一、概念、模板
存图方式:
1.邻接矩阵
适用边数较多的稠密图(边数量 m ≈ 点数量 n^2^ )
// 邻接矩阵数组:w[a][b] = c 代表从 a 到 b 有权重为 c 的边
int[][] w = new int[N][N];
// 加边操作
void add(int a, int b, int c) {
w[a][b] = c;
}
2.邻接表
使用边数较少的稀疏图(边数量 m ≈ 点数量 n)【这种存图方式又称:链式前向星存图】
int[] head = new int[N]; // 某节点对应的边
int[] edge = new int[M]; // 某条边指向的节点
int[] nextEdge = new int[M]; // 寻找下一条边
int[] weight = new int[M]; // 边的权重
int idx; // 对边进行编号
void add(int a, int b, int c) {
edge[idx] = b;
nextEdge[idx] = head[a];
head[a] = idx;
weight[idx] = c;
idx++;
}
遍历所有由 a 点发出的边:
for (int i = head[a]; i != -1; i = nextEdge[i]) {
int b = edge[i], c = weight[i]; // 存在由 a 指向 b 的边,权重为 c
}
3.类
【确保某个操作复杂度严格为 O(m) 时才使用】
通过建立一个类来记录有向边信息:
class Edge {
// 代表从 a 到 b 有一条权重为 c 的边
int a, b, c;
Edge(int _a, int _b, int _c) {
a = _a; b = _b; c = _c;
}
}
使用 List 存起所有的边对象,并在需要遍历所有边的时候,进行遍历:
List<Edge> es = new ArrayList<>();
...
for (Edge e : es) {
...
}
算法:
拓扑排序:
「入度」和「出度」的概念:
- 入度:有多少条边直接指向该节点;
- 出度:由该节点指出边的有多少条。
在图论中,一个有向无环图必然存在至少一个拓扑序与之对应,反之亦然。
最短路问题:
1.Floyd 「多源汇最短路」
多源汇最短路算法 Floyd 也是基于动态规划,其原始的三维状态定义为 fi[k] 代表从点 i 到点 j,且经过的所有点编号不会超过 k(即可使用点编号范围为 [1, k])的最短路径
2.朴素 Dijkstra 「单源最短路」
3.堆优化 Dijkstra 「单源最短路」
很多时候给定的图存在负权边,这时类似Dijkstra等算法没有用武之地(Dijkstra算法只能用来解决正权图的单源最短路径问题)
Bellman Ford/SPFA 都是基于
动态规划,其原始的状态定义为 fi 代表从起点到 i 点,且经过最多 k 条边的最短路径。
4.Bellman Ford 「单源最短路」
- 优点:可以解决
有负权边的单源最短路径问题,而且可以用来判断是否有负权回路,Bellman_ford算法还可以求边数限制的最短路,SPFA不能。 - 缺点:
时间复杂度O(N*E) (N是点数,E是边数)普遍是要高于Dijkstra算法O(N²)的
实现概述:
1.建立一个dist数组(初始化为INF,该点到他本身赋为0)记录起始点到所有点的最短路径
2.确定需要迭代的次数(可能会有边数限制),每次遍历对所有的边进行一次松弛操作,直到遍历结束。
3.遍历都结束后,若在进行一次遍历,还能得到s到某些节点更短的路径的话,则说明存在负环路。
5.SPFA「单源最短路」
SPFA 是对 Bellman Ford 的优化实现,可以使用队列进行优化,也可以使用栈进行优化。不过该算法的稳定性较差,在稠密图中SPFA算法时间复杂度会退化。
实现概述:
1.建立一个队列,初始时队列只有一个起始点,建立一个dist数组(初始化INF,该点到他本身赋为0)记录起始点到所有点的最短路径
2.松弛操作:用队列的点刷新起始点到所有点的最短路,如果刷新成功,且该点不在队列加入队列,直到队列为空
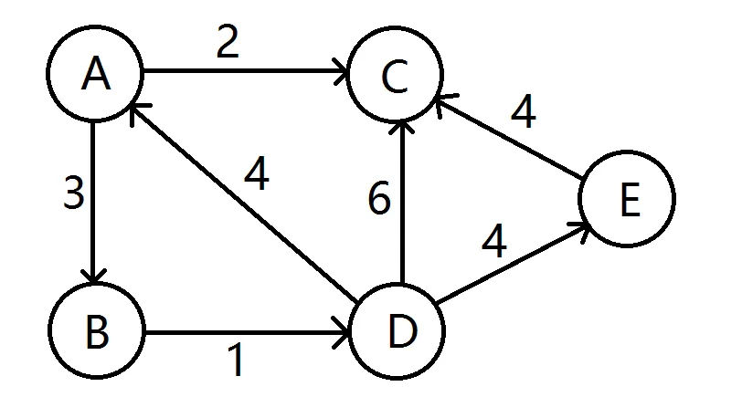
图解:
给定一个有向图,求A~E的最短路。
源点A首先入队,并且AB松弛
扩展与A相连的边,B,C 入队并松弛
B,C分别开始扩展,D入队并松弛
D出队,E入队并松弛。

E出队,此时队列为空,源点到所有点的最短路已被找到,A->E的最短路即为8
最小生成树:
1.Kruskal
多源BFS:
男たちは グランド ライン を 目指し(めざし)梦を(ゆめを)追い(おい)続ける(つづける)。世はまさに大海贼 时代(じだい)。
于是男子汉们起程前往伟大的航路,追逐梦想,大海贼时代来临了。
一般,广度优先搜索都是从一个源点出发。
多源广度优先搜索长这样。
如何证明理解多源点BFS的正确性?其实可以通过添加超级源点方式来思考。添加超级源点可以使多源BFS退化成单源BFS。
首先让我们用离散数学中图的概念来描述这张地图:
- 海洋和陆地都是图中的结点。
- 相邻网格的对应结点之间有一条无向边。
这样地图中的网格及其相邻关系构成了一张无向无权图。 如下图示:
我们向图中加入一个超级源点,并在超级源点与每个陆地结点之间建立一条边。如下图示:
现在我们从超级源点开始做单源BFS,发现原先的多个源点只不过是BFS的第二层而已~。
所以多源BFS没有改变BFS的本质,不会影响结果的正确性~
双向BFS:
实现思路:
- 创建「两个队列」分别用于两个方向的搜索;
- 创建「两个哈希表」用于「解决相同节点重复搜索」和「记录转换次数」;
- 为了尽可能让两个搜索方向“平均”,每次从队列中取值进行扩展时,先判断哪个队列容量较少;
- 如果在搜索过程中「搜索到对方搜索过的节点」,说明找到了最短路径。
伪代码:
// q1、q2 为两个方向的队列
// m1、m2 为两个方向的哈希表,记录每个节点距离起点的
// 只有两个队列都不空,才有必要继续往下搜索
// 如果其中一个队列空了,说明从某个方向搜到底都搜不到该方向的目标节点,反向搜索也没必要进行了
while(!q1.isEmpty() && !q2.isEmpty()) {
if (q1.size() <= q2.size()) {
update(q1, m1, m2);
} else {
update(q2, m2, m1);
}
}
// update 为将当前队列 q 中包含的元素取出,进行「一次完整扩展」的逻辑(按层拓展)
void update(Queue q, Map cur, Map other) {}
二、例题
多源BFS
题:417. 太平洋大西洋水流问题
有一个 m × n 的矩形岛屿,与 太平洋 和 大西洋 相邻。 “太平洋” 处于大陆的左边界和上边界,而 “大西洋” 处于大陆的右边界和下边界。
这个岛被分割成一个由若干方形单元格组成的网格。给定一个 m x n 的整数矩阵 heights , heightsr 表示坐标 (r, c) 上单元格 高于海平面的高度 。
岛上雨水较多,如果相邻单元格的高度 小于或等于 当前单元格的高度,雨水可以直接向北、南、东、西流向相邻单元格。水可以从海洋附近的任何单元格流入海洋。
返回网格坐标 result 的 2D 列表 ,其中 result[i] = [ri, ci] 表示雨水从单元格 (ri, ci) 流动 既可流向太平洋也可流向大西洋 。
示例 1:
输入: heights = [[1,2,2,3,5],[3,2,3,4,4],[2,4,5,3,1],[6,7,1,4,5],[5,1,1,2,4]]
输出: [[0,4],[1,3],[1,4],[2,2],[3,0],[3,1],[4,0]]
示例 2:
输入: heights = [[2,1],[1,2]]
输出: [[0,0],[0,1],[1,0],[1,1]]
提示:
m == heights.length
n == heights[r].length
1 <= m, n <= 200
0 <= heights[r][c] <= 105
解:
解题思路:由四周向中心BFS,取交集
AC代码:
class Solution {
int n, m;
int[][] g;
public List<List<Integer>> pacificAtlantic(int[][] heights) {
g = heights;
m = heights.length; n = g[0].length;
Queue<int[]> q1 = new LinkedList<>(), q2 = new LinkedList<>();
boolean[][] res1 = new boolean[m][n], res2 = new boolean[m][n];
// 初始化访问队列
for(int i = 0; i < m; ++ i) {
for(int j = 0; j < n; ++ j) {
// 左上角
if(i == 0 || j == 0) {
res1[i][j] = true;
q1.offer(new int[]{i ,j});
}
// 右下角
if(i == m - 1 || j == n - 1) {
res2[i][j] = true;
q2.offer(new int[]{i, j});
}
}
}
// BFS
bfs(q1, res1); bfs(q2, res2);
// 取res1, res2的交集
List<List<Integer>> ans = new ArrayList<>();
for(int i = 0; i < m; ++ i) {
for(int j = 0; j < n; ++ j) {
if(res1[i][j] && res2[i][j]) {
ans.add(new ArrayList<Integer>(Arrays.asList(i, j)));
}
}
}
return ans;
}
int[][] dirs = new int[][] {{1, 0}, {-1, 0}, {0, 1}, {0, -1}};
void bfs(Queue<int[]> q, boolean[][] res) {
while(!q.isEmpty()) {
int[] info = q.poll();
int x = info[0], y = info[1], w = g[x][y];
for(int[] dir : dirs) {
int nx = x + dir[0], ny = y + dir[1];
// 向高处拓展
if(isMap(nx, ny) && !res[nx][ny] && w <= g[nx][ny]) {
q.offer(new int[] {nx, ny});
res[nx][ny] = true;
}
}
}
}
boolean isMap(int x, int y) {
return x >= 0 && x < m && y >= 0 && y < n;
}
}
解题思路:DFS
AC代码:
class Solution {
int n, m;
int[][] g;
public List<List<Integer>> pacificAtlantic(int[][] heights) {
m = heights.length; n = heights[0].length;
g = heights;
boolean[][] res1 = new boolean[m][n], res2 = new boolean[m][n];
// 初始化
