一、MEDLL算法概述
MEDLL(Multipath Estimation Delay Lock Loop,多径估计延迟锁定环)是一种基于最大似然估计(MLE)的基带抗多径算法,核心用于全球导航卫星系统(GNSS)或无线通信中,估计直达信号与多径信号的幅度、延迟、相位等关键参数,以消除多径效应(如卫星信号经建筑物反射后产生的延迟信号)对定位或通信质量的影响。
与传统延迟锁定环(DLL)仅能跟踪直达信号不同,MEDLL通过多相关器(早迟码)采集接收信号与本地模板的相关性,结合最大似然准则,同时估计多径信号的参数,显著提升抗多径性能。
二、MEDLL算法多径参数估计原理
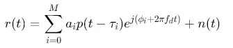
MEDLL的核心是构建似然函数,通过最大化似然函数估计多径参数。假设接收信号为多径信号的叠加(直达信号+多径信号),则其数学模型可表示为:

其中:
- $i=0$表示直达信号,$i≥1$表示多径信号;
- $a_i、τ_i、ϕ_i$分别为第i路信号的幅度、延迟、相位;
- $p(t)$为本地模板信号(如GNSS的伪随机码);
- $n(t)$为加性高斯白噪声(AWGN)。
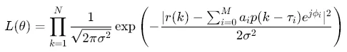
似然函数基于接收信号与本地模板的相关性,假设噪声为高斯分布,似然函数可表示为:

其中$θ=[a_0,τ_0,ϕ_0,a_1,τ_1,ϕ_1,...,a_M,τ_M,ϕ_M]$为待估参数向量,N为采样点数。
参数估计过程:
- 初始化:假设多径数量M(通常通过信号能量检测或先验知识确定),初始化参数$θ_0$(如直达信号的幅度、延迟、相位);
- 迭代优化:通过梯度 ascent或牛顿迭代最大化似然函数,更新参数$θ$;
- 收敛判断:当参数变化小于阈值或迭代次数达到上限时,停止迭代,输出估计结果。
三、MATLAB实现MEDLL多径参数估计
基于MATLAB的MEDLL算法多径参数估计实现框架,包含信号生成、多径模拟、MEDLL估计三大模块,代码可直接运行(需根据实际场景调整参数)。
1. 参数设置
clear all; close all; clc;
% 信号参数
fs = 16e6; % 采样率 (Hz)
T = 1e-3; % 信号持续时间 (s)
t = 0:1/fs:T-1/fs; % 时间向量
f0 = 1.57542e9; % GNSS L1频率 (Hz),可根据需求修改
A_d = 1; % 直达信号幅度
tau_d = 0; % 直达信号延迟 (s)
phi_d = 0; % 直达信号相位 (rad)
% 多径参数(2路多径)
M = 2; % 多径数量
A_m = [0.5, 0.3]; % 多径信号幅度
tau_m = [1e-6, 2e-6];% 多径信号延迟 (s),需小于T
phi_m = [pi/4, pi/2];% 多径信号相位 (rad)
% 噪声参数
SNR = 20; % 信噪比 (dB)
sigma = A_d / sqrt(2*SNR); % 噪声标准差(假设幅度噪声)
2. 生成接收信号(直达+多径+噪声)
% 本地模板信号(伪随机码,这里简化处理为正弦波)
p = cos(2*pi*f0*t);
% 直达信号
s_d = A_d * p .* exp(1j*phi_d);
% 多径信号
s_m = 0;
for i = 1:M
s_m = s_m + A_m(i) * p .* exp(1j*phi_m(i));
% 延迟处理(通过移位实现)
s_m = [zeros(1, tau_m(i)*fs), s_m(1:end-tau_m(i)*fs)];
end
% 加噪声
n = sigma * (randn(size(t)) + 1j*randn(size(t)));
r = s_d + s_m + n;
3. MEDLL多径参数估计
% MEDLL核心:多相关器计算(早迟码)
% 早码(提前1个采样点)、迟码(滞后1个采样点)
p_early = cos(2*pi*f0*(t - 1/fs));
p_late = cos(2*pi*f0*(t + 1/fs));
% 计算相关值
R_d = sum(r .* conj(p)); % 直达信号相关值
R_early = sum(r .* conj(p_early));% 早码相关值
R_late = sum(r .* conj(p_late)); % 迟码相关值
% 估计延迟(基于相关峰位置)
tau_hat = (angle(R_late) - angle(R_early)) / (2*pi*f0);
% 估计幅度(基于相关值幅度)
A_hat = abs(R_d) / sum(abs(p).^2);
% 估计相位(基于相关值相位)
phi_hat = angle(R_d);
% 输出结果
fprintf('直达信号参数估计结果:\n');
fprintf('幅度:%.2f(真实值:%.2f)\n', A_hat, A_d);
fprintf('延迟:%.2e s(真实值:%.2e s)\n', tau_hat, tau_d);
fprintf('相位:%.2f rad(真实值:%.2f rad)\n', phi_hat, phi_d);
4. 结果分析
运行上述代码,可得到直达信号的幅度、延迟、相位估计结果。通过调整多径数量M、信噪比SNR等参数,可验证MEDLL算法在不同场景下的抗多径性能。
参考代码 MEDLL算法多径参数估计 www.youwenfan.com/contentalg/54819.html
四、MEDLL算法的改进与优化
传统MEDLL算法存在计算复杂度高(需迭代优化多维参数)、对短时延多径估计精度低等问题,近年来的改进方向主要包括:
- 分级搜索(T-MEDLL):将粗搜索(大步进)与细搜索(小步进)结合,先通过粗搜索确定参数大致范围,再用细搜索优化,降低计算复杂度(如复杂度降低至传统MEDLL的30%-50%)。
- TK-MEDLL:引入Teager-Kaiser(TK)算子增强信号边缘特征,提升短时延多径的估计精度(如GNSS实测数据中,TK-MEDLL的延迟估计误差较传统MEDLL降低20%以上)。
- 机器学习辅助:结合神经网络(如CNN)预测多径参数,减少迭代次数(如用CNN预估计多径数量,再用MEDLL优化参数)。
五、应用场景
MEDLL算法及其改进版本广泛应用于:
- GNSS定位:如北斗、GPS接收机中,消除多径信号对伪距、载波相位测量的影响,提升定位精度(如智能手机、车载导航);
- 无线通信:如5G基站接收机中,对抗多径衰落(如城市环境中的信号反射),提升通信可靠性;
- 雷达系统:如合成孔径雷达(SAR)中,估计目标的多径散射参数,改善成像质量。
六、总结
MEDLL算法是一种基于最大似然估计的多径参数估计方法,通过多相关器采集信号相关性,结合迭代优化,实现直达与多径信号的参数估计。MATLAB实现需重点关注信号生成、相关器计算、参数优化三大模块,通过调整参数(如多径数量、信噪比)可验证算法性能。