各位CSDN的uu们你们好呀,今天我们的内容依然是关于连续函数的概念和性质及相关内容,之前的博客我们学习到了函数的连续性和函数的间断点,那今天,我们便来看看闭区间上连续函数的性质,好的,接下来就让我们进入高等数学的世界吧
一、有界性与最大值最小值定理
二、零点定理与介值定理
三、函数与极限习题课
(一)理解极限的定义
(二)掌握数列极限、函数极限的性质
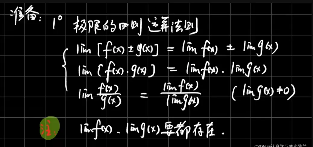
(三)求极限的若干方法
1.有理函数的极限
2.有界函数*无穷小=无穷小
3.利用左、右极限相等
4.极限存在的准则
5.利用两个重要极限
6.利用等价无穷小代换(重要方法)
7.利用初等变形
8.利用数列极限与函数极限的关系
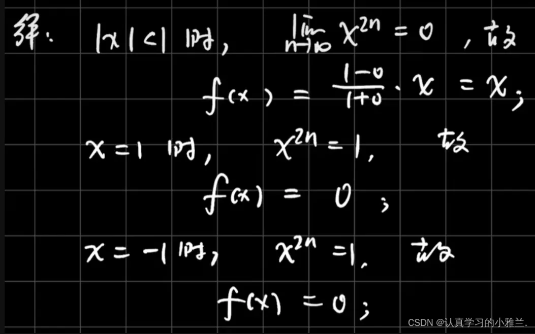
(四)无穷小阶数的比较
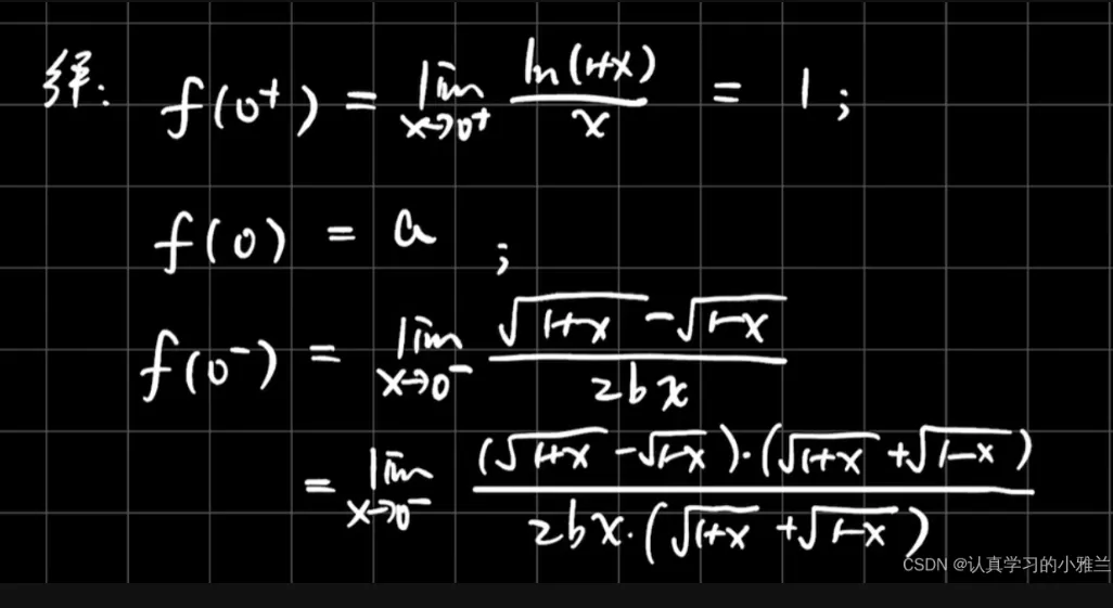
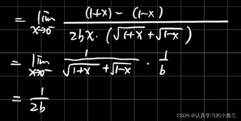
(五)间断点与连续性
(六)闭区间上连续函数的性质
(七)例题
一、有界性与最大值最小值定理
这个定理我们就不证明了,因为证明此定理需要用到非常复杂的实数理论
对于这两个函数,在其定义域内都是既没有最大值,也没有最小值
二、零点定理与介值定理
其实,这个零点定理我们在高中应该就已经学过了,我们来复习一下,究竟什么是零点呢?