for(int i = 0; i < m; ++ i) {
for(int j = 0; j < n; ++ j) {
if(i == 0 || j == 0) {
if(!res1[i][j]) dfs(i, j, res1);
}
if(i == m - 1 || j == n - 1) {
if(!res2[i][j]) dfs(i, j, res2);
}
}
}
List<List<Integer>> ans = new ArrayList<>();
for(int i = 0; i < m; ++ i) {
for(int j = 0; j < n; ++ j) {
if(res1[i][j] && res2[i][j]) {
ans.add(new ArrayList<Integer>(Arrays.asList(i, j)));
}
}
}
return ans;
}
int[][] dirs = new int[][] {{1, 0}, {-1, 0}, {0, 1}, {0, -1}};
void dfs(int x, int y, boolean[][] res) {
res[x][y] = true;
for(int[] dir : dirs) {
int dx = x + dir[0], dy = y + dir[1];
if(isMap(dx, dy) && !res[dx][dy] && g[dx][dy] >= g[x][y]) {
dfs(dx, dy, res);
}
}
}
boolean isMap(int x, int y) {
return x >= 0 && x < m && y >= 0 && y < n;
}
}
解题思路:并查集
AC代码:
class Solution {
int N = 200 * 200 + 10;
int[] p1 = new int[N], p2 = new int[N];
int n, m, tot, S, T;
int[][] g;
void union(int[] p, int a, int b) {
p[find(p, a)] = p[find(p, b)];
}
int find(int[] p, int x) {
if (p[x] != x) p[x] = find(p, p[x]);
return p[x];
}
boolean query(int[] p, int a, int b) {
return find(p, a) == find(p, b);
}
int getIdx(int x, int y) {
return x * n + y;
}
public List<List<Integer>> pacificAtlantic(int[][] _g) {
g = _g;
m = g.length; n = g[0].length; tot = m * n; S = tot + 1; T = tot + 2;
for (int i = 0; i <= T; i++) p1[i] = p2[i] = i;
for (int i = 0; i < m; i++) {
for (int j = 0; j < n; j++) {
int idx = getIdx(i, j);
if (i == 0 || j == 0) {
if (!query(p1, S, idx)) dfs(p1, S, i, j);
}
if (i == m - 1 || j == n - 1) {
if (!query(p2, T, idx)) dfs(p2, T, i, j);
}
}
}
List<List<Integer>> ans = new ArrayList<>();
for (int i = 0; i < m; i++) {
for (int j = 0; j < n; j++) {
int idx = getIdx(i, j);
if (query(p1, S, idx) && query(p2, T, idx)) {
List<Integer> list = new ArrayList<>();
list.add(i); list.add(j);
ans.add(list);
}
}
}
return ans;
}
int[][] dirs = new int[][]{{1,0},{-1,0},{0,1},{0,-1}};
void dfs(int[] p, int ori, int x, int y) {
union(p, ori, getIdx(x, y));
for (int[] di : dirs) {
int nx = x + di[0], ny = y + di[1];
if (nx < 0 || nx >= m || ny < 0 || ny >= n) continue;
if (query(p, ori, getIdx(nx, ny)) || g[nx][ny] < g[x][y]) continue;
dfs(p, ori, nx, ny);
}
}
}
题:1162. 地图分析
你现在手里有一份大小为 n x n 的 网格 grid,上面的每个 单元格 都用 0 和 1 标记好了。其中 0 代表海洋,1 代表陆地。
请你找出一个海洋单元格,这个海洋单元格到离它最近的陆地单元格的距离是最大的,并返回该距离。如果网格上只有陆地或者海洋,请返回 -1。
我们这里说的距离是「曼哈顿距离」( Manhattan Distance):(x0, y0) 和 (x1, y1) 这两个单元格之间的距离是 |x0 - x1| + |y0 - y1| 。
示例 1:
输入:grid = [[1,0,1],[0,0,0],[1,0,1]]
输出:2
解释:
海洋单元格 (1, 1) 和所有陆地单元格之间的距离都达到最大,最大距离为 2。
示例 2:
输入:grid = [[1,0,0],[0,0,0],[0,0,0]]
输出:4
解释:
海洋单元格 (2, 2) 和所有陆地单元格之间的距离都达到最大,最大距离为 4。
提示:
n == grid.length
n == grid[i].length
1 <= n <= 100
grid[i][j] 不是 0 就是 1
解:
解题思路:
- 为了方便,我们在使用哈希表记录距离时,将二维坐标 (x, y) 转化为对应的一维下标 idx = x * n + y 作为 key 进行存储
多源BFS扩散的图示:(1表示陆地,0表示海洋)

AC代码:
class Solution {
// 0-海洋,1-陆地
public int maxDistance(int[][] grid) {
int n = grid.length;
Queue<int[]> queue = new LinkedList<>();
Map<Integer, Integer> map = new HashMap<>();
for(int i = 0; i < n; ++ i) {
for(int j = 0; j < n; ++ j) {
if(grid[i][j] == 1) {
queue.offer(new int[] {i, j});
map.put(i * n + j, 0);
}
}
}
int ans = -1;
int[][] dirs = new int[][] {{1, 0}, {-1, 0}, {0, 1}, {0, -1}};
while(!queue.isEmpty()) {
int[] poll = queue.poll();
int dx = poll[0], dy = poll[1];
int step = map.get(dx * n + dy);
for(int[] dir : dirs) {
int nx = dx + dir[0], ny = dy + dir[1];
// 在这块岛屿并且是海洋
if(isMap(nx, ny, n) && grid[nx][ny] == 0) {
grid[nx][ny] = step + 1;
queue.offer(new int[] {nx, ny});
map.put(nx * n + ny, step + 1);
ans = Math.max(ans, step + 1);
}
}
}
return ans;
}
boolean isMap(int x, int y, int n) {
return x >= 0 && x < n && y >= 0 && y < n;
}
}
双向BFS
题:433. 最小基因变化
基因序列可以表示为一条由 8 个字符组成的字符串,其中每个字符都是 'A'、'C'、'G' 和 'T' 之一。
假设我们需要调查从基因序列 start 变为 end 所发生的基因变化。一次基因变化就意味着这个基因序列中的一个字符发生了变化。
- 例如,
"AACCGGTT" --> "AACCGGTA"就是一次基因变化。
另有一个基因库 bank 记录了所有有效的基因变化,只有基因库中的基因才是有效的基因序列。(变化后的基因必须位于基因库 bank 中)
给你两个基因序列 start 和 end ,以及一个基因库 bank ,请你找出并返回能够使 start 变化为 end 所需的最少变化次数。如果无法完成此基因变化,返回 -1 。
注意:起始基因序列 start 默认是有效的,但是它并不一定会出现在基因库中。
示例 1:
输入:start = "AACCGGTT", end = "AACCGGTA", bank = ["AACCGGTA"]
输出:1
示例 2:
输入:start = "AACCGGTT", end = "AAACGGTA", bank = ["AACCGGTA","AACCGCTA","AAACGGTA"]
输出:2
示例 3:
输入:start = "AAAAACCC", end = "AACCCCCC", bank = ["AAAACCCC","AAACCCCC","AACCCCCC"]
输出:3
提示:
start.length == 8
end.length == 8
0 <= bank.length <= 10
bank[i].length == 8
start、end 和 bank[i] 仅由字符 ['A', 'C', 'G', 'T'] 组成
解:
解题思路:双向BFS
AC代码:
class Solution {
static char[] items = new char[] {'A', 'C', 'G', 'T'};
Set<String> set = new HashSet<>();
public int minMutation(String start, String end, String[] bank) {
set.add(start);
for(String s : bank) set.add(s);
// 变化后的基因必须位于基因库 bank 中
if(!set.contains(end)) return -1;
Queue<String> q1 = new LinkedList<>(), q2 = new LinkedList<>();
q1.offer(start); q2.offer(end);
Map<String, Integer> m1 = new HashMap<>(), m2 = new HashMap<>();
m1.put(start, 0); m2.put(end, 0);
while(!q1.isEmpty() && !q2.isEmpty()) {
int t = -1;
if(q1.size() <= q2.size()) t = update(q1, m1, m2);
