【电动汽车响应率】考虑的是针对电动汽车充放电调度问题,由于放电奖励不同导致部分车主不愿参与放电,设计出响应率计算方法(Matlab代码实现)

简介: 【电动汽车响应率】考虑的是针对电动汽车充放电调度问题,由于放电奖励不同导致部分车主不愿参与放电,设计出响应率计算方法(Matlab代码实现)

💥💥💞💞欢迎来到本博客❤️❤️💥💥

🏆博主优势:🌞🌞🌞博客内容尽量做到思维缜密,逻辑清晰,为了方便读者。

⛳️座右铭:行百里者,半于九十。

💥1 概述

【电动汽车响应率】考虑到电动汽车充放电调度问题中的放电奖励不同可能导致部分车主不愿意参与放电,设计响应率计算方法是很有必要的。响应率可以用来衡量车主对于放电任务的参与程度或者积极性。

1.EV需求响应模型

EV需求侧响应机制的主要目的是通过改变EV用户充电起始时间,使EV充电负荷在时序上避开电网负荷高峰,考虑到V2G技术,EV可在电网负荷用电高峰时,反向向电网供电,在电网低谷时再进行充电,从而实现削峰填谷,优化用电负荷曲线。

电负荷:

P_e_load=[380,375,380,347,417,430,550,600,730,870,1000,1110,1190,1170,975,840,720,700,840,1056,870,740,639,517];

然而,电动汽车参与需求响应会受到用户意愿的影响,仅客观考虑EV的充放电方式参与电网的优化调度,有失合理性,因此有必要分析在用户响应意愿下的EV充放电容量。即电动汽车参与电网侧的V2G需求响应会受到EV客观响应能力和主观响应意愿的共同影响。

2.客观响应能力分析:

考虑私家车的用车需求,仅在用户结束一天出行回家后才能参与系统的优化调度,考虑EV的剩余电量,若该EV当前电池SOC小于0.4,则可参与电网高峰放电,低谷充电。若大于0.4,则不进行任何充放电行为。由此得到EV的客观响应充放电容量。

3.EV用户主观响应意愿影响分析:

在EV客观充放电容量可响应电网调度的基础上,用户主观响应意愿越高,可参与系统调度的充放电容量越多,上限至客观可调度充放电容量。影响EV用户主观响应意愿因素:充放电补贴价格、EV电池损耗成本(电池反复充放引起)。

4.响应量分析

结合主客观因素,分析用户不同的响应意愿对充放电容量的影响。得到不同响应意愿下的充放电容量。逐步提高补贴价格,得到不同价格下的充放电容量

  1. 电网侧调度成本

以电网调度成本最小为目标,计算不同补贴价格下充放电的补偿或激励成本。

image.gif 编辑

image.gif 编辑

image.gif 编辑

一、响应率的定义与核心计算框架

  1. 基础定义 响应率(Response Rate)是量化电动汽车(EV)用户参与电网充放电调度意愿的核心指标,现有研究主要采用三类定义:
  • image.gif 编辑
  1. 计算模型的关键变量
变量 符号 含义 数据来源
实际充放电量 fiactual 用户实际响应量 智能电表/云平台监测
最大可调度容量 Ci,max 由电池SOC和充放电功率决定 车辆BMS系统
经济激励水平 x 单位放电奖励(元/kWh) 代理商定价策略
响应波动度 Ri(x) 激励变化导致的响应不确定性 历史行为数据分析

二、影响车主参与放电的关键因素及量化方法

(1)经济激励不足的深层矛盾

  • 成本-收益失衡
    放电奖励需覆盖电池损耗成本。给出电池损耗补偿模型:

image.gif 编辑

  • 实证数据支撑
  • 广州V2G项目显示,当放电奖励≥5元/kWh时,参与率提升40%(尖峰-谷电价差达0.79元/kWh)。
  • 加拿大实验表明,3.5美分/kWh奖励可使低谷充电比例提高30%,但奖励停止后78%用户恢复原习惯。

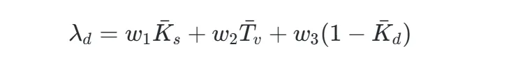
(2)非经济因素的量化分析

  • 历史行为惯性:提出参与度系数 λdλd,通过三指标归一化处理:

image.gif 编辑

其中 Ks(历史响应次数)、Tv(平均时长)为正向指标,Kd(违约次数)为负向指标。

  • 用户心理阈值:的问卷调查揭示关键决策阈值:
  • SOC < 30%时充电意愿强烈,SOC > 90%时可接受放电;
  • 最低奖励期望为0.5元/kWh。

