一、题目
给你一个二叉树的根节点 root ,判断其是否是一个有效的二叉搜索树。有效 二叉搜索树定义如下:
- 节点的左子树只包含 小于 当前节点的数。
- 节点的右子树只包含 大于 当前节点的数。
- 所有左子树和右子树自身必须也是二叉搜索树。
二、示例
2.1> 示例 1:
【输入】root = [2,1,3]
【输出】true
2.2> 示例 2:
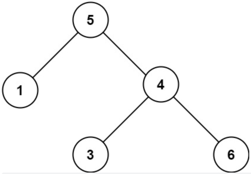
【输入】root = [5,1,4,null,null,3,6]
【输出】false
【解释】根节点的值是 5 ,但是右子节点的值是 4 。
提示:
- 树中节点数目范围在
[1, 10^4]内 -2^31<= Node.val <=2^31 - 1
三、解题思路
根据题目描述,要去验证给定的二叉树是不是二叉搜索树。那么题目中给出了非常关键的一个信息就是——二叉搜索树,那么这种二叉树具有如下的特征:
【若它的左子树不空】则
左子树上所有结点的值均小于它的根结点的值;【若它的右子树不空】则
右子树上所有结点的值均大于它的根结点的值;
针对这道题,我们其实可以通过中序遍历的方式进行解题。为什么是中序遍历呢?首先我们要先了解二叉树的遍历方式。我们以三个节点为例:node、leftNode和rightNode。遍历方式如下所示:
【前序遍历】
node——>leftNode——>rightNode【中序遍历】
leftNode——>node——>rightNode【后序遍历】
leftNode——>rightNode——>node
那么针对中序遍历,是先遍历左节点,然后是根节点,最后才是右节点;那么如果这个二叉树是二叉搜索树,遍历出来的每个节点的值的最终集合结果就是一个升序排列。所以,针对这个特性,我们就可以首先创建一个val变量,用于保存当前遍历的前一个节点值,然后每当遍历到一个节点node的时候,如果不满足node.val > val,则表示不是二叉搜索树了。
以上就是本题的解题思路了,为了便于大家理解,我们以输入root = [5,1,4,null,null,3,6]为例,看一下具体的判断流程。请见下图所示:
四、代码实现
class Solution { public long val = Long.MIN_VALUE; public boolean isValidBST(TreeNode root) { if (root == null) return true; if (!isValidBST(root.left)) return false; if (val >= root.val) return false; val = root.val; return isValidBST(root.right); } } /** * Definition for a binary tree node. * public class TreeNode { * int val; * TreeNode left; * TreeNode right; * TreeNode() {} * TreeNode(int val) { this.val = val; } * TreeNode(int val, TreeNode left, Tre eNode right) { * this.val = val; * this.left = left; * this.right = right; * } * } */
今天的文章内容就这些了:
写作不易,笔者几个小时甚至数天完成的一篇文章,只愿换来您几秒钟的 点赞 & 分享 。
更多技术干货,欢迎大家关注公众号“爪哇缪斯” ~ \(^o^)/ ~ 「干货分享,每天更新」



