以小胜大!千问Qwen3.5重磅发布,每百万Token仅0.8元

简介: 阿里巴巴开源全新一代千问Qwen3.5-Plus,全球最强开源大模型:3970亿参数、仅激活170亿,原生多模态,支持图文视频理解与视觉编程;推理吞吐量最高提升19倍,API价格低至0.8元/百万Token。

刚刚,阿里巴巴开源全新一代大模型千问Qwen3.5-Plus,登顶全球最强开源模型。

该模型总参数为3970亿,激活仅170亿,以小胜大,性能超过万亿参数的Qwen3-Max模型,部署显存占用降低60%,推理效率大幅提升,最大推理吞吐量可提升至19倍。

目前,千问APP、PC端已接入Qwen3.5-Plus模型。开发者可在魔搭社区和HuggingFace下载新模型,同时可在阿里云百炼直接获取API服务(文末点击阅读原文可直接跳转)。Qwen3.5-Plus的API价格每百万Token低至0.8元。

原生多模态模型模型性能全方位提升

与前几代的千问大语言模型不同,千问3.5实现了从纯文本模型到原生多模态模型的代际跃迁。

千问3预训练在纯文本Tokens上进行,而千问3.5则基于视觉和文本混合token上预训练,并大幅新增中英文、多语言、STEM和推理等数据,让张开“眼睛”的大模型学会了更密集的世界知识和推理逻辑,以不到40%的参数量获得超万亿的Qwen3-Max基座模型的顶尖性能,在推理、编程、Agent智能体等全方位基准评估中均表现优异。

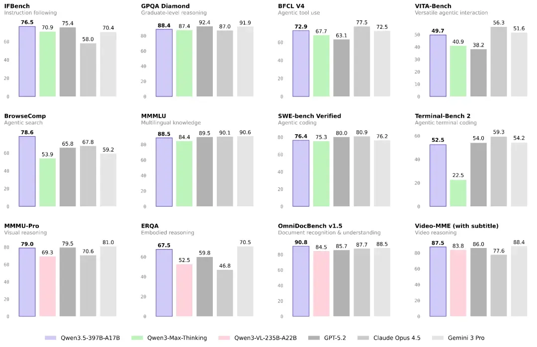
比如,千问3.5在MMLU-Pro认知能力评测中得分87.8分,超越GPT-5.2;在博士级难题GPQA测评中斩获88.4分,高于Claude 4.5;在指令遵循IFBench以76.5分刷新所有模型纪录;而在通用Agent评测BFCL-V4、搜索Agent评测Browsecomp等基准中,千问3.5表现均超越Gemini 3 Pro。

原生多模态训练,也带来千问3.5的视觉能力飞跃:在多模态推理(MathVison)、通用视觉问答VQA(RealWorldQA)、文本识别和文件理解(CC_OCR)、空间智能(RefCOCO-avg)、视频理解(MLVU)等众多权威评测中,千问3.5均斩获最佳性能。

在学科解题、任务规划与物理空间推理等任务上,千问3.5相比千问专项模型Qwen3-VL表现更好,空间定位推理和带图推理能力均大幅增强,推理分析更精细、精准;在视频理解方面,千问3.5支持长达2小时(1M token上下文)的视频直接输入,适用于长视频内容分析与摘要生成;同时,千问3.5实现了视觉理解与代码能力的原生融合,结合图搜和生图工具,可将手绘界面草图直接转为可用的前端代码,一张截图就能定位并修复UI问题,让视觉编程真正成为生产力工具。

创新门控技术小参数实现极致性能

千问3.5性能跃升的背后,是对Transformer经典架构的重大创新突破。千问团队自研的门控技术成果,曾斩获全球AI顶会2025 NeurIPS最佳论文,该前沿技术已融入到千问3.5创新的混合架构中去,团队结合线性注意力机制与稀疏混合专家MoE模型架构,实现了397B总参数激活仅17B的极致模型效率;同时,千问3.5通过训练稳定优化以及多 token 预测等系列技术,Qwen3.5性能与Qwen3-Max模型持平,并进一步提升了推理效率:在常用的32K上下文场景中,千问3.5推理吞吐量可提升8.6倍;在256K超长上下文情况下,Qwen3.5推理吞吐量最大提升至19倍,推理效率大幅提升。

千问3.5推理效率大幅提升

最大吞吐量提升至19倍

千问3.5的原生多模态训练,是在阿里云AI基础设施上高效完成的。通过系列基础技术创新,千问3.5在文本、图像、视频等混合数据训练吞吐量,几近100%持平纯文本基座模型训练,大举降低了原生多模态训练的难度门槛;同时,通过设计精巧的FP8、FP32精度应用策略,在训练稳定扩展到数十万亿个token时,激活内存减少约50% ,训练还能提速10% ,进一步提升了节约了模型训练成本、提升了训练效率。


Agent应用进一步突破智能体支持扩展至百万级

基于顶级视觉能力,千问3.5也实现了从Agent框架到Agent应用的新突破。

千问3.5可自主操作手机与电脑,高效完成日常任务,在移动端支持更多主流APP与指令,在PC端可处理更复杂的多步骤操作,如跨应用数据整理、自动化流程执行等,显著提升操作效率。

同时,千问团队构建了一个可扩展的Agent异步强化学习框架,端到端可加速3到5倍,并将基于插件的智能体Agent支持扩展至百万级规模。

1月15日,千问App发布全球首个消费级AI购物Agent。春节期间,千问AI购物Agent6天时间帮用户完成了1.2亿笔订单,在全球首次实现大规模真实世界任务执行和商业化验证。Agent能力大幅增强的千问3.5,将进一步打开千问APP在工作和生活中帮人办事的想象空间。

