【深度学习之美】BP算法双向传,链式求导最缠绵(入门系列之八)

简介: 说到BP(Back Propagation)算法,人们通常强调的是反向传播,其实它是一个双向算法:正向传播输入信号,反向传播误差信息。接下来,你将看到的,可能是史上最为通俗易懂的BP图文讲解,不信?来瞅瞅并吐吐槽呗!

更多深度文章,请关注:https://yq.aliyun.com/cloud



8.1 BP神经网络极简史

在神经网络(甚至深度学习)参数训练中,BP(Back Propagation)算法非常重要,它都占据举足轻重的地位。在提及BP算法时,我们常将它与杰弗里•辛顿(Geoffrey Hinton)的名字联系在一起。但实际上,辛顿还真不是第一个提出BP算法的人,就像爱迪生不是第一个发明电灯的人一样。但人们记住的,永远都是那个让电灯“飞入平常百姓家”的功勋人物爱迪生,而不是它的第一发明人美国人亨利·戈培尔(Henry Goebel)。
如果说辛顿就是BP算法的“爱迪生”,那谁是BP算法的“戈培尔”呢?他就是保罗·沃伯斯(Paul Werbos)。1974年,沃伯斯在哈佛大学博士毕业。在他的博士论文里,首次提出了通过误差的反向传播来训练人工神经网络[1]。事实上,这位沃伯斯不光是BP算法的开创者,他还是循环神经网络(Recurrent Neural Network,RNN)的早期开拓者之一。在后期的系列入门文章中,我们还会详细介绍RNN,这里暂且不表。
说到BP算法,我们通常强调的是反向传播,但其实呢,它是一个典型的双向算法。更确切来说,它的工作流程是分两大步走:(1)正向传播输入信号,输出分类信息(对于有监督学习而言,基本上都可归属于分类算法);(2)反向传播误差信息,调整全网权值(通过微调网络参数,让下一轮的输出更加准确)。
下面我们分别举例,说明这两个流程。为了简化问题描述,我们使用如图8-1所示的最朴素三层神经网络。在这个网络中,假设输入层的信号向量是[1, -1],输出层的目标向量为[1, 0],“学习率”η为0.1,权值是随机给的,这里为了演示方便,分别给予或“1”或“-1”的值。下面我们就详细看看BP算法是如何运作的?





图8-1 简易的三层神经网络

###8.2.1正向传播信息
正向传播信息,简单说来,就是把信号通过激活函数的加工,一层一层的向前“蔓延”,直到抵达输出层。在这里,假设神经元内部的激活函数为Sigmod(\(f(x) = 1/(1 + {e^{ - x}})\))。之所以选用这个激活函数,主要因为它的求导形式非常简洁而优美:
$$
f'(x) = f(x)(1 - f(x))\tag{8.1}
$$

事实上,类似于感知机,每一个神经元的功能都可细分两大部分:(1)汇集各路链接带来的加权信息;(2)加权信息在激活函数的“加工”下,神经元给出相应的输出,如图8-2所示。




图8-2 单个神经元的两部分功能

于是,在正向传播过程中,对于\(f_1(e)\)神经元的更新如图8-3所示,其计算过程如下所示:
$$
\begin{array}{l}
{f_1}(e) = {f1}({w{11}}{x1} + {w{21}}{x_2}) \\
{\rm{ }} = {f_1}(( - 1) \times 1 + 1 \times ( - 1)) \\
{\rm{ }} = {f_1}( - 2) \\
{\rm{ }} = \frac{1}{ {1 + {e^{ - ( - 2)}}}} \\
{\rm{ }} = 0.12 \\
\end{array}
$$




图8-3 神经元信息前向更新神经元1的f1(e)

接着,在同一层更新\(f_2(e)\)的值,过程和计算步骤类似于\(f_1(e)\),如图8-4所示:
$$
\begin{array}{l}
{f_2}(e) = {f 2}({w{12}}{x 1} + {w{22}}{x_2}) \\
{\rm{ }} = {f_2}(1 \times 1 + 1 \times ( - 1)) \\
{\rm{ }} = {f_2}(0) \\
{\rm{ }} = \frac{1}{ {1 + {e^0}}} \\
{\rm{ }} = 0.5\\
\end{array}
$$




图8-4 神经元信息前向更新神经元2的f2(e)

接下来,信息正向传播到下一层(即输出层),更新神经元3的\(f_3(e)\)(即输出\(y_1\)的值),如图8-5所示。
$$
\begin{array}{l}
{y_1} = {f_3}(e) = {f3}({w{13}}{f1} + {w{23}}{f_2}) \\
{\rm{ }} = {f_3}(1 \times 0.12 + 1 \times 0.5) \\
{\rm{ }} = {f_3}(0.62) \\
{\rm{ }} = \frac{1}{ {1 + {e^{ - 0.62}}}} \\
{\rm{ }} = 0.65 \\
\end{array}
$$





图8-5 神经元信息前向更新神经元3的f3(e)

然后,类似地,计算同在输出层求神经元\(f_4(e)\)(即输出\(y_2\))的值,如图8-6所示。
$$
\begin{array}{l}
{y_2} = {f_4}(e) = {f 4}({w{14}}{f 1} + {w{24}}{f_2}) \\
{\rm{ }} = {f_4}(( - 1) \times 0.12 + 1 \times 0.5) \\
{\rm{ }} = {f_4}(0.38)\\
{\rm{ }} = \frac{1}{ {1 + {e^{ - 0.38}}}} \\
{\rm{ }} = 0.59 \\
\end{array}
$$





图8-6神经元信息前向更新f4(e)

