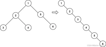
1. 二叉树的中序遍历
给定一个二叉树的根节点 root ,返回它的 中序 遍历。
示例 1:
输入:root = [1,null,2,3]
输出:[1,3,2]
示例 2:
输入:root = []
输出:[]
示例 3:
输入:root = [1]
输出:[1]
示例 4:
输入:root = [1,2]
输出:[2,1]
示例 5:
输入:root = [1,null,2]
输出:[1,2]
提示:
- 树中节点数目在范围
[0, 100]内 -100 <= Node.val <= 100
进阶:递归算法很简单,你可以通过迭代算法完成吗?
出处:
https://edu.csdn.net/practice/26377830
代码:
import java.util.*; public class isSymmetric { public final static int NULL = Integer.MIN_VALUE; //用NULL来表示空节点 public static class TreeNode { int val; TreeNode left; TreeNode right; TreeNode(int x) { val = x; } } public static class Solution { public List<Integer> inorderTraversal(TreeNode root) { List<Integer> list = new ArrayList<>(); Stack<TreeNode> stack = new Stack<>(); TreeNode cur = root; while (cur != null || !stack.isEmpty()) { if (cur != null) { stack.push(cur); cur = cur.left; } else { cur = stack.pop(); list.add(cur.val); cur = cur.right; } } return list; } } public static TreeNode createBinaryTree(Vector<Integer> vec) { if (vec == null || vec.size() == 0) { return null; } Queue<TreeNode> queue = new LinkedList<>(); TreeNode root = new TreeNode(vec.get(0)); queue.offer(root); int i = 1; while (!queue.isEmpty()) { int size = queue.size(); for (int j = 0; j < size; j++) { TreeNode node = queue.poll(); if (i < vec.size() && vec.get(i) != NULL) { node.left = new TreeNode(vec.get(i)); queue.offer(node.left); } i++; if (i < vec.size() && vec.get(i) != NULL) { node.right = new TreeNode(vec.get(i)); queue.offer(node.right); } i++; } } return root; } public static void main(String[] args) { Solution s = new Solution(); Integer[] nums = {1,NULL,2,3}; Vector<Integer> vec = new Vector<Integer>(Arrays.asList(nums)); TreeNode root = createBinaryTree(vec); System.out.println(s.inorderTraversal(root)); Integer[] nums2 = {1,NULL,2}; vec = new Vector<Integer>(Arrays.asList(nums2)); root = createBinaryTree(vec); System.out.println(s.inorderTraversal(root)); Integer[] nums3 = {3,9,20,NULL,NULL,15,7}; vec = new Vector<Integer>(Arrays.asList(nums3)); root = createBinaryTree(vec); System.out.println(s.inorderTraversal(root)); } }
输出:
[1, 3, 2]
[1, 2]
[9, 3, 15, 20, 7]
2. 两两交换链表中的节点
给定一个链表,两两交换其中相邻的节点,并返回交换后的链表。
你不能只是单纯的改变节点内部的值,而是需要实际的进行节点交换。
示例 1:
输入:head = [1,2,3,4]
输出:[2,1,4,3]
示例 2:
输入:head = []
输出:[]
示例 3:
输入:head = [1]
输出:[1]
提示:
- 链表中节点的数目在范围
[0, 100]内 0 <= Node.val <= 100
进阶:你能在不修改链表节点值的情况下解决这个问题吗?(也就是说,仅修改节点本身。)
出处:
https://edu.csdn.net/practice/26377831
代码:
import java.util.*; public class swapPairs { public static class ListNode { int val; ListNode next; ListNode(int x) { val = x; } } public static class Solution { public static ListNode swapPairs(ListNode head) { ListNode list1 = new ListNode(0); list1.next = head; ListNode list2 = list1; while (head != null && head.next != null) { list2.next = head.next; head.next = list2.next.next; list2.next.next = head; list2 = list2.next.next; head = list2.next; } return list1.next; } } public static ListNode createLinkedList(int[] nums) { if (nums == null || nums.length == 0) { return null; } ListNode head = new ListNode(nums[0]); ListNode cur = head; for (int i = 1; i < nums.length; i++) { cur.next = new ListNode(nums[i]); cur = cur.next; } return head; } public static void printLinkedList(ListNode head) { ListNode cur = head; while (cur != null) { System.out.print(cur.val + "->"); cur = cur.next; } System.out.println("null"); } public static void main(String[] args) { Solution s = new Solution(); int[] nums = {1,2,3,4}; ListNode head = createLinkedList(nums); printLinkedList(head); head = s.swapPairs(head); printLinkedList(head); int[] nums2 = {1,2,3,4,5}; head = createLinkedList(nums2); printLinkedList(head); head = s.swapPairs(head); printLinkedList(head); } }
输出:
1->2->3->4->null
2->1->4->3->null
1->2->3->4->5->null
2->1->4->3->5->null
3. 不同的子序列
给定一个字符串 s 和一个字符串 t ,计算在 s 的子序列中 t 出现的个数。
字符串的一个 子序列 是指,通过删除一些(也可以不删除)字符且不干扰剩余字符相对位置所组成的新字符串。(例如,"ACE" 是 "ABCDE" 的一个子序列,而 "AEC" 不是)
题目数据保证答案符合 32 位带符号整数范围。
示例 1:
输入:s = "rabbbit", t = "rabbit"
输出:3
解释:
如下图所示, 有 3 种可以从 s 中得到 "rabbit" 的方案。
示例 2:
输入:s = "babgbag", t = "bag"
输出:5
解释:
如下图所示, 有 5 种可以从 s 中得到 "bag" 的方案。
提示:
0 <= s.length, t.length <= 1000s和t由英文字母组成
出处:
https://edu.csdn.net/practice/26377832
代码:
import java.util.*; class numDistinct { public static class Solution { public int numDistinct(String s, String t) { int n1 = s.length(); int n2 = t.length(); int[][] dp = new int[n1 + 1][n2 + 1]; for (int i = 0; i <= n1; i++) { dp[i][0] = 1; } for (int i = 1; i <= n1; i++) { for (int j = 1; j <= n2; j++) { if (s.charAt(i - 1) == t.charAt(j - 1)) { dp[i][j] = dp[i - 1][j - 1] + dp[i - 1][j]; } else { dp[i][j] = dp[i - 1][j]; } } } return dp[n1][n2]; } } public static void main(String[] args) { Solution sol = new Solution(); String s = "rabbbit"; String t = "rabbit"; System.out.println(sol.numDistinct(s, t)); s = "babgbag"; t = "bag"; System.out.println(sol.numDistinct(s, t)); } }
输出:
3
5
🌟 每日一练刷题专栏 🌟
✨持续,努力奋斗做强刷题搬运工!
👍 点赞,你的认可是我坚持的动力!
🌟 收藏,你的青睐是我努力的方向!
✎ 评论,你的意见是我进步的财富!
☸ 主页:https://hannyang.blog.csdn.net/