自2023年开源以来,阿里已开源400多个千问模型,覆盖全尺寸、全模态,千问全球下载量突破10亿次,单月下载量是DeepSeek、Meta、OpenAI、智谱、Kimi、MiniMax等2到8名总和,开发者基于千问开发的衍生模型超20万,是公认的全球第一开源模型,也是开发者最友好的开源大模型。

面向不同国家的AI开发者和企业的需求,千问大模型还在持续演进:千问3.5扩展支持201种语言,将词表大小从150k扩展到250K,可最高提升小语种60%的编码效率。

此外,不同尺寸、不同功能的千问3.5系列模型也将陆续开源发布。性能更强的旗舰模型Qwen3.5-Max不久后也将发布,敬请期待。

/ END /


来源  |  阿里云公众号

相关文章
|
21天前
|
机器学习/深度学习 人工智能 自然语言处理
以小胜大!千问Qwen3.5重磅发布,每百万Token仅0.8元
阿里巴巴开源全新一代千问Qwen3.5-Plus:全球最强开源大模型,3970亿参数、仅激活170亿,原生多模态,支持图文视频理解与长视频分析;推理吞吐量最高提升19倍,API价格低至0.8元/百万Token。
以小胜大!千问Qwen3.5重磅发布,每百万Token仅0.8元
|
20天前
|
人工智能 API
重磅!阿里云Coding Plan全面上线Qwen3.5、GLM-5、MiniMax M2.5、Kimi K2.5
阿里云Coding Plan上线Qwen3.5、GLM-5、M2.5、K2.5四大顶尖开源模型,支持Qwen Code等工具自由切换。Lite/Pro套餐首月仅7.9元/39.9元,分别享1.8万/9万次请求。Qwen3.5以397B总参、17B激活参数实现高性价比,全面优化编程与Agent能力。
|
20天前
|
运维 API 调度
中国企业级大模型市场,阿里千问占比32%位列第一!
沙利文报告指出,2025年下半年中国企业级大模型日均调用量达37.0万亿tokens,千问(Qwen)占比32.1%,近乎翻倍,稳居第一。企业应用动因转向提效降本,开源意愿显著增强,千问已开源400+模型,下载超10亿次,成全球第一开源大模型。
|
11天前
|
人工智能 安全 Linux
【OpenClaw保姆级图文教程】阿里云/本地部署集成模型Ollama/Qwen3.5/百炼 API 步骤流程及避坑指南
2026年,AI代理工具的部署逻辑已从“单一云端依赖”转向“云端+本地双轨模式”。OpenClaw(曾用名Clawdbot)作为开源AI代理框架,既支持对接阿里云百炼等云端免费API,也能通过Ollama部署本地大模型,完美解决两类核心需求:一是担心云端API泄露核心数据的隐私安全诉求;二是频繁调用导致token消耗过高的成本控制需求。
5601 13
|
18天前
|
机器学习/深度学习 人工智能 监控
阿里除夕开源千问3.5:3970亿参数但只激活170亿,大模型部署成本砍半怎么做到的?
本文探讨 AI 落地深水区的成本与效率难题,解析阿里 Qwen3.5 通过混合注意力、稀疏 MoE 等技术实现性能跃升与降本增效,并对比 Prompt、RAG 与微调的适用场景,指出企业应结合模型特性规划技术路线,借助平台实现 AI 从能用向好用进阶。
1098 4
|
24天前
|
机器学习/深度学习 存储 自然语言处理
蚂蚁集团 Ling-2.5-1T 开源:万亿参数,重新定义"又快又强"
Ling-2.5-1T是蚂蚁集团inclusionAI推出的开源即时大模型(MIT协议),以“效率×效果”为核心:万亿参数、63B激活,首创混合线性注意力架构,支持百万token上下文;推理吞吐大幅提升,AIME任务仅需1/3 token即达前沿思考模型水平。ModelScope可下载。
434 4
蚂蚁集团 Ling-2.5-1T 开源:万亿参数,重新定义"又快又强"
|
20天前
|
存储 监控 API
百炼知识库扣费看不懂?阿里云百炼计费逻辑:规格费 + Token 费一次讲透
阿里云百炼知识库自2026年1月4日起正式计费,采用“规格费+Token费”双轨模式:规格费按标准版(0.03元/库/小时)或旗舰版(0.2元/RCU/小时)计;Token费按向量/排序模型实际调用量计(如0.0005元/千Token)。支持免费额度、资源包与后付费三级抵扣,含成本优化建议。
|
2月前
|
机器学习/深度学习 人工智能 测试技术
重磅!千问最强模型正式发布
阿里正式发布千问旗舰推理模型Qwen3-Max-Thinking:参数超万亿、预训练数据达36T Tokens,规模与能力均为当前最强。采用全新测试时扩展机制,推理更智能、更经济;原生Agent能力大幅增强,可自主调用工具。开发者与用户均可免费体验。
2003 1
重磅!千问最强模型正式发布
|
24天前
|
机器学习/深度学习 自然语言处理 API
Qwen3.5:迈向原生多模态智能体
除夕夜,通义千问发布Qwen3.5-397B-A17B:全球首个原生多模态MoE大模型,总参3970亿、仅激活170亿参数,性能媲美万亿模型;支持201种语言、超强视觉理解与GUI智能体能力,已开源至GitHub与ModelScope。
2298 4
Qwen3.5:迈向原生多模态智能体