到此,在第一轮信号前向传播中,实际输出向量已计算得到\(y' = {[0.65,0.59]^T}\),但我们预期输出的向量(即教师信号)是\(y = {[1,0]^T}\),这二者之间是存在“误差”的。于是,重点来了,下面我们就用“误差”信息反向传播,来逐层调整网络参数。为了提高权值更新效率,这里就要用到下文即将提到的“反向模式微分法则(chain rule)”。
###8.2.2 求导中的链式法则
(砰!砰!砰!敲黑板!请注意:如下部分是BP算法最为精妙之处,值得细细品味!)
在前面信号正向传播的示例中,为了方便读者理解,我们把所有的权值都暂时给予了确定之值。而实际上,这些值都是可以调整的,也就是说其实它们都是变量,除掉图8-1中的所有确定的权值,把其视为变量,得就到更为一般化的神经网络示意图8-7。





图8-7 带权重变量的神经网络

这里为了简化理解,我们暂时假设神经元没有激活函数(或称激活函数为\(y=x\)),于是对于隐含层神经元,它的输出可分别表示为:
$$
{f_1} = {x1}{w{11}} + {x2}{w{21}}\\
{f_2} = {x1}{w{12}} + {x2}{w{22}}
$$

然后,对于输出层神经元有:
$$
\begin{array}{l}
{f_3} = {f1}{w{13}} + {f2}{w{23}} \\
= ({x1}{w{11}} + {x2}{w{21}}){w_{13}} + ({x1}{w{12}} + {x2}{w{22}}){w_{23}} \\
= {x1}{w{11}}{w_{13}} + {x2}{w{21}}{w_{13}} + {x1}{w{12}}{w_{23}} + {x2}{w{22}}{w_{23}} \\
\end{array}
$$

$$
\begin{array}{l}
{f_4} = {f1}{w{14}} + {f2}{w{24}} \\
= ({x1}{w{11}} + {x2}{w{21}}){w_{14}} + ({x1}{w{12}} + {x2}{w{22}}){w_{24}} \\
= {x1}{w{11}}{w_{14}} + {x2}{w{21}}{w_{14}} + {x1}{w{12}}{w_{24}} + {x2}{w{22}}{w{24}} \\
\end{array}
$$
于是,损失函数\(L\)可表示为公式(8.2):
$$L({w
{11}},{w{12}},...,{w{ij}},...,{w_{mn}}) \\
= \frac{1}{2}{({y_i} - {fi}({w{11}},{w{12}},...,{w{ij}},...,{w_{mn}}))^2}\tag{8.2}
$$

这里\(Y\)为预期输出值向量(由\(y_1,y_2,...,y_i,...\)等元素构成),实际输出向量为\({fi}({w{11}},{w{12}},...,{w{ij}},...,{w_{mn}})\)。对于有监督学习而言,在特定训练集合下,输入元素\(x_i\)和预期输出\(yi\)都可视为常量。由此可以看到,损失函数\(L\),在本质上,就是一个单纯与权值\(w{ij}\)相关的函数(即使把原本的激活函数作用加上去,除了使得损失函数的形式表现得更加复杂外,并不影响这个结论)。
于是,损失函数\(L\)梯度向量可表示为公式(8.3):
$$\begin{array}{l}
\nabla L = (\frac{ {\partial L}}{ {\partial {w{11}}}},\frac{ {\partial L}}{ {\partial {w{12}}}},...,\frac{ {\partial L}}{ {\partial {w{mn}}}}) \\
{\rm{ }} = \frac{ {\partial L}}{ {\partial {w
{11}}}}{e{11}} + \frac{ {\partial L}}{ {\partial {w{12}}}}{e{12}} + ... + \frac{ {\partial L}}{ {\partial {w{mn}}}}{e{mn}} \\
\end{array}\tag{8.3}
$$
其中,这里的\(e
{ij}\)是正交单位向量。为了求出这个梯度,需要求出损失函数\(L\)对每一个权值\(w_{ij}\)的偏导数。
BP算法之所以经典,部分原因在于,它是求解这类“层层累进”的复合函数偏导数的利器。为啥这么说呢?下面,我们就列举一个更为简化但不失一般性的例子来说明这个观点(以下案例参考了Chris Olah的博客文章[3])。
假设有如下一个三层但仅仅包括\(a\)、\(b\)、\(c\)、\(d\)和\(e\)等5个神经元的网络,在传递过程中,\(c\)、\(d\)和\(e\)神经元对输入信号做了简单的加工,如图8-8所示。





图8-8 简易的神经网络

假设变量\(a\)影响\(c\),此时我们想弄清楚\(a\)是如何影响\(c\)的。于是我们考虑这么一个问题,如果\(a\)变化一点点,那么\(c\)是如何变化的呢?我们把这种影响关系定义为变量\(c\)相对于变量\(a\)的偏导数,记做\(\frac{ {\partial c}}{ {\partial a}}\)。
利用高等数学的知识,我们很容易求得,对于直接相连的神经元(如\(a\)对\(c\),或\(b\)对\(d\)),可利用“加法规则”或“乘法规则”直接求出。例如,利用加法规则,\(\frac{ {\partial c}}{ {\partial a}}\)可表示为:
$$\frac{ {\partial c}}{ {\partial a}} = \frac{ {\partial (a + b)}}{ {\partial a}} = \frac{ {\partial a}}{ {\partial a}} + \frac{ {\partial b}}{ {\partial a}} = 1
$$
而对于表达式为乘法的求偏导规则为:
$$
\frac{\partial }{ {\partial u}}uv = u\frac{ {\partial v}}{ {\partial u}} + v\frac{ {\partial u}}{ {\partial u}} = v
$$
那么,对于间接相连的神经元,比如\(a\)对\(e\),如果我们也想知道\(a\)变化一点点时\(e\)变化多少,怎么办呢?也就是说,偏导数\(\frac{ {\partial e}}{ {\partial a}}\)该如何求呢?这时,我们就需要用到链式法则了。
这里假设\(a=2\),\(b=1\)。如果\(a\)的变化速率是1,那么\(c\)的变化速率也是1(因为\(\frac{ {\partial c}}{ {\partial a}}=1\))。类似地,如果\(c\)的变化速率为1,那么\(e\)的变化速率为2(因为\(\frac{ {\partial e}}{ {\partial c}}=d=2\))。所以相对于\(a\)变化1,\(e\)的变化为\(1 \times 2 = 2\)。这个过程就是我们常说的“链式法则”,其更为形式化的表达为(如图8-9所示):