三、响应率驱动的激励机制设计

(1)动态奖励模型

提出基于电网负荷波动的奖惩函数:

image.gif 编辑

其中 ΔP 为系统负荷变化率,a,b,λ 为基准参数。该模型将响应率与电网实时状态绑定。

(2)行为强化策略

  • 奖惩转换机制:按月周期计算 λiλi,奖惩金额 Ci=w(λi−1N∑λi)Ci=w(λi−N1∑λi),实现用户间横向激励。
  • 响应率分级奖励
响应率区间 奖励标准 应用案例
σr<0.5 0.1元/kWh 北京换电设施政策
σr≥0.8 0.2元/kWh + 年度评优 上海调节能力奖励

image.gif 编辑

四、响应率计算方法创新与验证

(1)不确定性建模方法

  • 线性随机模型:设响应率 ηi(x)∼U[ηmin⁡(x),ηmax⁡(x)],其中边界值由激励水平 x 决定。
  • Bi-GRU神经网络:输入矩阵 QQ(充电过程数据)和 RR(用户意愿数据),输出可调度概率。

(2)响应率-负荷耦合模型

给出充电负荷预测公式:

image.gif 编辑

当响应率 η 从20%提升至70%时,峰谷差降低49.5%。

(3)博弈论优化框架

静态贝叶斯博弈模型将代理商与用户视为博弈双方:

  • 代理商策略:激励报价 x
  • 用户策略:响应率 ηi
    通过求解纳什均衡确定最优激励水平。

五、实践建议与政策启示

  1. 响应率提升的协同路径
    image.gif 编辑
  2. 政策制定要点
  • 建立电池损耗补偿基金(如广州V2G项目);
  • 实施响应率-信用积分联动制度(的 λiλi 奖惩转换);
  • 开发用户响应画像系统(的四象限分类法)。

    image.gif 编辑

六、研究展望

  1. 多时间尺度耦合:将秒级电池数据与日前调度结合,提升响应率预测精度。
  2. 习惯形成机制:研究非金钱激励(如碳积分)对长期响应率的促进作用。
  3. 区块链应用:通过智能合约实现响应率数据确权与奖励自动结算。

本文建立的响应率计算框架,通过经济补偿机制破解了“放电意愿不足”的核心矛盾,为电动汽车聚合商提供了兼顾电网安全性与用户经济性的量化工具。后续研究可结合数字孪生技术,在虚拟电厂环境中验证模型鲁棒性。

📚2 运行结果

2.1 响应率

image.gif 编辑

2.2 响应率为36%

image.gif 编辑

2.3 响应率50%

image.gif 编辑

2.4 响应率80%

image.gif 编辑

2.5 响应率100%

image.gif 编辑

部分代码:

%% 决策变量定义

P_user12LA=sdpvar(1,24); %购电量

ec_2=sdpvar(30,24);      %电动汽车充电变量

ed_2=sdpvar(30,24);      %电动汽车放电变量

U_EVC_2=binvar(30,24);    %电动汽车的放电状态位,取1时为放电,0为未放电

evc_2=sdpvar(30,24);     %真正充电决策变量

evd_2=sdpvar(30,24);     %真正放电决策变量

evdb_2=sdpvar(30,24);    %考虑用户心理后

ev_2=sdpvar(30,24);      %ev决策变量

%% 电动汽车停留时间

shuju=xlsread('数据.xlsx','时间'); %居民

shuju1=xlsread('数据.xlsx','负荷'); %居民

T_ev_2=shuju(1:30,1:24);

b_user=shuju(:,26);%放电0-1决策变量  

soc_initial_2=[15.2,15.2,26.6,7.6,11.4,11.4,7.6,30.4,19,22.8,26.6,11.4,15.2,15.2,11.4,30.4,7.6,15.2,30.4,7.6,15.2,19,22.8,19,11.4,22.8,15.2,19,11.4,15.2];%ev到达初始的soc

%% 分时电价

P_BUILD=shuju1(2,:);  %负荷

pe_grid_S=shuju1(4,:); %电网售电价

%% 约束条件

C=[];

