证明这些结果。
三个变量上的贝叶斯网络,编码了不同类型的依赖关系:级联(a,b),公共父级(c)和 V 结构(d)。
- 公共父级:如果
G的形式是A←B→C,并且观察到了B,则A⊥C|B。 但是,如果B未被观察到,则
。 直观地说,这源于一个事实,B包含决定A和C结果的所有信息;一旦观察到,没有其他因素影响这些变量的结果。 - 级联:如果
G等于A→B→C,并且再次观察到了B,则再次A⊥C|B。 但是,如果B未被观察到,则
。 这里的直觉是,B再次拥有决定C的结果的所有信息; 因此,A取什么样的值并不重要。 - V 结构(也称为 Explaining Away):如果
G是A→C←B,则知道C就结合了A和B。换句话说,如果C未被观察,则A⊥B,但如果观察到了C,
。
最后一种情况需要额外的解释。假设C是一个布尔变量,表明我们的草坪在早上是否潮湿;A和B对潮湿有两种解释:下雨(用A表示)或喷水器打开(用B表示)。如果我们知道草地是湿的(C为真)并且喷水器没有打开(B是假的),那么A为真的概率必须是 1,因为这是唯一可能的解释。因此,A和B并不是独立的。
这些结构清楚地描述了由三变量贝叶斯网络编码的独立性。我们可以通过在任何更大的图上递归地应用它们,来将它们扩展到通用网络。这产生了一种被称为 D-分离的概念(其中d代表有向)。
我们说,如果变量Q和W没有由活动路径连接,观察到变量O时,Q和W是 D-分离的。如果对于路径上的每三个连续的变量X, Y, Z,满足下列条件之一,贝叶斯网络结构G中的无向路径被称为在观察变量O条件下活动的:
X←Y←Z,Y未被观测,Y∉OX→Y→Z,Y未被观测,Y∉OX←Y→Z,Y未被观测,Y∉OX→Y←Z,Y或任何后继被观测

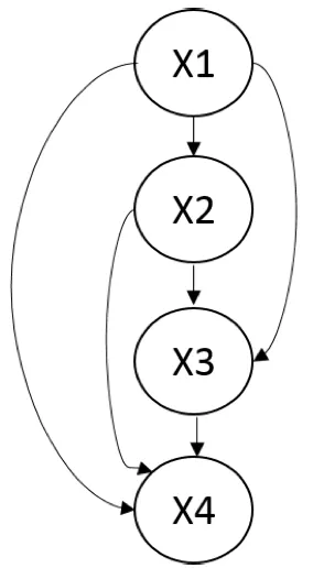
例如,在上面的图中,X1和X6在X2, X3条件下是 D-分离的。

但是,X2, X3在X1, X6条件下不是 D-分离的,因为我们可以找到活动路径(X2, X6, X5, X3)。
之前有个 CS228 学生创建了一个交互式网络模拟来测试 D-分离。 随意使用它,如果是这样,请通过 Web 应用程序上的反馈按钮提交任何反馈或错误。
D-分离的概念很有用,因为它让我们描述了我们模型中很大一部分依赖关系。 令I(G)={(X⊥Y|Z)},其中X, Y是条件Z下的 D-分离,它是G中 D-分离变量的集合。
事实 [1]:如果p在G上隐式分解,那么I(G)⊆I(p)。这里,我们说G是p的 I-map(独立性映射)。
[1] 我们不会正式证明它,但直觉是,如果
X, Y和Y, Z是相互依赖的,那么X, Z也是如此。 因此,我们可以根据上面概述的本地依赖性结构,查看相邻节点并传播依赖关系。
换句话说,用G编码的所有独立性都是合理的:G中的 D-分离的变量,在p中是真正独立的。 然而,相反的情况并非如此:分布可能在G上因式分解,但具有在G中未捕获的独立性。
在某种程度上,这几乎是一个无意义的陈述。 如果p(x,y)=p(x)p(y),那么这个分布仍然在图y→x上因式分解,因为我们总是可以使用 CPD p(x|y),把它写成p(x,y)=p(x|y)p(y),其中x的概率实际上并不随y变化。 但是,我们可以通过简单地删除不必要的边来构造一个图,匹配p的结构。
有向图的表现力
这引发了我们最后的也许是最重要的问题:有向图可以表示任何分布p的所有独立性吗? 更正式地说,给定一个分布p,我们是否可以构造一个图G,使得I(G)=I(p)?
首先,请注意,构造G使得I(G)⊆I(p)非常容易。 因为I(G)=∅,全连通的 DAG G是任何分布的 I-map。
四个变量的全连通贝叶斯网络。这个模型中没有独立性,并且它是任何分布的 I-map。
一个更有意思的问题是,我们能找到p的最小 I-map G,也就是一个 I-map,从G中移除单个边将导致它不再是一个 I-map。这很简单:我们可以从一个完全连接的G开始,并删除边,直到G不再是 I-map。一种方法是遵循图的自然拓扑排序,并删除节点祖先,直到不再可能这样;我们将在进行结构学习时回顾这种修剪方法。
然而,我们真正感兴趣的是,确定概率p是否拥有完美的映射G,其中I(p)=I(G)。不幸的是,答案是否定的。例如,考虑三个变量X, Y, Z的以下分布p:我们从伯努利分布中抽样X,Y~Ber(0.5),并且我们让Z = X xor Y(我们称之为 noisy-xor 示例) 。我们可以使用一些代数来检查,{X⊥Y,Z⊥Y,X⊥Z}∈I(p),但Z⊥{Y,X}∉I(p)。因此,X→Z←Y是p的一个 I-map,但我们讨论的三节点图结构都没有完美描述I(p),因此这种分布没有完美的映射。
一个相关的问题是,当存在完美的映射时,它是否是唯一的。 同样,情况并非如此,因为X→Y和X←Y编码了相同的独立性,但形成不同的图。 更一般地说,如果两个贝叶斯网络G1,G2编码相同的依赖性I(G1)=I(G2),它们就是 I-等价的。
两个贝叶斯网络什么时候是 I-等价的? 为了回答这个问题,让我们回到三个变量的简单例子。 我们说下面的每个图都有相同的骨架,这意味着如果我们放弃箭头的方向性,每种情况下我们会获得相同的无向图。

三个变量上的贝叶斯网络
级联结构(a,b)显然是对称的,箭头的方向性并不重要。 实际上,(a,b,c)编码了完全相同的依赖关系。 只要我们不将它们变成 V 结构(d),我们就可以改变箭头的方向。 然而,当我们有 V 结构时,我们不能改变任何箭头:结构(d)是唯一描述依赖关系
的图。 这些例子提供了 I-等价性的下列一般结果的直觉。
事实:如果G, G′具有相同的骨架和相同的 V 结构,则I(G)=I(G′)。
同样,直观理解为什么这是真的,这很容易。 如果变量之间的 D-分离相同,则两个图是 I-等价的。 我们可以翻转任何边的方向,除非它形成一个 V 结构,并且图的 D-连通性将保持不变。 我们提请读者阅读 Koller 和 Friedman 的教科书来获得充分的证据。