$$\frac{ {\partial e}}{ {\partial a}} = \frac{ {\partial e}}{ {\partial c}} \cdot \frac{ {\partial c}}{ {\partial a}} = d \times 1 = 2 \times 1 = 2
$$





图8-9 链式法则示意图

\(a\)对\(e\)的“影响”属于单路径的影响,还比较容易求得,但这并不是我们关注的重点。因为在神经网络中,神经元对神经元的连接,阡陌纵横,其影响也是通过多条路径“交织”在一起的。在图8-9中,我们研究一下\(b\)对\(e\)的影响,就能比较好理解这一工作机理。显然,\(b\)对\(e\)的影响,也可表达为一个偏导关系:
$$\begin{array}{l}
\frac{ {\partial e}}{ {\partial b}} = \frac{ {\partial cd}}{ {\partial b}} = d\frac{ {\partial c}}{ {\partial b}} + c\frac{ {\partial d}}{ {\partial b}} \\
= d \times 1 + c \times 1 \\
= 2 \times 1 + 3 \times 1 \\
= 5 \\
\end{array}$$
从图8-9可以看出,\(b\)对\(e\)影响,其实是“兵分两路”:(1)\(b\)通过影响\(c\),然后通过\(c\)影响\(e\);(2)\(b\)通过影响\(d\),然后通过\(d\)影响\(e\)。这就是多维变量(这里“多”仅为2)链式法则的“路径加和”原则。
这个原则,看起来简单明了,但其实蕴藏着巨大代价。因为当网络结构庞大时,这样的“路径加和”原则,很容易产生组合爆炸问题。例如,在如图8-10所示的有向图中,如果\(X\)到\(Y\)有三条路径(即\(X\)分别以\(\alpha\)、\(\beta\)和\(\chi \)的比率影响\(Y\)),\(Y\)到\(Z\)也有三条路径(\(Y\)分别以\(\delta \)、\(\varepsilon\)和\(\xi \)的比率影响\(Z\))。





图8-10 路径加和规则演示

于是,很容易根据路径加和原则得到\(X\)对\(Z\)的偏导数:
$$\begin{array}{l}
\frac{ {\partial Z}}{ {\partial X}} = (\alpha \delta + \alpha \varepsilon + \alpha \xi ) + \\
{\rm{ (}}\beta \delta + \beta \varepsilon + \beta \xi ) + \\
{\rm{ (}}\chi \delta + \chi \varepsilon + \chi \xi ) \\
\end{array}\tag{8.4}
$$

上面用到的求偏导数方法,可称之为“前向模式微分(forward-mode differentiation)”,如图8-11-(a)所示。当网络结构简单时,即使\(X\)到\(Z\)的每一个路径都被“临幸(遍历)”一遍,总共才有 \(3 \times 3 = 9\) 条路径,但一旦网络结构的复杂度上去了,这种“前向模式微分”,就会让求偏导数的次数和神经元个数的平方成正比。这个计算量,就很可能是成为机器“难以承受的计算之重”。
有道是“东方不亮西方亮”。为了避免这种海量求导模式,数学家们另辟蹊径,提出了一种称之为“反向模式微分(reverse-mode differentiation)”。取代公式(8.4)的那种简易的表达方式,我们用公式(8.5)的表达方式来求\(X\)对\(Z\)的偏导:
$$
\frac{ {\partial Z}}{ {\partial X}} = (\alpha + \beta + \xi )(\delta + \varepsilon + \xi )\tag{8.5}
$$

或许你会不屑一顾,这又是在搞什么鬼?把公式(8.4)恒等变换为公式(8.5)又有什么用呢?





