黎曼积分求解可微曲线的弧线长度
假设曲线y=f(x)在区间[a,b]内光滑、可微且连续。那么可以根据微积分求解y=f(x)在a<= x <=b区间内形成的弧线长度。
如图:

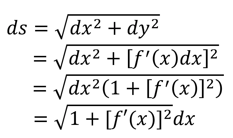
从微分的思想入手建立数学函数式,假设s为曲线上(x,f(x))到(x+dx,f(x+dx))两点连线。这两点在水平方向的长度为dx,在垂直方向的y坐标轴长度为dy,根据直角三角形的勾股定理可知:

其中,由f’(x)=dy/dx,得到dy =f’(x) dx
从而:
即ds的长度公式最终求得为:
弧线长度是由无穷多个ds连接起来形成,这是一个积分问题。根据积分可知[a,b]的弧线长度为:

验证一个简单的二次曲线方程y=x2在[0,1]的长度:
syms x y f;
y=x.^2;
line=ezplot(y,[0,1]);
set(line,'Color','r','LineWidth',0.5);
grid on;
hold on;
f=diff(y)
F=sqrt(1+f.^2)
S=int(F,[0,1])
f =
2*x
F =
(4*x^2 + 1)^(1/2)
S =
log(5^(1/2) + 2)/4 + 5^(1/2)/2
图:
长度为:S = log(5^(1/2) + 2)/4 + 5^(1/2)/2