R语言马尔可夫链(MARKOV CHAIN, MC)模拟赌徒破产模型GAMBLER’S RUIN PROBLEM可视化

简介: R语言马尔可夫链(MARKOV CHAIN, MC)模拟赌徒破产模型GAMBLER’S RUIN PROBLEM可视化

原文链接:http://tecdat.cn/?p=26124 

赌徒的破产问题是指玩家有获胜的概率p和失败的概率q。例如,让我们来看看一个技能游戏,玩家X可以通过接近目标,以0.6的概率击败玩家Y。游戏开始时,玩家X被分配到5分,玩家Y被分配到10分。每轮游戏后,玩家的积分要么减少一个,要么增加一个,我们可以确定玩家X将赢过玩家Y的概率。这类问题的应用范围很广。

image.png

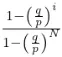
这实际上是一个相当简单的问题,可以用纸笔解决,并确定一个确切的概率。不需要太多细节,我们可以通过 image.png 来确定破产的概率.这个例子中结果是 image.png .


但这是一个相对枯燥的方法,编写一个R脚本会让一切变得更好。因此,这里是对同一问题的模拟,估计了同样的概率,而且还提供了关于这个游戏要玩多少次的分布的额外信息。

genin = function(n, xnt, y.t, x.p){
x.rnd = rbinom(n, 1, p=x.p)
x.u.m = cumsum(x.n)+x.cnt
rusim = replicate(nres, ge.(n=1000, xcn=5, .nt=10, xp=.6))
hist
x.anniln = apply(ri.sim==15, 2, which.max)
plot(mansate)

image.png

相关文章
|
数据可视化 数据挖掘 图形学
R语言基础可视化:使用ggplot2构建精美图形的探索
【8月更文挑战第29天】 `ggplot2`是R语言中一个非常强大的图形构建工具,它基于图形语法提供了一种灵活且直观的方式来创建各种统计图形。通过掌握`ggplot2`的基本用法和美化技巧,你可以轻松地将复杂的数据转化为直观易懂的图形,从而更好地理解和展示你的数据分析结果。希望本文能够为你探索`ggplot2`的世界提供一些帮助和启发。
|
数据可视化 数据挖掘 数据处理
R语言高级可视化技巧:使用Plotly与Shiny制作互动图表
【8月更文挑战第30天】通过使用`plotly`和`shiny`,我们可以轻松地创建高度互动的数据可视化图表。这不仅增强了图表的表现力,还提高了用户与数据的交互性,使得数据探索变得更加直观和高效。本文仅介绍了基本的使用方法,`plotly`和`shiny`还提供了更多高级功能和自定义选项,等待你去探索和发现。希望这篇文章能帮助你掌握使用`plotly`和`shiny`制作互动图表的技巧,并在你的数据分析和可视化工作中发挥更大的作用。
【R语言实战】——带有高斯新息的金融时序的GARCH模型拟合预测及VAR/ES风险度量
【R语言实战】——带有高斯新息的金融时序的GARCH模型拟合预测及VAR/ES风险度量
|
数据可视化 数据挖掘 API
【R语言实战】聚类分析及可视化
【R语言实战】聚类分析及可视化
【R语言实战】——带有新息为标准学生t分布的金融时序的GARCH模型拟合预测
【R语言实战】——带有新息为标准学生t分布的金融时序的GARCH模型拟合预测
|
机器学习/深度学习 算法 前端开发
R语言基础机器学习模型:深入探索决策树与随机森林
【9月更文挑战第2天】决策树和随机森林作为R语言中基础且强大的机器学习模型,各有其独特的优势和适用范围。了解并熟练掌握这两种模型,对于数据科学家和机器学习爱好者来说,无疑是一个重要的里程碑。希望本文能够帮助您更好地理解这两种模型,并在实际项目中灵活应用。
|
数据可视化
R语言可视化设计原则:打造吸引力十足的数据可视化
【8月更文挑战第30天】R语言可视化设计是一个综合性的过程,需要综合运用多个设计原则来创作出吸引力十足的作品。通过明确目标、选择合适的图表类型、合理运用色彩与视觉层次、明确标注与引导视线以及引入互动性与动态效果等原则的应用,你可以显著提升你的数据可视化作品的吸引力和实用性。希望本文能为你提供一些有益的启示和帮助。
|
资源调度 数据挖掘
R语言回归分析:线性回归模型的构建与评估
【8月更文挑战第31天】线性回归模型是统计分析中一种重要且实用的工具,能够帮助我们理解和预测自变量与因变量之间的线性关系。在R语言中,我们可以轻松地构建和评估线性回归模型,从而对数据背后的关系进行深入的探索和分析。
1066 1
|
数据采集 数据可视化
利用R语言进行因子分析实战(数据+代码+可视化+详细分析)
利用R语言进行因子分析实战(数据+代码+可视化+详细分析)
|
Web App开发 数据可视化 数据挖掘
利用R语言进行聚类分析实战(数据+代码+可视化+详细分析)
利用R语言进行聚类分析实战(数据+代码+可视化+详细分析)