图8-11 前向与反向微分方法对比

你可别急,这背后大有玄机,且听我慢慢道来。
前文提到的前向模式微分方法,其实就是我们在高数课堂上学习的求导方式。在这种求导模式中,强调的是某一个输入(比如\(X\))对某一个节点(如神经元)的影响。因此,在求导过程中,偏导数的分子部分,总是根据不同的节点总是不断变化,而分母则锁定为偏导变量“\(\partial X\)”,保持定不变(见图8-11-(a))。
相比而言,反向模式微分方法则有很大不同。首先在求导方向上,它是从输出端(output)到输入端进行逐层求导。其次,在求导方法上,它不再是对每一条“路径”加权相乘然后求和,而是针对节点采纳“合并同类路径”和“分阶段求解”的策略。
拿8-11-(b)的例子来说,先求\(Y\)节点对\(Z\)节点的"总影响"(反向第一层):
$$
\frac{ {\partial Z}}{ {\partial Y}} = \delta + \varepsilon + \xi
$$
然后,再求节点\(X\)对节点\(Z\)的总影响(反向第二层):
$$
\frac{ {\partial {\rm{Z}}}}{ {\partial X}} = \frac{ {\partial {\rm{Z}}}}{ {\partial Y}}\frac{ {\partial Y}}{ {\partial X}} = (\delta + \varepsilon + \xi )(\alpha + \beta + \chi )
$$
特别需要注意的是,\( \frac{ {\partial {\rm{Z}}}}{ {\partial Y}} \)已经在第一层求导得到。在第二层仅仅需要求得\( \frac{ {\partial {\rm{Y}}}}{ {\partial X}} \),而\( \frac{ {\partial {\rm{Y}}}}{ {\partial X}} \) 容易求得\( (\alpha + \beta + \chi ) \),然后二者相乘即可得到所求。这样一来,就大大减轻了第二层的求导负担。在求导形式上,偏导数的分子部分(节点)不变,而分母部分总是随着节点不同而变化,即\([\frac{ {\partial Z}}{\partial }]\)。
这样说来说去,好像还是不太明白!下面我们还是用图8-9所示的原始例子,对比二者的求导过程,一遍走下来,有了感性认识,你就能明白其中的差异。为了进一步方便读者理解,我们将图8-9重新绘制为图8-12的样子。





图8-12 前向模式微分方法

以求变量\(b\)偏导数的流程为例,我们先用前向模式微分法,来说明这种方法的求导过程。根据加法规则,对于求偏导值\(\frac{ {\partial e}}{ {\partial b}}\)的步骤可以分两步走:(1)求得所有输入(包括\(a\)和\(b\))到终点\(e\)的每条路径上的偏导值乘积;(2)对所有条路径的导数值进行加和操作。
从8-12所示的图中,对于两个输入\(a\)和\(b\),它们共有3条路径抵达终点\(e\)(分别计为①、②和③)。
对于第①条路径而言,输入\(b\)对\(e\)的影响为:
$$\frac{ {\partial e}}{ {\partial b}} = 0 \times 1 \times 1 \times 2 = 0$$
对于第②条路径而言,输入\(b\)对\(e\)的影响为:
$$\frac{ {\partial e}}{ {\partial b}} = 1 \times 1 \times 1 \times 2 = 2$$
对于第③条路径而言,输入\(b\)对\(e\)的影响为:
$$\frac{ {\partial e}}{ {\partial b}} = 1 \times 1 \times 1 \times 3 = 3$$
所以在整体上,输入\(b\)从三条路径上对e施加的“总影响”为:0+2+3=5.
或许读者已经注意到了,有些路径已经被冗余遍历了,比如在图8-12所示中,\(a \to c \to e\)(第①条路)和\(b \to c \to e\)(第②条路)就都走了路径\(c \to e\)。
这些局部性的冗余也就罢了,更为“恶劣”的是,对于求\(\frac{ {\partial e}}{ {\partial a}}\),上述三条路径,它们同样还得“一个都不能少”地跑一遍,如果求得的变量多了,这到底得有多少冗余啊!

可能你会疑问,对于\(\frac{ {\partial e}}{ {\partial b}}\)(\(\frac{ {\partial e}}{ {\partial a}}\)),第①(③)条路径明明可以不走的嘛?这种明智,是对人的观察而言的,而且是对于简单网络而言的。因为,如果网络及其复杂,人们可能就没有这么“慧眼识珠”,识别其中的路径冗余。
此外,对于计算机而言,有些时候,局部操作的“优化”,相对于整体操作的“规范化”,顶多算得上“奇淫巧技”,其优势可谓是“荡然无存”。有过大规模并行编程经验的读者,可能对这个观点会有更深的认知。

然而,同样是利用链式法则,反向模式微分方法就能非常机智地避开了这种冗余(下面即将讲到的BP算法,正是由于这么干,才有其优势的)。在这种方法中,它能做到对每一条路径只“临幸”一次,这是何等的节俭!下面我们来看看它是如何工作的。





图8-13反向模式微分方法

相比于“前向模式微分法”是以输入(如图8-13-(a)所示的\(a\)和\(b\))为锚点,正向遍历每一条可能的路径。反向模式微分法是以节点(或说神经元,如图8-13-(a)所示的\(e\)、\(c\)和\(d\))为锚点,逐层分阶段求导,然后汇集每一个节点的外部路径(合并同类路径)。
如图8-13-(b)所示,在反向求导的第1层,对于节点\(c\)有:

$$
\frac{ {\partial e}}{ {\partial c}} = \frac{ {\partial (c \times d)}}{ {\partial c}} = d = 2
$$
类似的,对于节点\(d\)有:
$$
\frac{ {\partial e}}{ {\partial d}} = \frac{ {\partial (c \times d)}}{ {\partial d}} = c = 3
$$
在阶段性的求解完毕第一层的导数之后,下面开始求解第二层神经元变量的偏导。如图8-13-(c)所示,在反向第2层,对于节点\(a\)有如图8-14-(Ⅰ)所示的求导模式。





图8-14反向模式微分方法的推演

特别需要注意的是,8-14-(Ⅰ)所示的表达式“\(\frac{ {\partial e}}{ {\partial c}}\frac{ {\partial c}}{ {\partial a}}\)”中左部“\(\frac{ {\partial e}}{ {\partial c}}\)”,已经在第1层求解过了,并“存储”在神经元\(c\)中。此时,采用“拿来主义”,拿来就能用!这就是反向模式微分的精华所在!