else t = update(q2, m2, m1);
if(t != -1) return t;
}
return -1;
}
int update(Queue<String> q, Map<String, Integer> cur, Map<String, Integer> other) {
int m = q.size();
while(m -- > 0) {
String s = q.poll();
char[] cs = s.toCharArray();
int step = cur.get(s);
// 基因序列可以表示为一条由 8 个字符组成的字符串
for(int i = 0; i < 8; ++ i) {
for(char item : items) {
char[] clone = cs.clone();
clone[i] = item;
String newStr = String.valueOf(clone);
if(!set.contains(newStr) || cur.containsKey(newStr)) continue;
if(other.containsKey(newStr)) return other.get(newStr) + step + 1;
q.offer(newStr);
cur.put(newStr, step + 1);
}
}
}
return -1;
}
}
题:752. 打开转盘锁
你有一个带有四个圆形拨轮的转盘锁。每个拨轮都有10个数字: '0', '1', '2', '3', '4', '5', '6', '7', '8', '9' 。每个拨轮可以自由旋转:例如把 '9' 变为 '0','0' 变为 '9' 。每次旋转都只能旋转一个拨轮的一位数字。
锁的初始数字为 '0000' ,一个代表四个拨轮的数字的字符串。
列表 deadends 包含了一组死亡数字,一旦拨轮的数字和列表里的任何一个元素相同,这个锁将会被永久锁定,无法再被旋转。
字符串 target 代表可以解锁的数字,你需要给出解锁需要的最小旋转次数,如果无论如何不能解锁,返回 -1 。
示例 1:
输入:deadends = ["0201","0101","0102","1212","2002"], target = "0202"
输出:6
解释:
可能的移动序列为 "0000" -> "1000" -> "1100" -> "1200" -> "1201" -> "1202" -> "0202"。
注意 "0000" -> "0001" -> "0002" -> "0102" -> "0202" 这样的序列是不能解锁的,
因为当拨动到 "0102" 时这个锁就会被锁定。
示例 2:
输入: deadends = ["8888"], target = "0009"
输出:1
解释:把最后一位反向旋转一次即可 "0000" -> "0009"。
示例 3:
输入: deadends = ["8887","8889","8878","8898","8788","8988","7888","9888"], target = "8888"
输出:-1
解释:无法旋转到目标数字且不被锁定。
提示:
1 <= deadends.length <= 500
deadends[i].length == 4
target.length == 4
target 不在 deadends 之中
target 和 deadends[i] 仅由若干位数字组成
解:
解题思路:双向BFS
AC代码:
class Solution {
Set<String> set = new HashSet<>();
public int openLock(String[] deadends, String end) {
String start = "0000";
if(start.equals(end)) return 0;
// 判断是否存在于某集合中
for(String d : deadends) set.add(d);
if(set.contains(start)) return -1;
// 双向BFS
Queue<String> q1 = new LinkedList<>(), q2 = new LinkedList<>();
HashMap<String, Integer> m1 = new HashMap<>(), m2 = new HashMap<>();
q1.offer(start); q2.offer(end);
m1.put(start, 0); m2.put(end, 0);
while(!q1.isEmpty() && !q2.isEmpty()) {
int t = -1;
if(q1.size() <= q2.size()) t = update(q1, m1, m2);
else t = update(q2, m2, m1);
if(t != -1) return t;
}
return -1;
}
int[] dirs = new int[] {1, -1}; // 1 :正向转,-1 :反向转
int update(Queue<String> q, Map<String, Integer> cur, Map<String, Integer> other) {
int m = q.size();
while(m -- > 0) {
String poll = q.poll();
char[] pcs = poll.toCharArray();
int step = cur.get(poll);
// 每个字符串共有四个字符
for(int i = 0; i < 4; ++ i) {
// 遍历方向
for(int dir : dirs) {
// 替换字符串
int next = (pcs[i] - '0' + dir + 10) % 10;
char[] clone = pcs.clone();
clone[i] = (char)(next + '0');
String str = String.valueOf(clone);
if(set.contains(str) || cur.containsKey(str)) continue;
if(other.containsKey(str)) return step + 1 + other.get(str);
q.offer(str);
cur.put(str, step + 1);
}
}
}
return -1;
}
}
拓扑排序
题:207. 课程表
你这个学期必须选修 numCourses 门课程,记为0 到 numCourses - 1 。
在选修某些课程之前需要一些先修课程。 先修课程按数组 prerequisites 给出,其中 prerequisites[i] = [ai, bi] ,表示如果要学习课程 ai 则 必须 先学习课程 bi 。
- 例如,先修课程对
[0, 1]表示:想要学习课程0,你需要先完成课程1。
请你判断是否可能完成所有课程的学习?如果可以,返回 true ;否则,返回 false 。
示例 1:
输入:numCourses = 2, prerequisites = [[1,0]]
输出:true
解释:总共有 2 门课程。学习课程 1 之前,你需要完成课程 0 。这是可能的。
示例 2:
输入:numCourses = 2, prerequisites = [[1,0],[0,1]]
输出:false
解释:总共有 2 门课程。学习课程 1 之前,你需要先完成课程 0 ;并且学习课程 0 之前,你还应先完成课程 1 。这是不可能的。
提示:
1 <= numCourses <= 105
0 <= prerequisites.length <= 5000
prerequisites[i].length == 2
0 <= ai, bi < numCourses
prerequisites[i] 中的所有课程对 互不相同
解:
解题思路:
1.存图:若存在前置课程,寸边,并统计所有的点入度
2.创建队列,将入度为0的点加入队列
3.拓扑排序,若所有点都被访问,则所有课程都能访问,
AC代码:
class Solution {
// 邻接表
int N = 100010, M = 5010;
int[] head = new int[N], edge = new int[M], nextEdge = new int[M];
int idx;
int[] count = new int[N]; // 统计点的入度
void add(int a, int b) {
edge[idx] = b;
nextEdge[idx] = head[a];
head[a] = idx;
idx ++;
count[b] ++;
}
public boolean canFinish(int numCourses, int[][] prerequisites) {
Arrays.fill(head, -1);
for(int[] info : prerequisites) add(info[1], info[0]);
int ans = 0;
Queue<Integer> queue = new LinkedList<>();
for(int i = 0; i < numCourses; ++ i) {
if(count[i] == 0) queue.offer(i); // 将没有先行课的先加入队列
}
while(!queue.isEmpty()) {
int t = queue.poll();
ans ++;
for(int i = head[t]; i != -1; i = nextEdge[i]) {
int j = edge[i];
if(-- count[j] == 0) queue.offer(j); // 将没有的课加入队列继续遍历
}
}
return ans == numCourses;
}
}
题:802. 找到最终的安全状态
有一个有 n 个节点的有向图,节点按 0 到 n - 1 编号。图由一个 索引从 0 开始 的 2D 整数数组 graph表示, graph[i]是与节点 i 相邻的节点的整数数组,这意味着从节点 i 到 graph[i]中的每个节点都有一条边。
如果一个节点没有连出的有向边,则它是 终端节点 。如果没有出边,则节点为终端节点。如果从该节点开始的所有可能路径都通向 终端节点 ,则该节点为 安全节点 。
返回一个由图中所有 安全节点 组成的数组作为答案。答案数组中的元素应当按 升序 排列。
示例 1:
输入:graph = [[1,2],[2,3],[5],[0],[5],[],[]]
输出:[2,4,5,6]
解释:示意图如上。
节点 5 和节点 6 是终端节点,因为它们都没有出边。
从节点 2、4、5 和 6 开始的所有路径都指向节点 5 或 6 。
示例 2:
输入:graph = [[1,2,3,4],[1,2],[3,4],[0,4],[]]
输出:[4]
解释:
只有节点 4 是终端节点,从节点 4 开始的所有路径都通向节点 4 。
提示:
n == graph.length
1 <= n <= 104
0 <= graph[i].length <= n
0 <= graph[i][j] <= n - 1
graph[i] 按严格递增顺序排列。
图中可能包含自环。
图中边的数目在范围 [1, 4 * 104] 内。
解:
解题思路:反向图 + 拓扑排序
安全序列:对于一个起始节点,如果从该节点出发,无论每一步选择沿哪条有向边行走,最后必然在有限步内到达终点,则将该起始节点称作是安全的。 => 某个点所有的出路没有回路
