本节书摘来自华章计算机《计算机视觉:模型、学习和推理》一书中的第3章,第3.4节,作者:(英)普林斯(Prince,J. D.)著, 更多章节内容可以访问云栖社区“华章计算机”公众号查看。
3.4 狄利克雷分布
狄利克雷分布(见图3-4)定义在K个连续值λ1,…,λK上,其中λk∈[0,1],∑Kk=1λk=1。因此狄利克雷分布适合于定义分类分布中参数的分布。
图3-4 根据λ1,λ2,…,λK值定义的一个K维的狄利克雷分布,其中∑kλk=1,λk∈[0,1],k∈{1,…,K}。a) 当K=3时,它在平面∑kλk=1上相当于一个三角区域。在K维空间中,狄利克雷分布由K个正参数α1…K定义。参数的比值决定分布的期望值。绝对值则决定集中程度:当参数值大的时候分布高度集中在期望值附近,反之比较分散。b~e) 参数比值相等,绝对值增大。
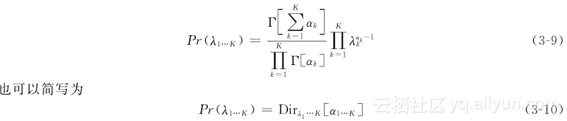
f~i) 参数比值满足α3>α2>α1,绝对值增大在K维空间中,狄利克雷分布有K个参数α1,…,αK,每个参数都取正值,参数的相对值决定期望值E[λ1],…,E[λk]。参数的绝对值决定期望值两侧的集中程度。可以写成:
正如伯克利分布是仅有两个输出结果的特殊分类分布一样,贝塔分布是一个二维的特殊狄利克雷分布。