类似地,在反向求导第2层,对于节点\(b\),由于它汇集“两路兵马”的影响,所以需要合并同类路径,有如图8-14-(Ⅱ)所示结果。
这样一来,如图8-13反向模式微分方法,每个路径仅仅遍历一次,就可以求得所有输出(如\(e\)节点)对输入(如\(a\)或\(b\)节点)的偏导,干净利落,没有任何冗余!
在第七章中,我们曾提到,“BP算法把网络权值纠错的运算量,从原来的与神经元数目的平方成正比,下降到只和神经元数目本身成正比。”其功劳,正是得益于这个反向模式微分方法节省的计算冗余

8.2.3 误差反向传播

有了前面“链式求导”的知识铺垫,下面我们就来细细讲解误差反向传播的过程。鉴于我们的系列文章是写给初学者(实践者)看的,下面我们尽量省略了其中较为复杂的推导公式,对该部分感兴趣的读者可参阅卡内基梅隆大学Tom Mitchell教授的经典著作《机器学习》[3](对公式不感冒的读者,第一遍阅读可以直接跳过公式,直达图文解释部分)。

误差反向传播通过梯度下降算法,迭代处理训练集合中的样例,一次处理一个样例。对于样例\(d\),如果它的预期输出(即教师信号)和实际输出有“误差”,BP算法抓住这个误差信号\(Ld\),以“梯度递减”的模式修改权值。也就是说,对于每个训练样例\(d\),权值\({w{ji}}\)的校正幅度为\(\Delta {w{ji}}\)(需要说明的是,\({w{ji}}\)和\({w{ij}}\)其实都是同一个权值,\({w{ji}}\)表示的是神经元\(j\)的第\(i\)个输入相关的权值,这里之所以把下标“\(j\)”置于“\(i\)”之前,仅仅表示这是一个反向更新过程而已):
$$
\Delta {w_{ji}} = - \eta \frac{ {\partial {Ld}}}{ {\partial {w{ji}}}}\tag{8.6}
$$
在这里,\(L_d\)表示的是训练集合中样例\(d\)的误差,分解到输出层的所有输出向量,\(L_d\)可表示为:
$$
{Ld}(w) = \frac{1}{2}\sum\limits{j \in outputs} {({yj} - y{j}^{'}} {)^2}\tag{8.7}
$$
其中:
\(yj\)表示的是第\(j\)个神经单元的预期输出值。
\(y^{'}
{j}\)表示的\(j\)个神经单元的实际输出值。
\(outputs\)的范围是网络最后一层的神经元集合。
下面我们推导出\(\frac{ {\partial {Ld}}}{ {\partial {w{ji}}}}\)的一个表达式,以便在公式(8.7)中使用梯度下降规则。首先,我们注意到,权值\(w_{ji}\)仅仅能通过\(net_j\)影响其他相连的神经元。因此利用链式法则有:
$$
\begin{array}{l}
\frac{ {\partial {Ld}}}{ {\partial {w{ji}}}} = \frac{ {\partial {L_d}}}{ {\partial ne{t_j}}}\frac{ {\partial ne{tj}}}{ {\partial {w{ji}}}} \
{\rm{ }} = \frac{ {\partial {L_d}}}{ {\partial ne{tj}}}{x{ji}} \
\end{array}\tag{8.8}
$$
在这里,\(ne{t_j} = \sum\nolimitsi { {w{ji}}{x{ji}}} \),也就是神经元\(j\)输入的加权和。\(x{ji}\)表示的神经\(j\)的第\(i\)个输入。需要注意的是,这里的\(x_{ji}\)是个统称,实际上,在反向传播过程中,在经历输出层、隐含层和输入层时,它的标记可能有所不同。
由于在输出层和隐含层的神经元对“纠偏”工作,承担的“责任”是不同的,至少是形式不同,所以需要我们分别给出推导。
(1)在输出层,对第\(i\)个神经元而言,省略部分推导过程,公式(8.8)的左侧第一项为:
$$
\frac{ {\partial {L_d}}}{ {\partial ne{t_j}}} = ({yj} - y{j}^{'})y{j}^{'}(1 - y{j}^{'})\tag{8.9}
$$
为了方便表达,我们用该神经元的纠偏“责任(responsibility)”\(\delta j^{(1)}\)描述这个偏导,即:
$$
\delta
{j}^{(1)} = \frac{ {\partial {L_d}}}{ {\partial ne{tj}}} \tag{8.10}
$$
这里\(\delta
{j}^{(1)}\)的上标“(1)”,表示的是第1类(即输出层)神经元的责任。如果上标为“(2)”,则表示第2类(即隐含层)神经元的责任,见下面的描述。
(2)对隐含层神经元\(j\)的梯度法则(省略了部分推导过程),有:



其中:
\(f_j\)表示神经单元\(j\)的计算输出。
\( net_j \)表示的是神经单元\(j\)的加权之和。
\( Downstream(j) \)表示的是在网络中神经单元\(j\)的直接下游单元集合。
隐含层神经元的纠差职责,是通过计算前一步输出神经元的“责任”来实现的。
这里说的每层神经元“责任”,或者更为确切来说是“纠偏责任”,其实就是在8.2.2节讲到的“分阶段求解”策略。
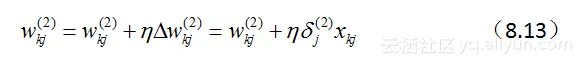
在明确了各个神经元“纠偏”的职责之后,下面就可以依据类似于感知机学习,通过如下加法法则更新权值:
对于输出层神经元有:

$$
w{ji}^{(1)} = w{ji}^{(1)} + \eta \Delta w{ji}^{(1)} \\
= w
{ji}^{(1)} + \eta \delta _i^{(1)}{h_j} \tag{8.12}
$$