原图的出度为0的点 => 反向图的入度为0的点
AC代码:
class Solution {
int N = (int)1e4+10, M = 4 * N;
int idx;
int[] he = new int[N], e = new int[M], ne = new int[M];
int[] cnts = new int[N];
void add(int a, int b) {
e[idx] = b;
ne[idx] = he[a];
he[a] = idx++;
}
public List<Integer> eventualSafeNodes(int[][] g) {
int n = g.length;
// 存反向图,并统计入度
Arrays.fill(he, -1);
for (int i = 0; i < n; i++) {
for (int j : g[i]) {
add(j, i);
cnts[i]++;
}
}
// BFS 求反向图拓扑排序
Deque<Integer> d = new ArrayDeque<>();
for (int i = 0; i < n; i++) {
if (cnts[i] == 0) d.addLast(i);
}
while (!d.isEmpty()) {
int poll = d.pollFirst();
for (int i = he[poll]; i != -1; i = ne[i]) {
int j = e[i];
if (--cnts[j] == 0) d.addLast(j);
}
}
// 遍历答案:如果某个节点出现在拓扑序列,说明其进入过队列,说明其入度为 0
List<Integer> ans = new ArrayList<>();
for (int i = 0; i < n; i++) {
if (cnts[i] == 0) ans.add(i);
}
return ans;
}
}
最短路
题:743. 网络延迟时间
有 n 个网络节点,标记为 1 到 n。
给你一个列表 times,表示信号经过 有向边的传递时间。 times[i] = (ui, vi, wi),其中 ui 是源节点,vi 是目标节点, wi 是一个信号从源节点传递到目标节点的时间。
现在,从某个节点 K 发出一个信号。需要多久才能使所有节点都收到信号?如果不能使所有节点收到信号,返回 -1 。
示例 1:
输入:times = [[2,1,1],[2,3,1],[3,4,1]], n = 4, k = 2
输出:2
示例 2:
输入:times = [[1,2,1]], n = 2, k = 1
输出:1
示例 3:
输入:times = [[1,2,1]], n = 2, k = 2
输出:-1
提示:
1 <= k <= n <= 100
1 <= times.length <= 6000
times[i].length == 3
1 <= ui, vi <= n
ui != vi
0 <= wi <= 100
所有 (ui, vi) 对都 互不相同(即,不含重复边)
解:
此题只告诉了出发点,需要到达所有点 => 最后for循环遍历取最大
解题思路:Floyd
枚举从任意点出发,到达任意点的距离
AC代码:
class Solution {
int N = 105, M = 6005;
int[][] w = new int[N][N]; // 邻接矩阵
int INF = 0x3f3f3f3f;
int n, k;
public int networkDelayTime(int[][] times, int _n, int _k) {
n = _n; k = _k;
// 初始化邻接矩阵
for(int i = 1; i <= n; ++ i) {
for(int j = 1; j <= n; ++ j) {
w[i][j] = w[j][i] = i == j ? 0 : INF;
}
}
// 存图
for(int[] t : times) {
int u = t[0], v = t[1], c = t[2];
w[u][v] = c;
}
// 最短路
floyd();
// 遍历答案
int ans = 0;
for(int i = 1; i <= n; ++ i) {
ans = Math.max(ans, w[k][i]);
}
return ans >= INF / 2 ? -1 : ans;
}
void floyd() {
// 枚举中转点 - 枚举起点 - 枚举终点 - 松弛操作
for(int p = 1; p <= n; ++ p) {
for(int i = 1; i <= n; ++ i) {
for(int j = 1; j <= n; ++ j) {
w[i][j] = Math.min(w[i][j], w[i][p] + w[p][j]);
}
}
}
}
}
解题思路:朴素 Dijkstra
AC代码:
class Solution {
int N = 105, M = 6005;
// 邻接矩阵
int[][] w = new int[N][N];
// 源点到x的最短距离y dist[x] = y;
int[] dist = new int[N];
// 标记哪些点已经被访问过
boolean[] visited = new boolean[N];
int INF = 0x3f3f3f3f;
int n, k;
public int networkDelayTime(int[][] ts, int _n, int _k) {
n = _n; _k = k;
// 初始化邻接矩阵
for(int i = 1; i <= n; ++ i) {
for(int j = 1; j <= n; ++ j) {
w[i][j] = w[j][i] = i == j ? 0 : INF;
}
}
// 存图
for(int[] t : ts) {
int u = t[0], v = t[1], c = t[2];
w[u][v] = c;
}
// 最短路
dijkstra();
// 遍历取最大
int ans = 0;
for(int i = 1; i <= n; ++ i) {
ans = Math.max(ans, dist[i]);
}
return ans > INF / 2 ? -1 : ans;
}
// 最短路
void dijkstra() {
// 初始化所有点标记,和距离数组
Arrays.fill(dist, INF); // 源点与任何点(除自己)不可达
dist[k] = 0;
Arrays.fill(visited, false); // 都未访问过
for(int p = 1; p <= n; ++ i) {
// 找一个没见过的,距离当前点最近的下标
int t = -1;
for(int i = 1; i <= n; ++ i) {
if(!visited[i] && (t == -1 || dist[i] < dist[t])) t = i;
}
// 标记更新
visited[t] = true;
// 将t点对各点的距离更新到dist取最小
for(int i = 1; i <= n; ++ i) {
dist[i] = Math.min(dist[i], dist[t] + w[t][i]);
}
}
}
}
解题思路:堆优化 Dijkstra(邻接表)
add方法:
AC代码:
class Solution {
int N = 105, M = 6005;
// 邻接表
int[] head = new int[N], edge = new int[M], nextEdge = new int[M], weight = new int[M];
int[] dist = new int[N];
boolean[] visited = new boolean[N];
int n, k, idx = 0;
int INF = 0x3f3f3f3f;
// src:源点 desv:目标点 weight边权重
// 由源点src出发经编号idx的边指向目标点desv
void add(int src, int desV, int weight) {
// 1.新建一条编为idx,指向desv的边
this.edge[idx] = desV;
// 2.头插法
this.nextEdge[idx] = head[src];
this.head[src] = idx;
// 3.赋权值
this.weight[idx] = weight;
idx ++;
}
public int networkDelayTime(int[][] ts, int _n, int _k) {
n = _n; k = _k;
// 初始化链表头
Arrays.fill(head, -1);
// 存图
for(int[] t : ts) {
int u = t[0], v = t[1], c = t[2];
add(u, v, c);
}
// 最短路
dijkstra();
int ans = -1;
// 遍历答案
for(int i = 1; i <= n; ++ i) {
ans = Math.max(ans, dist[i]);
}
return ans > INF / 2 ? -1 : ans;
}
void dijkstra() {
// 初始化:未访问,不可达
Arrays.fill(visited, false);
Arrays.fill(dist, INF);
dist[k] = 0;
// 使用【优先队列】存储
// 以(点编号,到起点的距离)进行存储,优先弹出最短距离较小的点
PriorityQueue<int[]> q = new PriorityQueue<>((a, b) -> a[1] - b[1]);
q.add(new int[]{k , 0});
while(!q.isEmpty()) {
int[] poll = q.poll();
int id = poll[0], step = poll[1];
// 如果弹出的点已被标记
if(visited[id]) continue;
visited[id] = true;
for(int i = head[id]; i != -1; i = nextEdge[i]) {
int j = edge[i]; // 得到的边指向的点
if(dist[j] > dist[id] + weight[i]) {
dist[j] = dist[id] + weight[i];
q.add(new int[]{j, dist[j]});
}
}
}
}
}
解题思路:Bellman Ford & 类
AC代码:
class Solution {
class Edge {
int a, b, c;
Edge(int _a, int _b, int _c) {
a = _a; b = _b; c = _c;
}
}
int N = 105, M = 6005;
int[] dist = new int[N];
int INF = 0x3f3f3f3f;
int n, m, k;
List<Edge> es = new ArrayList<>();
public int networkDelayTime(int[][] ts, int _n, int _k) {
n = _n; k = _k; m = ts.length;
// 存图
for(int[] t : ts) {
int u = t[0], v = t[1], w = t[2];