可见,零点并不是一个点,而是一个数
同样,这个定理我们也不证明了,因为比较复杂,但是,从几何上是很好理解的
这是函数图像与x轴只有一个交点的情况
这是函数图像与x轴有多个交点的情况
在此定理的基础上,我们很容易推出我们接下来要介绍的一个定理,那就是——介值定理
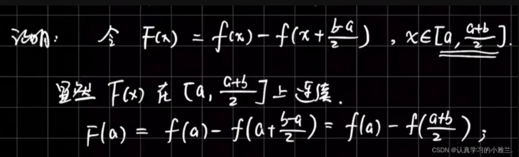
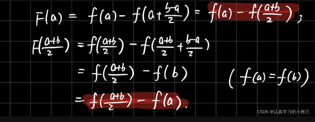
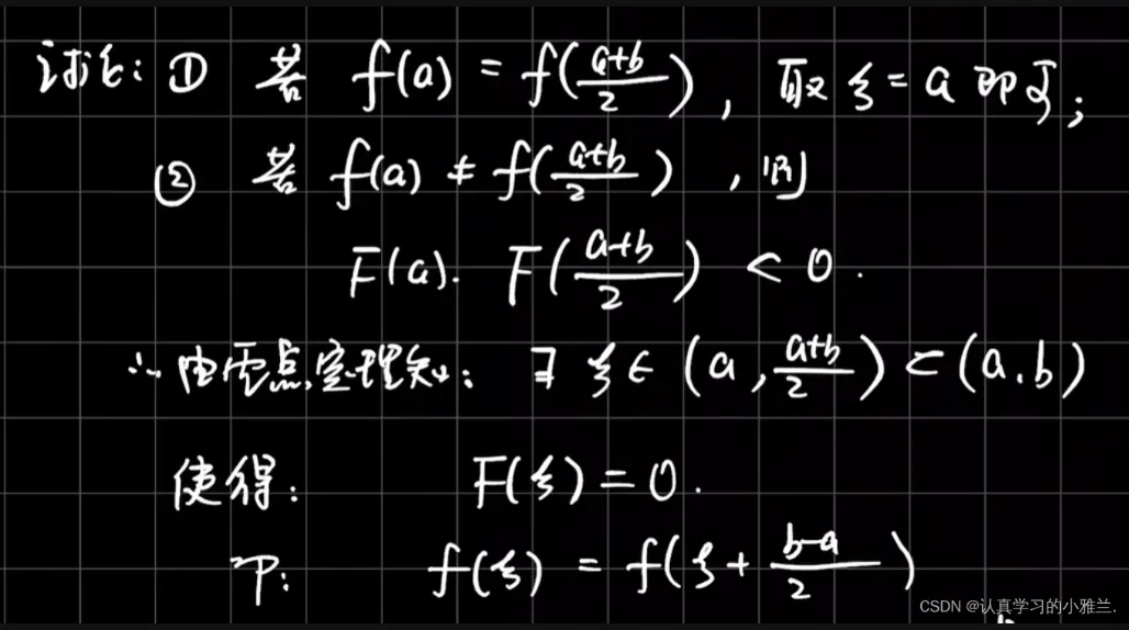
下面,来证明一下这个介值定理
然后,我们又得出了一个推论
下面,让我们来看几个例题
首先,从结论出发,构造函数
三、函数与极限习题课
1.理解极限的定义
2.掌握数列极限、函数极限的性质
3.求极限的若干方法
这个注意事项里面,为什么要把它划为一个问号呢?因为,在有的时候,它是成立的,而有的时候,它又是不成立的。
4.无穷小阶数的比较
5.间断点与连续性
6.闭区间上连续函数的性质
例题
所以第一个论断不正确
第二个论断也是不正确的,只能说明局部有界
所以第三个论断也是不对的
所以第四个论断也是不正确的
故,此题目正确答案选D
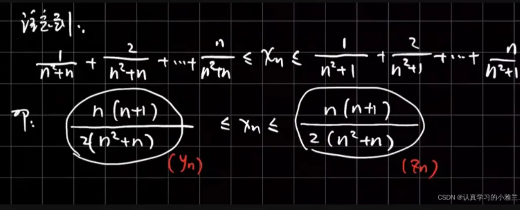
连加式
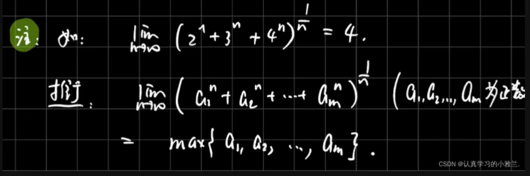