对于隐含层神经元有:



在这里,\(\eta \in (0,1)\)表示学习率。在实际操作过程中,为了防止错过极值,\(\eta\)通常取小于0.1的值。\(hj\)为神经元j的输出。\(x{jk}\)表示的是神经单元\(j\)的第\(k\)个输入。
上面的公式依然比较抽象,难以理解。下面我们还是以前面的神经网络拓扑结构为例,用实际运算过程给予详细说明,以期望给与读者感性认识。
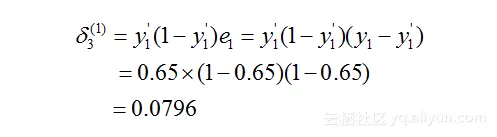
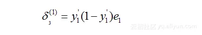
从上面的描述可以得知,针对输出层的神经元3,它的输出值\(y_{1}^{'}\)为0.65,而期望输出值\(y_1\)为1,二者存在“误差”:\({ e_1} = {y1} - y{1}^{'} = 1 - 0.65 = 0.35 \)。
在这里,我们把每个神经元根据误差调参的“责任”记为\(\delta \),那么,根据公式(8.9)和(8.10),神经元3的“责任”可表示为:







图8-15 误差反向传播计算神经元3的“责任”

从上面分析可知,我们很容易计算出\( \delta _{3}^{(1)} \)的值:



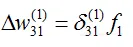
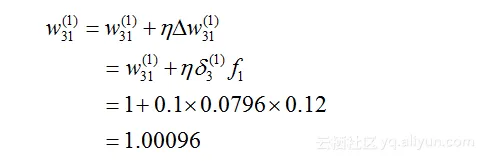
于是,可以反向更新\(w_{31}^{(1)}\)的权值为:



在这里,image(具体推导见公式8.8-8.10),\(\eta \)为学习率,此处取值为0.1。\(f1\)为神经元1的输出(即\(y{1}^{'}\))。
类似地,我们可以反向更新\(w{ {32}}^{(1)}\))的权值:
$$\begin{array}{l}
w{32}^{(1)} = w{32}^{(1)} + \eta \Delta w{32}^{(1)} \\
{\rm{ }} = w
{32}^{(1)} + \eta \delta _3^{(1)}{f_2} \\
{\rm{ }} = 1 + 0.1 \times 0.0796 \times 0.5 \\
{\rm{ }} = 1.00398 \\
\end{array}$$

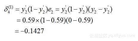
同样的操作,我们可以计算出\(\delta _4^{(1)}\)的值,如图8-16所示。
image





图8-16 误差反向传播计算神经元4的责任

从而可以反向更新\(w{41}^{(1)}\)的权值:
$$\begin{array}{l}
w
{41}^{(1)} = w{41}^{(1)} + \eta \Delta w{41}^{(1)} \\
{\rm{ }} = w_{41}^{(1)} + \eta \delta _4^{(1)}{f_1} \\
{\rm{ }} = - 1 + 0.1 \times ( - 0.1427) \times 0.12 \\
{\rm{ }} = - 1.0017 \\
\end{array}$$

类似地,我们可以反向更新\(w{42}^{(1)}\)的权值:
$$\begin{array}{l}
w
{42}^{(1)} = w{42}^{(1)} + \eta \Delta w{42}^{(1)} \\
{\rm{ }} = w_{42}^{(1)} + \eta \delta _4^{(1)}{f_2} \\
{\rm{ }} = 1 + 0.1 \times ( - 0.1427) \times 0.5 \\
{\rm{ }} = 0.9929 \\
\end{array}$$

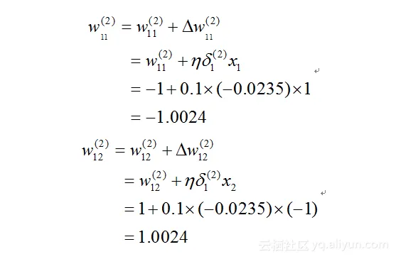
在反向更新完毕输出层的权值后,下面。我们开始反向更新隐含层的网络权值,示意图如图8-17所示。





图8-17 误差反向传播计算神经元1的责任

如果我们把反向传播误差的“职责(即\({\delta _j}\))”,也看做一种特殊信息的话,那么在隐藏层的每个神经元都会有一个加权和影响,记为\({\Delta _j}\),实际上,这里的\({\Delta _j}\),就是公式(8.11)的加权求和\(Downstream(j)\)(其实也就是8.2.2所提及的“合并同类路径”)。
对于隐含层神经1,则有:



有了这个权值影响,我们就可以很容易计算出神经元1承担的“责任”\(\delta _{ 1}^{(2)}\):
$$
\begin{array}{l}
\delta
{_1}^{(2)} = {f_1}(1 - {f_1}){\Delta _1} \\
= 0.12 \times (1 - 0.12) \times 0.2223 \\
= - 0.0235 \\
\end{array}
$$
在计算出计算神经元1承担的“责任”之后,我们就可以更新与神经元1相连的两个输入变量权值:



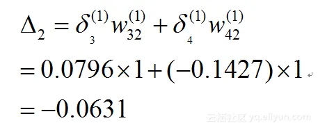
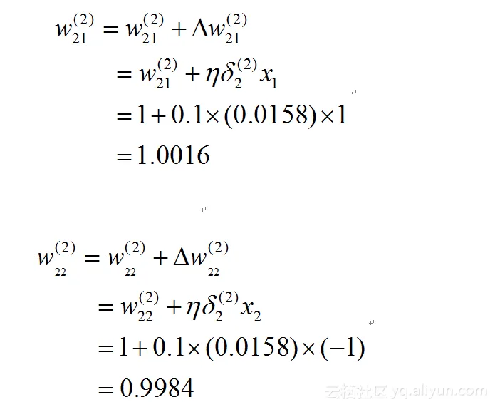
类似的流程(示意图如图8-18所示),可以求得神经元2的累计加权影响有:







图8-18误差反向传播计算神经元2的责任

于是,计算神经元2承担的“责任”\(\delta 2^{(2)}\):
$$
\begin{array}{l}
\delta
{_2}^{(2)} = {f_2}(1 - {f_2}){\Delta _2} \\
= 0.5 \times (1 - 0.5) \times ( - 0.0631) \\
= 0.0158 \\
\end{array}
$$

同样,计算出计算神经元2承担的“责任”之后,我们就可以更新与神经元2相连的两个输入变量权值:



从上面的推导过程,我们可以看到,经过一轮的误差逆传播,神经网络的权值前后确有不同。但由于学习率(即步长)较小(为0.1),所以前后的权值变化并不大(括号内的数值为原始权值),如图8-19所示。





图8-19 一轮BP算法之后前后的权值对比

如此一来,整个网络的权值就全部得以更新。接下来,网络就可接受下一个训练样例,接着往下训练了,直到输出层的误差小于预设的容忍度。
BP算法,在很多场所的确非常有用。例如,1989年,Yann Lecun(又一位当下的深度学习大牛)等人就用BP算法,在手写邮政编码识别上有着非常成功的应用[5],训练好的系统,手写数字错误率只有5%。Lecun借此还申请了美国专利,开了公司,发了一笔小财。
在发表BP算法之后的30年,2006年,辛顿等人在发表的有关“深度信念网”的经典论文中指出[8],深度信念网(DBN)的组成元件就是受限玻尔兹曼机 (Restricted Boltzmann Machines, RBM)。而DBN的构建其实分两步走的:(1)单独“无监督”地训练每一层RBM网络,以确保特征向量在映射到不同特征空间时,能够尽可能多地保留特征信息;(2)在DBN的最后一层,设置BP网络,用以接收RBM的输出特征向量作为它的输入特征向量,然后“有监督”地训练实体关系分类器,对网络权值实施微调(Fine-Tune)。
现在你看到了,BP算法的影响力,一直渗透到“深度学习”骨子里!这就是为什么在讲深度学习时,我们绕不过BP算法的原因。

8.4 小结

在本章中,我们详细解释了反向传播(BP)算法,通过学习我们知道,BP算法其实并不仅仅是个反向算法,而是一个双向算法。也就是说,它其实是分两大步走:(1)正向传播信号,输出分类信息;(2)反向传播误差,调整网络权值。如果没有达到预期目的,重走回头路(1)和(2)。
BP算法很成功。但我们也要看到BP算法的不足,比如说会存在“梯度扩散(Gradient Diffusion)”现象,其根源在于对于非凸函数,梯度一旦消失,就没有指导意义,导致它可能限于局部最优。而且“梯度扩散”现象会随着网络层数增加而愈发严重,也就是说,随着梯度的逐层消减,导致它对调整网络权值的调整效益,作用越来越小,故此BP算法多用于浅层网络结构(通常小于等于3),这就限制了BP算法的数据表征能力,从而也就限制了BP的性能上限。
再比如说,虽然相比于原生态的BP算法,虽然它降低了网络参数的训练量,但其网络参数的训练代价还是不小,耗时非常“可观”。就拿LeCun的识别手写邮编的案例说事,其训练耗时就达3天之久。
再后来,与LeCun同在一个贝尔实验室的同事Vladimir Vapnik(弗拉基米尔·万普尼克),提出并发扬光大了支持向量机 (Support Vector Machine) 算法。
SVM作为一种分类算法,对于线性分类,自然不在话下。在数据样本线性不可分时,它使用了所谓“核机制(kernel trick)”,将线性不可分的样本,映射到高维特征空间 (high-dimensional feature space),从而使其线性可分。自上世纪九十年代初开始,SVM逐渐大显神威,在图像和语音识别等领域,获得了广泛而成功的应用。
在手写邮政编码的识别问题上,LeCun利用BP算法,把错误率整到5%左右,而SVM在1998年就把错误率降到低至0.8%。这远超越同期的传统神经网络算法。
就这样,万普尼克又把神经网络研究送到了一个新的低潮!
在下一章中,我们将来聊聊“卷积神经网络”,这可是深度学习发展过程中的一个重要里程碑,希望你能关注。

8.5 请你思考

通过本章的学习,请你思考如下问题:
(1)正是由于神经网络具有强大的表示能力,“成也萧何,败也萧何”,BP算法常常遭遇“过拟合(overfitting)”,它可能会把噪音当做有效信号,你知道有什么策略来避免过拟合吗?
(2)利用梯度递减策略,BP算法常停止于局部最优解,而非全局最优解,这好比“只因身在此山中”,却不知“人外有人,山外有山”,你知道有什么方法可以改善这一状况吗?
(3)在BP算法流程中,我们看到的是反反复复的权值调整,而杰弗里•辛顿在文献[4]中提到的特征表示(representation),体现在什么地方?