es.add(new Edge(u, v, w));
}
// 最短路
bf();
// 遍历答案
int ans = 0;
for(int i = 1; i <= n; ++ i) {
ans = Math.max(ans, dist[i]);
}
return ans > INF / 2 ? -1 : ans;
}
void bf() {
// 初始化
Arrays.fill(dist, INF); dist[k] = 0;
for(int p = 1; p <= n; ++ p) {
int[] prev = dist.clone();
for(Edge e : es) {
int a = e.a, b = e.b, c = e.c;
dist[b] = Math.min(dist[b], prev[a] + c);
}
}
}
}
解题思路:Bellman Ford & 邻接表
由于边的数量级大于点的数量级,因此能够继续使用【邻接表】的方式进行遍历
遍历所有边的复杂度的下界为 O(n),上界可以确保不超过 O(m)
AC代码:
class Solution {
int N = 110, M = 6010;
// 邻接表
int[] he = new int[N], e = new int[M], ne = new int[M], w = new int[M];
// dist[x] = y 代表从「源点/起点」到 x 的最短距离为 y
int[] dist = new int[N];
int INF = 0x3f3f3f3f;
int n, m, k, idx;
void add(int a, int b, int c) {
e[idx] = b;
ne[idx] = he[a];
he[a] = idx;
w[idx] = c;
idx++;
}
public int networkDelayTime(int[][] ts, int _n, int _k) {
n = _n; k = _k;
m = ts.length;
// 初始化链表头
Arrays.fill(he, -1);
// 存图
for (int[] t : ts) {
int u = t[0], v = t[1], c = t[2];
add(u, v, c);
}
// 最短路
bf();
// 遍历答案
int ans = 0;
for (int i = 1; i <= n; i++) {
ans = Math.max(ans, dist[i]);
}
return ans > INF / 2 ? -1 : ans;
}
void bf() {
// 起始先将所有的点标记为「距离为正无穷」
Arrays.fill(dist, INF);
// 只有起点最短距离为 0
dist[k] = 0;
// 迭代 n 次
for (int p = 1; p <= n; p++) {
int[] prev = dist.clone();
// 每次都使用上一次迭代的结果,执行松弛操作
for (int a = 1; a <= n; a++) {
for (int i = he[a]; i != -1; i = ne[i]) {
int b = e[i];
dist[b] = Math.min(dist[b], prev[a] + w[i]);
}
}
}
}
}
解题思路:SPFA(邻接表)
AC代码:
class Solution {
int N = 110, M = 6010;
int INF = 0x3f3f3f3f;
// 邻接表
int[] head = new int[N], edge = new int[M], nextEdge = new int[M], weight = new int[M];
int[] dist = new int[N];
boolean[] visited = new boolean[N];
int n, k, idx;
// 头插法
void add(int a, int b, int c) {
// 创建边
edge[idx] = b;
// b这条边指向a指向的
nextEdge[idx] = head[a];
// a指向b
head[a] = idx;
weight[idx] = c;
idx ++;
}
public int networkDelayTime(int[][] ts, int _n, int _k) {
n = _n; k = _k;
// 初始化链表头
Arrays.fill(head, -1);
// 存图
for(int[] t : ts) {
int u = t[0], v = t[1], c = t[2];
add(u, v, c);
}
// 最短路
spfa();
// 遍历答案
int ans = 0;
for(int i = 1; i <= n; ++ i) {
ans = Math.max(ans, dist[i]);
}
return ans > INF / 2 ? -1 : ans;
}
void spfa() {
// 初始化
Arrays.fill(visited, false);
Arrays.fill(dist, INF);
dist[k] = 0;
// 存储点编号
Queue<Integer> queue = new LinkedList<>();
queue.offer(k);
visited[k] = true;
while(!queue.isEmpty()) {
int poll = queue.poll();
visited[poll] = false; // 并标记为未入队
// 使用该点更新其他点
for(int i = head[poll]; i != -1; i = nextEdge[i]) {
int j = edge[i];
// 松弛操作
if(dist[j] > dist[poll] + weight[i]) {
dist[j] = dist[poll] + weight[i];
if(visited[j]) continue;
queue.offer(j);
visited[j] = true;
}
}
}
}
}
题:787. K 站中转内最便宜的航班
有 n 个城市通过一些航班连接。给你一个数组 flights ,其中 flights[i] = [fromi, toi, pricei] ,表示该航班都从城市 fromi 开始,以价格 pricei 抵达 toi。
现在给定所有的城市和航班,以及出发城市 src 和目的地 dst,你的任务是找到出一条最多经过 k 站中转的路线,使得从 src 到 dst 的 价格最便宜 ,并返回该价格。 如果不存在这样的路线,则输出 -1。
示例 1:
输入:
n = 3, edges = [[0,1,100],[1,2,100],[0,2,500]]
src = 0, dst = 2, k = 1
输出: 200
解释:
城市航班图如下

从城市 0 到城市 2 在 1 站中转以内的最便宜价格是 200,如图中红色所示。
示例 2:
输入:
n = 3, edges = [[0,1,100],[1,2,100],[0,2,500]]
src = 0, dst = 2, k = 0
输出: 500
解释:
城市航班图如下

从城市 0 到城市 2 在 0 站中转以内的最便宜价格是 500,如图中蓝色所示。
提示:
1 <= n <= 100
0 <= flights.length <= (n * (n - 1) / 2)
flights[i].length == 3
0 <= fromi, toi < n
fromi != toi
1 <= pricei <= 104
航班没有重复,且不存在自环
0 <= src, dst, k < n
src != dst
解:
这是一道有边数限制的最短路
告诉了起点和终点,所以返回的结果是dist[终点]
解题思路: Bellman Ford + 邻接矩阵
在遍历所有的“点对/边”进行松弛操作前,需要先对 dist 进行备份,否则会出现「本次松弛操作所使用到的边,也是在同一次迭代所更新的」,从而不满足边数限制的要求。
AC代码:
class Solution {
int N = 105, INF = 0x3f3f3f3f;
int[] dist = new int[N];
int[][] g = new int[N][N];
int n, k, s, t;
public int findCheapestPrice(int _n, int[][] flights, int _src, int _dst, int _k) {
// 最多不超过k个中转点等价于不超过k+1条边
n = _n; k = _k + 1; s = _src; t = _dst;
// 初始化图
for(int i = 0; i < N; ++ i) {
for(int j = 0; j < N; ++ j) {
g[i][j] = i == j ? 0 : INF;
}
}
for(int[] t : flights) {
int a = t[0], b = t[1], w = t[2];
g[a][b] = w;
}
int ans = bf();
return ans > INF / 2 ? -1 : ans;
}
int bf() {
// 初始化
Arrays.fill(dist, INF);
dist[s] = 0;
for(int limit = 0; limit < k; ++ limit) { // 最多不超过k+1,控制边数
int[] clone = dist.clone(); // 保证是在同一次迭代所更新的
for(int i = 0; i < n; ++ i) {
for(int j = 0; j < n; ++ j) {
dist[j] = Math.min(dist[j], clone[i] + g[i][j]); // 松弛操作
}
}
}
// 已经告诉目的地,一定是返回dist[t]
return dist[t];
}
}
解题思路:Bellman Ford + 类
AC代码:
class Solution {
class Edge {
int x, y, w;
Edge(int _x, int _y, int _w) {
x = _x; y = _y; w = _w;
}
}
int N = 110, INF = 0x3f3f3f3f;
int[] dist = new int[N];
List<Edge> list = new ArrayList<>();
int n, s, t, k, m;
public int findCheapestPrice(int _n, int[][] flights, int _src, int _dst, int _k) {
n = _n; s = _src; t = _dst; k = _k + 1;
// 存图
for(int[] f : flights) {
list.add(new Edge(f[0], f[1], f[2]));
}
m = list.size();
int ans = bf();
return ans > INF / 2 ? -1 : ans;
}
int bf() {
Arrays.fill(dist, INF);
dist[s] = 0;
for(int i = 0; i < k; ++ i) {
int[] clone = dist.clone();
for(Edge e : list) {
int x = e.x, y = e.y, w = e.w;
