01-认识Activiti

简介: 111

1 什么是工作流

类似如请假、离职、出差、报销这种有审批流程的业务,我们都可以称之为工作流(也叫流程引擎),它可以帮助用户实现一个审批流程的可视化,借助于工作流引擎可以搭建客户关系管理系统(CRM)、运输管理系统(TMS)、仓储管理系统(WMS)、财务费用系统等多种复杂业务系统。其实现基本形如下图:

请假流程示例:

出差流程示例:

为了满足这种复杂的单节点审批、多节点审批[一个人审批通过即可、多人必须同时审批通过]业务场景,我们不能借助于传统关系型数据库实现,更无法简单的借助于状态机就实现,此时工作流引擎应运而生。

工作流引擎从笔者最早的BPMN发展到Activity,再到国内自主研发的FlowAble、NatureFlow等,随着技术的更新换代,也衍生出:泛微金蝶用友等一大批优秀企业。

2 主流技术选型

bpmn:(Business Process Model And Notation),最为传统的工作流典范

activiti:以java为中心的开源BPMN引擎,支持现实世界的流程自动化需求

flowable使用 Java 编写的轻量级业务流程引擎,是activiti核心开发人员离职后二次开发出的框架。

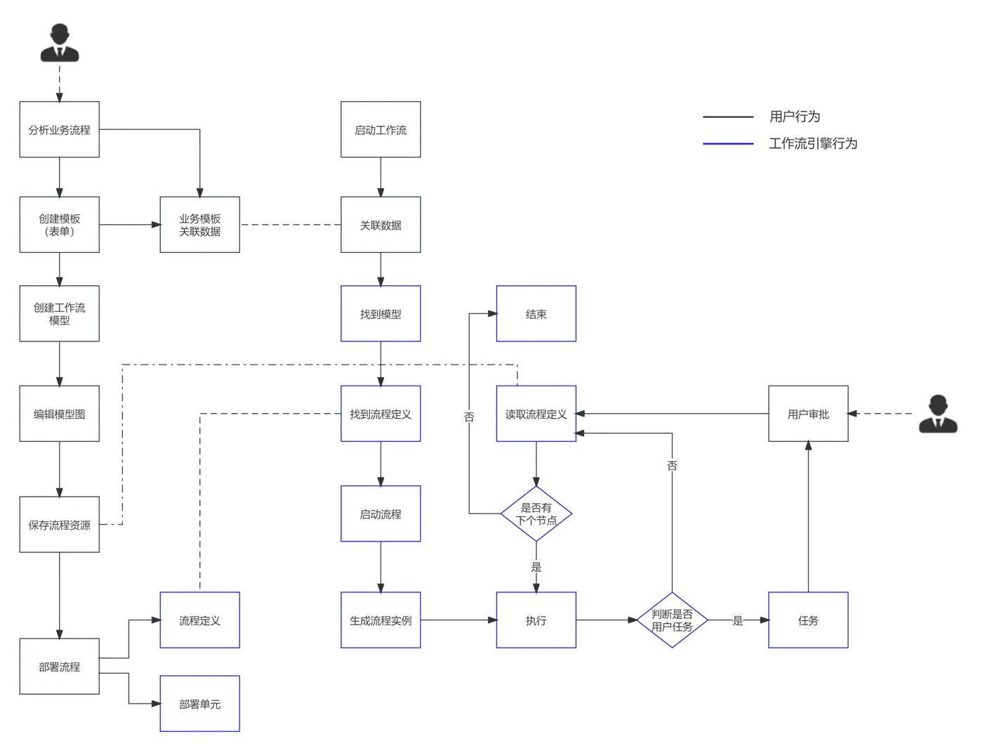
3 Activiti流程概述

相关文章
|
3天前
|
自然语言处理 fastjson Java
|
3天前
|
运维 Devops 开发工具
|
3天前
|
存储 缓存 运维
|
3天前
|
Java 测试技术 Linux
|
3天前
|
敏捷开发 Dubbo Java
|
3天前
|
存储 负载均衡 算法
|
3天前
|
jenkins Java 持续交付
|
3天前
|
Java jenkins 持续交付
|
3天前
|
Java 关系型数据库 BI