社区每周丨新增订阅消息模板查询与领取接口及社区活动获奖名单公布

简介: 社区每周丨新增订阅消息模板查询与领取接口及社区活动获奖名单公布

API能力:新增订阅消息模板查询与领取接口

  1. 开发者可先调用 alipay.open.mini.message.templatelib.batchquery(消息母版批量查询接口)查询该小程序可领取的订阅模板。可调用 alipay.open.mini.message.template.batchquery(消息子板批量查询接口)查询该 APPID 下所有已经领取过的订阅模板。
  2. 根据订阅模板查询结果,通过 alipay.open.mini.message.template.apply(消息模板申领接口)领取相应的订阅模板。

IoT文档:SDK接入新增Windows系统接入内容

SDK接入是一种轻量级的接入模式,通过集成蚂蚁 IoT-SDK 以及 ABCP-SDK,使设备具备调用开放业务组件的能力,适用于需要调用蚂蚁官方业务组件的生态入驻设备。

新增:开发者入驻-创建产品-SDK接入-发布产品全链路文档描述,帮助提高接入效率。查看详情

江海计划丨开发者社区征文活动获奖名单公布(2023第一期)

开发者社区征文活动【江海计划】开展以来,众多开发者积极参与活动,为社区提供了优质的内容,根据活动规则评选出以上获奖名单;第二期江海计划即将发布,本期奖品将在公示期结束之后统一发出。

2月 社区问答官 获奖名单公布

社区问答官奖励准则发布以来,越来越多同学参与到社区互助中,2月获奖名单见上图,奖品将陆续发放,敬请期待;

社区精品文章推荐

小程序性能优化经验分享》月活千万级小程序调优案例——作者 人人租-陈桦沐

支付宝人人租小程序月活数据达千万量级,本篇文章以实际案例从总包优化、业务优化等讲述了人人租小程序启动耗时调优经验,欢迎阅读原文一起讨论小程序开发经验。


问题:在服务端SDK PHP Easy版文档中添加异步通知demo。问题详情

处理进度:经评估,该建议是接口不同的业务demo,添加后可能会导致文档冗余,暂不支持;

支付宝开放平台

2023.03.06

目录
相关文章
|
10月前
|
API 开发工具 Android开发
【01】完整开发即构美颜sdk的uni官方uts插件—让所有开发者可以直接使用即构美颜sdk的能力-优雅草卓伊凡
【01】完整开发即构美颜sdk的uni官方uts插件—让所有开发者可以直接使用即构美颜sdk的能力-优雅草卓伊凡
385 23
【01】完整开发即构美颜sdk的uni官方uts插件—让所有开发者可以直接使用即构美颜sdk的能力-优雅草卓伊凡
|
开发工具 git
Git -- 代码上传错误 error: failed to push some refs to ‘git@gitee.com:JMFive/uni-shop2.git‘
Git -- 代码上传错误 error: failed to push some refs to ‘git@gitee.com:JMFive/uni-shop2.git‘
|
存储 网络协议 Linux
Linux 多种方式实现文件共享(四)iSCSI 磁盘共享服务 7
【8月更文挑战第7天】iSCSI技术是一种新储存技术, iSCSI 提供了在 IP 网络封装 SCSI 命令,且以TCP/IP协议传输.
373 5
STM32CubeMX mpu6050驱动
STM32CubeMX mpu6050驱动
251 10
|
C# 开发者 UED
WPF开发者必备秘籍:深度解析文件对话框使用技巧,打开与保存文件原来如此简单!
【8月更文挑战第31天】在WPF应用开发中,文件操作是常见需求。本文详细介绍了如何利用`Microsoft.Win32`命名空间下的`OpenFileDialog`和`SaveFileDialog`类来正确实现文件打开与保存功能。通过示例代码展示了如何设置文件过滤器、初始目录等属性,并使用对话框进行文件读写操作。正确使用文件对话框能显著提升用户体验,使应用更友好易用。
526 0
|
弹性计算 网络协议 网络安全
阿里云服务器开通1723端口教程配置安全组规则
阿里云服务器安装PPTP需要1723端口,阿里云服务器默认没有开通1723端口,可以在云服务器安全组中开放1723端口
1276 0
阿里云服务器开通1723端口教程配置安全组规则
|
jenkins Java 程序员
jenkins自动部署maven项目
jenkins自动部署maven项目
638 0
jenkins自动部署maven项目
|
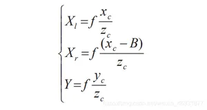
传感器 存储 算法
双目视觉测距系统软硬件设计
双目视觉测距系统软硬件设计
673 0
双目视觉测距系统软硬件设计
|
人工智能 程序员 开发者
《深入浅出DPDK》—第2章2.5节Cache预取
以上章节讲到了多种和Cache相关的技术,但是事实上,Cache对于绝大多数程序员来说都是透明不可见的。程序员在编写程序时不需要关心是否有Cache的存在,有几级Cache,每级Cache的大小是多少;不需要关心Cache采取何种策略将指令和数据从内存中加载到Cache中;也不需要关心Cache何时将处理完毕的数据写回到内存中。
5057 0
动态添加和删除Datanode的方法
动态添加和删除Datanode的方法
639 0
动态添加和删除Datanode的方法