// 注意是:clone[x] + w
dist[y] = Math.min(dist[y], clone[x] + w);
}
}
return dist[t];
}
}
解题思路:Bellman Ford
AC代码:
class Solution {
int N = 110, INF = 0x3f3f3f3f;
int[] dist = new int[N];
public int findCheapestPrice(int n, int[][] flights, int src, int dst, int k) {
Arrays.fill(dist, INF); dist[src] = 0;
for(int i = 0; i < k + 1; ++ i) {
int[] clone = dist.clone();
for(int[] f : flights) {
int x = f[0], y = f[1], w = f[2];
dist[y] = Math.min(dist[y], clone[x] + w);
}
}
return dist[dst] > INF / 2 ? -1 : dist[dst];
}
}
搜索
题:841. 钥匙和房间
有 n 个房间,房间按从 0 到 n - 1 编号。最初,除 0 号房间外的其余所有房间都被锁住。你的目标是进入所有的房间。然而,你不能在没有获得钥匙的时候进入锁住的房间。
当你进入一个房间,你可能会在里面找到一套不同的钥匙,每把钥匙上都有对应的房间号,即表示钥匙可以打开的房间。你可以拿上所有钥匙去解锁其他房间。
给你一个数组 rooms 其中 rooms[i] 是你进入 i 号房间可以获得的钥匙集合。如果能进入 所有 房间返回 true,否则返回 false。
示例 1:
输入:rooms = [[1],[2],[3],[]]
输出:true
解释:
我们从 0 号房间开始,拿到钥匙 1。
之后我们去 1 号房间,拿到钥匙 2。
然后我们去 2 号房间,拿到钥匙 3。
最后我们去了 3 号房间。
由于我们能够进入每个房间,我们返回 true。
示例 2:
输入:rooms = [[1,3],[3,0,1],[2],[0]]
输出:false
解释:我们不能进入 2 号房间。
提示:
n == rooms.length
2 <= n <= 1000
0 <= rooms[i].length <= 1000
1 <= sum(rooms[i].length) <= 3000
0 <= rooms[i][j] < n
所有 rooms[i] 的值 互不相同
解:
解题思路:BFS
AC代码:
class Solution {
// 判断图的连通性
// BFS
public boolean canVisitAllRooms(List<List<Integer>> rooms) {
int len = rooms.size();
boolean[] visited = new boolean[len];
Arrays.fill(visited, false);
visited[0] = true; // 假设第一个已被访问
Queue<Integer> queue = new LinkedList<>(); // 访问队列
queue.offer(0); // 加入第一个节点
while(!queue.isEmpty()) {
Integer roomKey = queue.poll();
visited[roomKey] = true;
for(Integer key : rooms.get(roomKey)) {
if(!visited[key]) {
queue.offer(key);
}
}
}
for(boolean isVisit : visited) if(!isVisit) return false;
return true;
}
}
解题思路:DFS
AC代码:
class Solution {
// DFS
public boolean canVisitAllRooms(List<List<Integer>> rooms) {
int len = rooms.size();
boolean[] visited = new boolean[len];
Arrays.fill(visited, false);
visited[0] = true;
dfs(0, rooms, visited);
for(boolean key : visited) if(!key) return false;
return true;
}
// 不需要上次的结果,无需返回值
// 出口:该元素已被访问,无元素可访问
void dfs(int key, List<List<Integer>> rooms, boolean[] visited) {
// if(visited[key]) return;
visited[key] = true;
for(Integer key_next : rooms.get(key)) {
if(visited[key_next]) continue;
dfs(key_next, rooms, visited);
}
}
}
题:127. 单词接龙
字典 wordList 中从单词 beginWord 和 endWord 的 转换序列 是一个按下述规格形成的序列 beginWord -> s1 -> s2 -> ... -> sk:
每一对相邻的单词只差一个字母。
对于 1 <= i <= k 时,每个 si 都在 wordList 中。注意, beginWord 不需要在 wordList 中。
sk == endWord
给你两个单词 beginWord 和 endWord 和一个字典 wordList ,返回 从 beginWord 到 endWord 的 最短转换序列 中的 单词数目 。如果不存在这样的转换序列,返回 0 。
示例 1:
输入:beginWord = "hit", endWord = "cog", wordList = ["hot","dot","dog","lot","log","cog"]
输出:5
解释:一个最短转换序列是 "hit" -> "hot" -> "dot" -> "dog" -> "cog", 返回它的长度 5。
示例 2:
输入:beginWord = "hit", endWord = "cog", wordList = ["hot","dot","dog","lot","log"]
输出:0
解释:endWord "cog" 不在字典中,所以无法进行转换。
提示:
1 <= beginWord.length <= 10
endWord.length == beginWord.length
1 <= wordList.length <= 5000
wordList[i].length == beginWord.length
beginWord、endWord 和 wordList[i] 由小写英文字母组成
beginWord != endWord
wordList 中的所有字符串 互不相同
解:
解题思路:朴素BFS解法
AC代码:
class Solution {
// 无向图求最短路
// 1.寻找点与点之间的联系(如果两个单词只差一个字符说明有联系)
// 2.求起点和终点的最短距离 => BFS
public int ladderLength(String beginWord, String endWord, List<String> wordList) {
// 将List转化为Set,提高查询速度
HashSet<String> wordSet = new HashSet<>(wordList);
if(wordSet.size() == 0 || !wordSet.contains(endWord)) return 0;
// 记录单词路径长度
Map<String, Integer> map = new HashMap<>();
map.put(beginWord, 1);
// BFS
Queue<String> queue = new LinkedList<>();
queue.offer(beginWord);
while(!queue.isEmpty()) {
String nowWord = queue.poll(); // 取到当前的点
int path = map.get(nowWord);
// 遍历寻找下一个点,遍历该字符串替换字符,注意判断
for(int i = 0; i < nowWord.length(); ++ i) {
char[] chars = nowWord.toCharArray();
for(char j = 'a'; j <= 'z'; ++ j) {
if(chars[i] == j) continue;
chars[i] = j;
String newWord = String.valueOf(chars);
// 先遇到终点最短
if(newWord.equals(endWord)) return path + 1;
// 在变换集中寻找可变的下一个点,且未被访问过
if(wordSet.contains(newWord) && !map.containsKey(newWord)) {
map.put(newWord, path + 1);
queue.offer(newWord);
}
}
}
}
return 0; // 没有找到
}
}
解题思路:双向BFS
朴素的 BFS 可能会带来「搜索空间爆炸」的情况,而空间的瓶颈主要取决于搜索空间中的最大宽度,所以我们采用双向BFS解决这个问题:同时从两个方向开始搜索,一旦搜索到相同的值,意味着找到了一条联通起点和终点的最短路径。
AC代码:
class Solution {
// 无向图求最短路
// 1.寻找点与点之间的联系(如果两个单词只差一个字符说明有联系)
// 2.求起点和终点的最短距离 => BFS
public int ladderLength(String beginWord, String endWord, List<String> wordList) {
// 将List转化为Set,提高查询速度
HashSet<String> wordSet = new HashSet<>(wordList);
if(wordSet.size() == 0 || !wordSet.contains(endWord)) return 0;
// 距离字典
Map<String, Integer> m1 = new HashMap<>();
Map<String, Integer> m2 = new HashMap<>();
// BFS
// 使用双端队列
Deque<String> d1 = new ArrayDeque<>();
Deque<String> d2 = new ArrayDeque<>();
d1.add(beginWord); m1.put(beginWord, 1);
d2.add(endWord); m2.put(endWord, 1);
// 双向遍历
int res = -1;
while(!d1.isEmpty() && !d2.isEmpty()) {
// 优先拓展队列内元素少的方向
if(d1.size() <= d2.size()) {
res = update(d1, m1, m2, wordSet);
} else {
res = update(d2, m2, m1, wordSet);
}
if(res != -1) return res; // 已找到答案!
