回归方程求解小例子 | 学习笔记

简介: 快速学习回归方程求解小例子

开发者学堂课程【人工智能必备基础:概率论与数理统计:回归方程求解小例子】学习笔记,与课程紧密联系,让用户快速学习知识。

课程地址:https://developer.aliyun.com/learning/course/545/detail/7432


回归方程求解小例子

内容介绍

一、 利用回归直线进行估计和预测

二、 估计平均误差

三、 影响区间宽度的因素

 

实例:70 年代世界制造业总产量与世界制成品总出口量的变化关系如表

image.png

image.png

 

一、利用回归直线进行估计和预测:

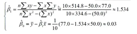
点估计:利用估计的回归方程,对于 x 的某一个特定的值,求出 y 的一个估计值就是点估计

区间估计:利用估计的回归方程,对于 x 的一个特定值,求出 y 的一个估计值的区间就是区间估计
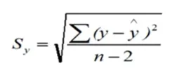
估计标准误差的计算
为了度量同归方程的可靠性,通常计算估计标准误差。它度量观察值回绕着回归值线的变化程度或分散程度。

 

二、估计平均误差:

image.png

公式中根号内的分母是 n-2,而不是 n, 这是由于 Q=□(y□y)2 有两个线性关系的约束,因而自由度为 n-2。

估计标准误差越大,则数据点围绕回归直线的分散程度就越大,回归方程的代表性越小。

估计标准误差越小,则数据点围绕回归直线的分散程度越小,回归方程的代表愈大,其可靠性越高。
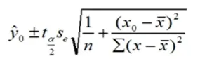
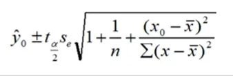
置信区间估计:

image.png

在 1-α 置信水平下预测区间为:

image.png

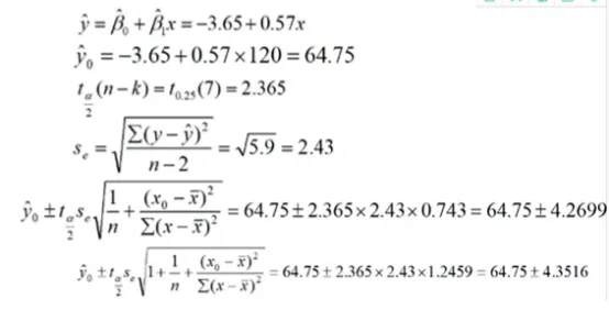
某企业从有关资料中发现广告投入和产品销售有较密切的关系。近年该企业广告费和销售额资料见表 10-3,若 2003 年广告费为 120 万元,请用一元线性回归求2003 年产品销售额的置信区间与预测区向 (α=0.05)

image.png

image.png

image.png

 

三、影响区间宽度的因素:

置信水平 (1- α), 区间宽度随置信水平的增大而增大

数据的离散程度 Se,区间宽度随离程度的增大而增大

样本容量,区间宽度随样木容量的增大而减小

X0 与 X 均值之间的差异,随着差异程度的增大而增大

相关文章
|
8月前
|
云安全 弹性计算 安全
阿里云云产品安全体检评测
随着云计算的普及,云上资源和数据安全变得至关重要。近期受邀体验了阿里云的安全体检功能,针对ECS和轻量云服务器进行了评测。该功能能检测攻击告警、云服务器漏洞及云产品风险配置等,帮助用户发现并修复潜在安全问题。通过实际操作,我发现其流程简便且实用,但建议优化检查规则名称、增加实例ID超链接以及整合安全检查功能,以提升用户体验和安全性。总结来说,阿里云安全体检服务有效提升了云资源的安全性,值得推荐。
|
Serverless 云栖大会
云栖大会 Serverless 开发专区
云栖大会 C馆,阿里云x森马定制创意体恤!
|
人工智能 智能硬件
智能音箱二战:国内Q1出货量5倍增长,BAX上屏、扩类、做家居
2019年Q1国内智能音箱市场实现5倍增长,暴增之后来杯凉茶?
1229 0
|
Linux Windows 开发工具
windows 7 和 centos 7双系统
windows、linux双系统启动问题
1528 0
|
设计模式 前端开发 测试技术
再谈三层架构
    再次谈起三层架构来,初识三层时的那种向往,那种青涩,已经不见了踪影,取而代之的是对分层的感慨。     分层,三层也好,七层也罢,都是将页面显示、业务逻辑控制、数据访问进行解耦。
854 0
|
8天前
|
存储 关系型数据库 分布式数据库
PostgreSQL 18 发布,快来 PolarDB 尝鲜!
PostgreSQL 18 发布,PolarDB for PostgreSQL 全面兼容。新版本支持异步I/O、UUIDv7、虚拟生成列、逻辑复制增强及OAuth认证,显著提升性能与安全。PolarDB-PG 18 支持存算分离架构,融合海量弹性存储与极致计算性能,搭配丰富插件生态,为企业提供高效、稳定、灵活的云数据库解决方案,助力企业数字化转型如虎添翼!
|
7天前
|
存储 人工智能 Java
AI 超级智能体全栈项目阶段二:Prompt 优化技巧与学术分析 AI 应用开发实现上下文联系多轮对话
本文讲解 Prompt 基本概念与 10 个优化技巧,结合学术分析 AI 应用的需求分析、设计方案,介绍 Spring AI 中 ChatClient 及 Advisors 的使用。
344 130
AI 超级智能体全栈项目阶段二:Prompt 优化技巧与学术分析 AI 应用开发实现上下文联系多轮对话
|
19天前
|
弹性计算 关系型数据库 微服务
基于 Docker 与 Kubernetes(K3s)的微服务:阿里云生产环境扩容实践
在微服务架构中,如何实现“稳定扩容”与“成本可控”是企业面临的核心挑战。本文结合 Python FastAPI 微服务实战,详解如何基于阿里云基础设施,利用 Docker 封装服务、K3s 实现容器编排,构建生产级微服务架构。内容涵盖容器构建、集群部署、自动扩缩容、可观测性等关键环节,适配阿里云资源特性与服务生态,助力企业打造低成本、高可靠、易扩展的微服务解决方案。
1331 8