我们可以把这个结论推广一下
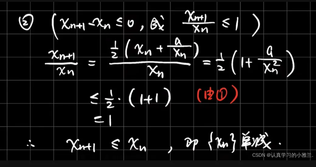
考察单调有界原理的知识点
因为这是一个正数列
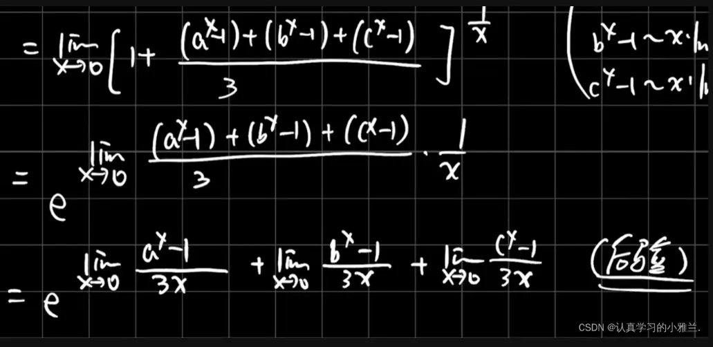
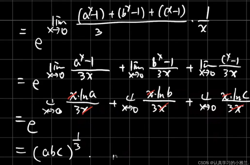
有人可能会想:不是必须要求这三个极限存在才可以拆开吗?那不知道极限到底存不存在就把它拆开,这样做对吗?那么,这就是我们提及的后验问题啦,先拆开后,再看极限是否存在,如果不存在就返回反式,再来考虑别的方法,如果存在就最好不过了,继续往下做。这是一种常识。
考察无穷小比阶
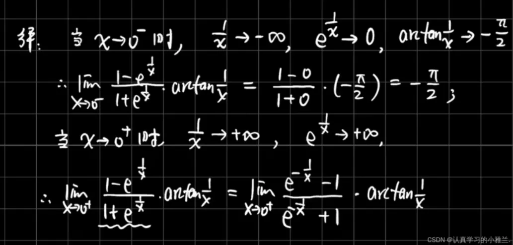
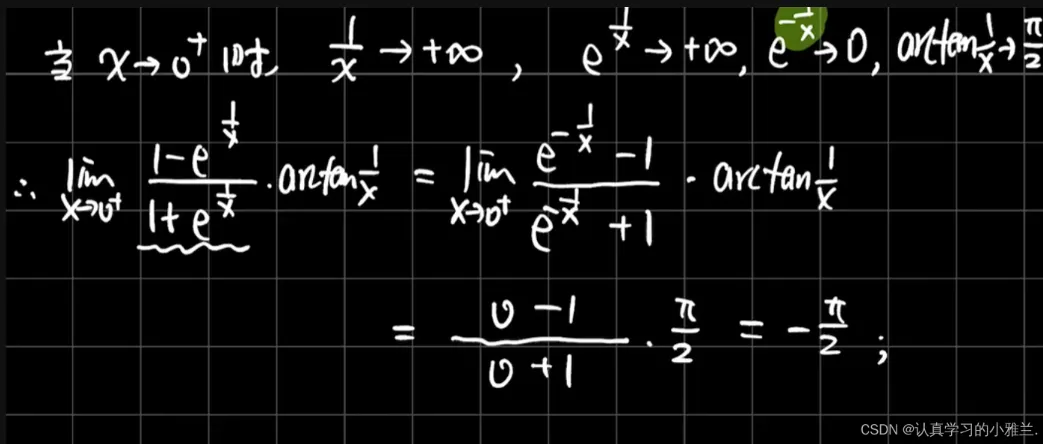
采用倒代换
采用的是分子有理化的方法
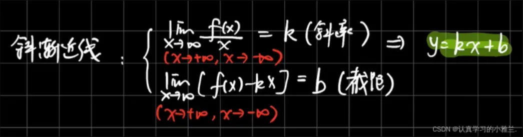
此函数没有水平渐近线
好啦,我们的函数与极限的总复习就到这里结束啦


























































































