}
return 0; // 没有找到
}
// 更新队列,返回值:res +flag
public int update(Deque<String> deque, Map<String, Integer> cur, Map<String, Integer> other, HashSet<String> wordSet) {
// 单层遍历
int size = deque.size();
while(size -- > 0) {
String nowWord = deque.pollFirst();
int path = cur.get(nowWord);
// 遍历单词,逐个替换比较
for(int i = 0; i < nowWord.length(); ++ i) {
char[] chars = nowWord.toCharArray();
for(char j = 'a'; j <= 'z'; ++ j) {
if(chars[i] == j) continue; // 替换词和原词一样,无需替换
chars[i] = j;
String newWord = String.valueOf(chars);
if(wordSet.contains(newWord)) { // 保证这个单词一定存在
// 如果在另一个map中出现
if(other.containsKey(newWord)) return path + other.get(newWord);
// 在变换集中寻找可变的下一个点,且未被访问
if(!cur.containsKey(newWord)) {
cur.put(newWord, path + 1);
deque.addLast(newWord);
}
}
}
}
}
return -1; // 没找到
}
}
最小生成树
题:778. 水位上升的泳池中游泳
在一个 n x n 的整数矩阵 grid 中,每一个方格的值 grid[i][j] 表示位置 (i, j) 的平台高度。
当开始下雨时,在时间为 t 时,水池中的水位为 t 。你可以从一个平台游向四周相邻的任意一个平台,但是前提是此时水位必须同时淹没这两个平台。假定你可以瞬间移动无限距离,也就是默认在方格内部游动是不耗时的。当然,在你游泳的时候你必须待在坐标方格里面。
你从坐标方格的左上平台 (0,0) 出发。返回 你到达坐标方格的右下平台 (n-1, n-1) 所需的最少时间 。
示例 1:
输入: grid = [[0,2],[1,3]]
输出: 3
解释:
时间为0时,你位于坐标方格的位置为 (0, 0)。
此时你不能游向任意方向,因为四个相邻方向平台的高度都大于当前时间为 0 时的水位。
等时间到达 3 时,你才可以游向平台 (1, 1). 因为此时的水位是 3,坐标方格中的平台没有比水位 3 更高的,所以你可以游向坐标方格中的任意位置
示例 2:

输入: grid = [[0,1,2,3,4],[24,23,22,21,5],[12,13,14,15,16],[11,17,18,19,20],[10,9,8,7,6]]
输出: 16
解释: 最终的路线用加粗进行了标记。
我们必须等到时间为 16,此时才能保证平台 (0, 0) 和 (4, 4) 是连通的
提示:
n == grid.length
n == grid[i].length
1 <= n <= 50
0 <= grid[i][j] < n2
grid[i][j] 中每个值 均无重复
解:
解题思路:Kruskal & 并查集
AC代码:
class Solution {
int[] parent; int n;
void union(int a, int b) {
// a = find(a); b = find(b);
// if(a == b) return;
// parent[a] = parent[b];
parent[find(a)] = parent[find(b)];
}
int find(int x) {
if(parent[x] != x) parent[x] = find(parent[x]);
return parent[x];
}
int getIdx(int i, int j) {
return i * n + j;
}
// 查询两点是否联通
boolean query(int a, int b) {
return find(a) == find(b);
}
public int swimInWater(int[][] grid) {
n = grid.length;
// 1.初始化并查集
parent = new int[n * n];
for(int i = 0; i < n * n; ++ i) parent[i] = i;
// 2.存边 [a, b, w] a->b 权重:时间w
List<int[]> edges = new ArrayList<>();
for(int i = 0; i < n; ++ i) {
for(int j = 0; j < n; ++ j) {
// 二维坐标转转一位
int idx = getIdx(i, j);
parent[idx] = idx;
// 方向:向右、右下
if(i + 1 < n) {
int a = idx, b =getIdx(i + 1, j);
int w = Math.max(grid[i][j], grid[i + 1][j]);
edges.add(new int[]{a, b, w});
}
if(j + 1 < n) {
int a = idx, b = getIdx(i, j + 1);
int w = Math.max(grid[i][j], grid[i][j + 1]); // 取两者的最大值
edges.add(new int[]{a, b, w});
}
}
}
// 3.根据权值排序
Collections.sort(edges, (a, b) -> a[2] - b[2]);
// 4.每添加一条边,判断始尾是否联通
int start = getIdx(0, 0), end = getIdx(n - 1, n - 1);
for(int[] edge : edges) {
int a = edge[0], b = edge[1], w = edge[2];
union(a, b); // 合并
if(query(start, end)) {
return w;
}
}
return 0;
}
}
解题思路:二分 + BFS
Tips:「二分」的本质是两段性,并非单调性。只要一段满足某个性质,另外一段不满足某个性质,就可以用「二分」。
题目给定了 gridi 的范围是 [0, n^2^ - 1],所以答案必然落在此范围。
假设最优解为 min(恰好能到达右下角的时间),那么小于 min 的时间无法到达右下角,大于 min 的时间能到达右下角。因此在以最优解 min 为分割点的数轴上具有两段性,可以通过「二分」来找到分割点 min。
接着分析,假设最优解为 min,我们在 [l, r] 范围内进行二分,当前二分到的时间为 mid 时:
- 能到达右下角:必然有 min⩽mid,让 r = mid【mid可能是答案】
- 不能到达右下角:必然有 min > mid,让 l = mid + 1【mid绝对不是答案】
AC代码:
class Solution {
int n;
public int swimInWater(int[][] grid) {
n = grid.length;
int l = 0, r = n * n;
while(l < r) {
int mid = l + r >> 1;
if(check(grid, mid)) { // BFS
r = mid;
} else {
l = mid + 1;
}
}
return r;
}
int[][] dirs = new int[][] {{1, 0}, {-1, 0}, {0, 1}, {0, -1}}; // 四个方向
boolean check(int[][] grid, int time) {
boolean[][] visited = new boolean[n][n];
Queue<int[]> queue = new LinkedList<>();
queue.offer(new int[]{0, 0});
visited[0][0] = true;
while(!queue.isEmpty()) {
int[] from = queue.poll();
int x = from[0], y = from[1];
if(x == n - 1 && y == n - 1) return true;
// 对四个方向进行遍历
for(int[] dir : dirs) {
int newX = x + dir[0], newY = y + dir[1];
int[] to = new int[] {newX, newY};
// 判断是否在区域,是否访问过,是否可移动到那
if(inArea(to) && !visited[newX][newY] && canMove(grid, from, to, time)) {
visited[newX][newY] = true;
queue.offer(to);
}
}
}
return false;
}
boolean inArea(int[] point) {
int x = point[0], y = point[1];
return x >= 0 && x < n && y >= 0 && y < n;
}
boolean canMove(int[][] grid, int[] from, int[] to, int time) {
return time >= Math.max(grid[from[0]][from[1]], grid[to[0]][to[1]]);
}
}
题:1631. 最小体力消耗路径
你准备参加一场远足活动。给你一个二维 rows x columns 的地图 heights ,其中 heightsrow 表示格子 (row, col) 的高度。一开始你在最左上角的格子 (0, 0) ,且你希望去最右下角的格子 (rows-1, columns-1) (注意下标从 0 开始编号)。你每次可以往 上,下,左,右 四个方向之一移动,你想要找到耗费 体力 最小的一条路径。