【参考文献】

[1] Paul J. Werbos. Beyond Regression: New Tools for Prediction and Analysis in the Behavioral Sciences. PhD thesis, Harvard University, 1974
[2] Christopher Olah. Calculus on Computational Graphs: Backpropagation
[3]Tom Mitchell著.曾华军等译. 机器学习. 机器工业出版社. 2007.4
[4] Williams D, Hinton G. Learning representations by back-propagating errors[J]. Nature, 1986, 323(6088): 533-538.
[5] LeCun Y, Boser B, Denker J S, et al. Backpropagation applied to handwritten zip code recognition[J]. Neural computation, 1989, 1(4): 541-551.
[6]周志华. 机器学习. 清华大学出版社. 2016.1
[7] Mirosav Kubat著. 王勇等译. 机器学习导论. 机械工业出版社. 2016.11
[8] Hinton G E, Osindero S, Teh Y W. A fast learning algorithm for deep belief nets[J]. Neural computation, 2006, 18(7): 1527-1554.

文章作者:张玉宏,著有《品味大数据》、本文节选自《深度学习之美》2018年7月电子工业出版社出版。
审校:我是主题曲哥哥。

推荐阅读


一入侯门“深”似海,深度学习深几许(深度学习入门系列之一)
人工“碳”索意犹尽,智能“硅”来未可知(深度学习入门系列之二)
神经网络不胜语, M-P模型似可寻(深度学习入门系列之三)
“机器学习”三重门,“中庸之道”趋若人(深度学习入门系列之四)
Hello World感知机,懂你我心才安息(深度学习入门系列之五)
损失函数减肥用,神经网络调权重(深度学习入门系列之六)
山重水复疑无路,最快下降问梯度(深度学习入门系列之七)
BP算法双向传,链式求导最缠绵(深度学习入门系列之八)
全面连接困何处,卷积网络见解深(深度学习入门系列之九)
卷地风来忽吹散,积得飘零美如画(深度学习入门系列之十)
局部连接来减参,权值共享肩并肩(深度学习入门系列之十一)
激活引入非线性,池化预防过拟合(深度学习入门系列之十二)
循环递归RNN,序列建模套路深(深度学习入门系列之十三)
LSTM长短记,长序依赖可追忆(深度学习入门系列之十四)

(未完待续)

相关文章
|
6月前
|
机器学习/深度学习 人工智能 PyTorch
PyTorch深度学习 ? 带你从入门到精通!!!
🌟 蒋星熠Jaxonic,深度学习探索者。三年深耕PyTorch,从基础到部署,分享模型构建、GPU加速、TorchScript优化及PyTorch 2.0新特性,助力AI开发者高效进阶。
PyTorch深度学习 ? 带你从入门到精通!!!
|
6月前
|
存储 算法
算法入门:专题二---滑动窗口(长度最小的子数组)类型题目攻克!
给定一个正整数数组和目标值target,找出总和大于等于target的最短连续子数组长度。利用滑动窗口(双指针)优化,维护窗口内元素和,通过单调性避免重复枚举,时间复杂度O(n)。当窗口和满足条件时收缩左边界,更新最小长度,最终返回结果。
|
7月前
|
机器学习/深度学习 算法 调度
14种智能算法优化BP神经网络(14种方法)实现数据预测分类研究(Matlab代码实现)
14种智能算法优化BP神经网络(14种方法)实现数据预测分类研究(Matlab代码实现)
566 0
|
6月前
|
存储 算法
算法入门:专题一:双指针(有效三角形的个数)
给定一个数组,找出能组成三角形的三元组个数。利用“两边之和大于第三边”的性质,先排序,再用双指针优化。固定最大边,左右指针从区间两端向内移动,若两短边之和大于最长边,则中间所有组合均有效,时间复杂度由暴力的O(n³)降至O(n²)。
|
6月前
|
存储 算法 编译器
算法入门:剑指offer改编题目:查找总价格为目标值的两个商品
给定递增数组和目标值target,找出两数之和等于target的两个数字。利用双指针法,left从头、right从尾向中间逼近,根据和与target的大小关系调整指针,时间复杂度O(n),空间复杂度O(1)。找不到时返回{-1,-1}。
|
6月前
|
机器学习/深度学习 算法
采用蚁群算法对BP神经网络进行优化
使用蚁群算法来优化BP神经网络的权重和偏置,克服传统BP算法容易陷入局部极小值、收敛速度慢、对初始权重敏感等问题。
480 5
|
7月前
|
机器学习/深度学习 并行计算 算法
【CPOBP-NSWOA】基于豪冠猪优化BP神经网络模型的多目标鲸鱼寻优算法研究(Matlab代码实现)
【CPOBP-NSWOA】基于豪冠猪优化BP神经网络模型的多目标鲸鱼寻优算法研究(Matlab代码实现)
180 8
|
7月前
|
机器学习/深度学习 传感器 算法
【表面粗糙度】基于粒子群PSO算法优化-BP神经网络的表面粗糙度研究(Matlab代码实现)
【表面粗糙度】基于粒子群PSO算法优化-BP神经网络的表面粗糙度研究(Matlab代码实现)
333 7
|
7月前
|
机器学习/深度学习 编解码 并行计算
【创新未发表!】基于BKA算法优化-BP、HO算法优化-BP、CP算法优化-BP、GOOSE算法优化-BP、NRBO算法优化-BP神经网络回归预测比较研究(Matlab代码)
【创新未发表!】基于BKA算法优化-BP、HO算法优化-BP、CP算法优化-BP、GOOSE算法优化-BP、NRBO算法优化-BP神经网络回归预测比较研究(Matlab代码)
459 0
|
7月前
|
机器学习/深度学习 数据采集 运维
改进的遗传算法优化的BP神经网络用于电厂数据的异常检测和故障诊断
改进的遗传算法优化的BP神经网络用于电厂数据的异常检测和故障诊断

热门文章

最新文章