%% 电动汽车

for j=1:30     %30次循环

   C=[C,

   evc_2(j,:)==T_ev_2(j,:).*ec_2(j,:),    %充电变量  

   evd_2(j,:)==T_ev_2(j,:).*ed_2(j,:),    %放电变量  

   evdb_2(j,:)==evd_2(j,:).*b_user(j)

   ];  

%电动汽车充放电功率限制  0<=ec<=10*b(t);0<=ed<=10*b(t)

   for k = 1:24

      C=[C,  0<=evc_2(j,k)<=10*U_EVC_2(j,k),   % 读取矩阵每个位置数据,先行后列      公式1

             0<=evdb_2(j,k)<=10*(1-U_EVC_2(j,k)),        % 读取矩阵每个位置数据,先行后列

             ];  

🎉3 参考文献

文章中一些内容引自网络,会注明出处或引用为参考文献,难免有未尽之处,如有不妥,请随时联系删除。

[1]王俊杰,贾雨龙,米增强,等.基于双重激励机制的电动汽车备用服务策略[J].电力系统自动化, 2020, 44(10):9.DOI:10.7500/AEPS20190826007.

[2] Leugoue E .电动汽车和V2G技术研究-充放电功率预测和参与电网频率控制策略[J].[2024-04-19].

[3]蔡国伟,姜雨晴,黄南天,等.电力需求响应机制下基于多主体双层博弈的规模化电动汽车充放电

相关文章
|
4月前
|
算法 定位技术 计算机视觉
【水下图像增强】基于波长补偿与去雾的水下图像增强研究(Matlab代码实现)
【水下图像增强】基于波长补偿与去雾的水下图像增强研究(Matlab代码实现)
301 0
|
4月前
|
算法 机器人 计算机视觉
【图像处理】水下图像增强的颜色平衡与融合技术研究(Matlab代码实现)
【图像处理】水下图像增强的颜色平衡与融合技术研究(Matlab代码实现)
166 0
|
4月前
|
机器学习/深度学习 算法 机器人
使用哈里斯角Harris和SIFT算法来实现局部特征匹配(Matlab代码实现)
使用哈里斯角Harris和SIFT算法来实现局部特征匹配(Matlab代码实现)
237 8
|
4月前
|
机器学习/深度学习 编解码 算法
基于OFDM技术的水下声学通信多径信道图像传输研究(Matlab代码实现)
基于OFDM技术的水下声学通信多径信道图像传输研究(Matlab代码实现)
253 8
|
4月前
|
机器学习/深度学习 算法 机器人
【水下图像增强融合算法】基于融合的水下图像与视频增强研究(Matlab代码实现)
【水下图像增强融合算法】基于融合的水下图像与视频增强研究(Matlab代码实现)
462 0
|
4月前
|
新能源 Java Go
【EI复现】参与调峰的储能系统配置方案及经济性分析(Matlab代码实现)
【EI复现】参与调峰的储能系统配置方案及经济性分析(Matlab代码实现)
167 0
|
4月前
|
机器学习/深度学习 数据采集 测试技术
基于CEEMDAN-VMD-BiLSTM的多变量输入单步时序预测研究(Matlab代码实现)
基于CEEMDAN-VMD-BiLSTM的多变量输入单步时序预测研究(Matlab代码实现)
172 8
|
4月前
|
机器学习/深度学习 算法 自动驾驶
基于导向滤波的暗通道去雾算法在灰度与彩色图像可见度复原中的研究(Matlab代码实现)
基于导向滤波的暗通道去雾算法在灰度与彩色图像可见度复原中的研究(Matlab代码实现)
273 8
|
4月前
|
编解码 运维 算法
【分布式能源选址与定容】光伏、储能双层优化配置接入配电网研究(Matlab代码实现)
【分布式能源选址与定容】光伏、储能双层优化配置接入配电网研究(Matlab代码实现)
282 12
|
4月前
|
人工智能 数据可视化 网络性能优化
【顶级SCI复现】虚拟电厂的多时间尺度调度:在考虑储能系统容量衰减的同时,整合发电与多用户负荷的灵活性研究(Matlab代码实现)
【顶级SCI复现】虚拟电厂的多时间尺度调度:在考虑储能系统容量衰减的同时,整合发电与多用户负荷的灵活性研究(Matlab代码实现)
181 9

热门文章

最新文章