一条路径耗费的 体力值 是路径上相邻格子之间 高度差绝对值 的 最大值 决定的。
请你返回从左上角走到右下角的最小 体力消耗值 。
示例 1:
输入:heights = [[1,2,2],[3,8,2],[5,3,5]]
输出:2
解释:路径 [1,3,5,3,5] 连续格子的差值绝对值最大为 2 。
这条路径比路径 [1,2,2,2,5] 更优,因为另一条路径差值最大值为 3 。
示例 2:
输入:heights = [[1,2,3],[3,8,4],[5,3,5]]
输出:1
解释:路径 [1,2,3,4,5] 的相邻格子差值绝对值最大为 1 ,比路径 [1,3,5,3,5] 更优。
示例 3:
输入:heights = [[1,2,1,1,1],[1,2,1,2,1],[1,2,1,2,1],[1,2,1,2,1],[1,1,1,2,1]]
输出:0
解释:上图所示路径不需要消耗任何体力。
提示:
rows == heights.length
columns == heights[i].length
1 <= rows, columns <= 100
1 <= heights[i][j] <= 106
解:
解题思路:Kruskal & 并查集
很多同学都会误认为这道题考察DP,事实上,当题目运行往任意方向移动时,考察的往往不是DP,而是图论。
从本质上说:DP问题是一类特殊的图论问题。
所以,当一道题我们决定往「图论」方向思考时,我们重点应该放在「如何建图」上。
AC代码:
class Solution {
int col, row;
int[] p;
void union(int a, int b) {
p[find(a)] = p[find(b)];
}
boolean query(int a, int b) {
return find(a) == find(b);
}
int find(int x) {
if(p[x] != x) p[x] = find(p[x]);
return p[x];
}
int getIdx(int x, int y) {
return x * col + y;
}
public int minimumEffortPath(int[][] heights) {
row = heights.length; col = heights[0].length;
// 1.初始化并查集
p = new int[row * col];
for(int i = 0; i < p.length; ++ i) p[i] = i;
// 2.存图
List<int[]> edges = new ArrayList<>();
for(int i = 0; i < row; ++ i) {
for(int j = 0; j < col; ++ j) {
int idx = getIdx(i, j);
// 拓展方向:向右、右下
if(i + 1 < row) {
int a = idx, b = getIdx(i + 1, j);
int w = Math.abs(heights[i][j] - heights[i + 1][j]);
edges.add(new int[] {a, b, w});
}
if(j + 1 < col) {
int a = idx, b = getIdx(i, j + 1);
int w = Math.abs(heights[i][j] - heights[i][j + 1]);
edges.add(new int[] {a, b, w});
}
}
}
// 3.升序
Collections.sort(edges, (a, b) -> a[2] - b[2]);
// 4.遍历
int start = getIdx(0, 0), end = getIdx(row - 1, col - 1);
for(int[] edge : edges) {
int a = edge[0], b = edge[1], w = edge[2];
union(a, b);
if(query(start, end)) {
return w;
}
}
return 0;
}
}
迭代加深
题:863. 二叉树中所有距离为 K 的结点
给定一个二叉树(具有根结点 root), 一个目标结点 target ,和一个整数值 k 。
返回到目标结点 target 距离为 k 的所有结点的值的列表。 答案可以以 任何顺序 返回。
示例 1:
输入:root = [3,5,1,6,2,0,8,null,null,7,4], target = 5, k = 2
输出:[7,4,1]
解释:所求结点为与目标结点(值为 5)距离为 2 的结点,值分别为 7,4,以及 1
示例 2:
输入: root = [1], target = 1, k = 3
输出: []
提示:
节点数在 [1, 500] 范围内
0 <= Node.val <= 500
Node.val 中所有值 不同
目标结点 target 是树上的结点。
0 <= k <= 1000
解:
解题思路:
- 树是一类特殊的图,我们将树转化为图的形式,然后BFS/迭代加深
- 点和边的数量接近 => 稀疏图 => 邻接表
AC代码:
class Solution {
// 树是一类特殊的图,我们将树转化为图的形式,然后BFS/迭代加深
// 点和边的数量接近 => 稀疏图 => 邻接表
int N = 510, M = N * 2;
// 权重均为1
int[] head = new int[N], edge = new int[M], nextEdge = new int[M];
int idx;
void add(int a, int b) {
edge[idx] = b;
nextEdge[idx] = head[a];
head[a] = idx;
idx ++;
}
boolean[] visited = new boolean[N];
public List<Integer> distanceK(TreeNode root, TreeNode target, int k) {
List<Integer> ans = new ArrayList<>();
Arrays.fill(head, -1);
// 存图
dfs(root);
// BFS遍历
Queue<Integer> queue = new LinkedList<>();
queue.offer(target.val);
visited[target.val] = true;
while(!queue.isEmpty() && k >= 0) {
int size = queue.size();
while(size -- > 0) {
int poll = queue.poll();
if(k == 0) {
ans.add(poll);
continue;
}
for(int i = head[poll]; i != -1; i = nextEdge[i]) {
int j = edge[i];
if(!visited[j]) {
queue.offer(j);
visited[j] = true;
}
}
}
k --;
}
return ans;
}
void dfs(TreeNode root) {
if(root == null) return;
if(root.left != null) {
add(root.val, root.left.val);
add(root.left.val, root.val);
dfs(root.left);
}
if(root.right != null) {
add(root.val, root.right.val);
add(root.right.val, root.val);
dfs(root.right);
}
}
}
解题思路:
迭代加深:只需要搜索第K层即可
AC代码:
class Solution {
int N = 510, M = N * 2;
int[] head = new int[N], edge = new int[M], nextEdge = new int[M];
int idx;
void add(int a, int b) {
edge[idx] = b;
nextEdge[idx] = head[a];
head[a] = idx;
idx ++;
}
boolean[] visited = new boolean[N];
public List<Integer> distanceK(TreeNode root, TreeNode target, int k) {
List<Integer> ans = new ArrayList<>();
Arrays.fill(head, -1);
dfs(root);
visited[target.val] = true;
find(target.val, k, 0, ans);
return ans;
}
void dfs(TreeNode root) {
if (root == null) return;
if (root.left != null) {
add(root.val, root.left.val);
add(root.left.val, root.val);
dfs(root.left);
}
if (root.right != null) {
add(root.val, root.right.val);
add(root.right.val, root.val);
dfs(root.right);
}
}
void find(int root, int max, int cur, List<Integer> ans) {
if(cur == max) {
ans.add(root);
return;
}
for(int i = head[root]; i != -1; i = nextEdge[i]) {
int j = edge[i];
if(!visited[j]) {
visited[j] = true;
find(j, max, cur + 1, ans);
}
}
}
}