纯干货 | 机器学习中梯度下降法的分类及对比分析(附源码)

本文涉及的产品
云原生大数据计算服务MaxCompute,500CU*H 100GB 3个月
简介: 本文详细介绍了基于使用数据量的多少,时间复杂度以及算法准确率的不同类型的梯度下降法,并详细说明了3种梯度下降法的比较。
更多深度文章,请关注:https://yq.aliyun.com/cloud

HackerEarth,一家来自印度的创业公司,旨在帮助开发者通过线上编程竞赛获得工作机会。和Github类似,它提供一个多种编程语言的代码交流平台。而HackerEarth blog 上多刊登一些跟大数据、人工智能、机器学习、算法及编程竞赛相关的博文。


引言

      梯度下降法 (Gradient Descent Algorithm,GD) 是为目标函数J(θ),如代价函数(cost function), 求解全局最小值(Global Minimum)的一种迭代算法。本文会详细讨论按照准确性和耗费时间(accuracy and time consuming factor)将梯度下降法进行分类。这个算法在机器学习中被广泛用来最小化目标函数,如下图所示。


为什么使用梯度下降法

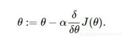
      我们 使用梯度下降法最小化目标函数 J( θ )。在使用梯度下降法时,首先初始化参数值,然后一直改变这些值,直到得到全局最小值。其中,我们计算在每次迭代时计算代价函数的导数,然后使用如下公式同时更新参数值:


α表示学习速率(learning rate)。

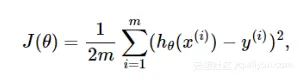
在本文中,考虑使用线性回归linear regression)作为算法实例,当然梯度下降法也可以应用到其他算法,如逻辑斯蒂回归(Logistic regression)和 神经网络(Neural networks)。在线性回归中,我们使用如下拟合函数(hypothesis function):


其中, 是参数, 是输入特征。为了求解线性回归模型,需要找到合适的参数使拟合函数能够更好地适合模型,然后使用梯度下降最小化代价函数J(θ)

代价函数(普通的最小平方差,ordinary least square error)如下所示


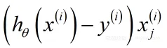
代价函数的梯度(Gradient of Cost function):


参数与代价函数关系如下图所示:


梯度下降法的工作原理

下面的伪代码能够解释其详细原理:
1. 初始化参数值
2. 迭代更新这些参数使目标函数J(θ)不断变小。

梯度下降法的类型

基于如何使用数据计算代价函数的导数,梯度下降法可以被定义为不同的形式(various variants)。确切地说,根据使用数据量的大小the amount of data),时间复杂度time complexity)和算法的准确率accuracy of the algorithm),梯度下降法可分为:

1.       批量梯度下降法Batch Gradient Descent, BGD);

2.       随机梯度下降法Stochastic Gradient Descent, SGD);

3.       小批量梯度下降法Mini-Batch Gradient Descent, MBGD)。

批量梯度下降法原理

      这是梯度下降法的基本类型,这种方法 使用整个数据集( the complete dataset )去计算代价函数的梯度。每次使用全部数据计算梯度去更新参数, 批量梯度下降法会很慢,并且很难处理不能载入内存( don’t fit in memory)的数据集。在随机初始化参数后,按如下方式计算代价函数的梯度:


其中,m是训练样本(training examples)的数量。

Note:

     1. 如果训练集有3亿条数据,你需要从硬盘读取全部数据到内存中;

     2. 每次一次计算完求和后,就进行参数更新;

     3.  然后重复上面每一步;

     4. 这意味着需要较长的时间才能收敛

     5. 特别是因为磁盘输入/输出(disk I/O)是系统典型瓶颈,所以这种方法会不可避免地需要大量的读取。


上图是每次迭代后的等高线图,每个不同颜色的线表示代价函数不同的值。运用梯度下降会快速收敛到圆心,即唯一的一个全局最小值。

批量梯度下降法不适合大数据集。下面的Python代码实现了批量梯度下降法:


1.	import numpy as np  
2.	import random  
3.	def gradient_descent(alpha, x, y, ep=0.0001, max_iter=10000):  
4.	    converged = False  
5.	    iter = 0  
6.	    m = x.shape[0] # number of samples  
7.	  
8.	    # initial theta  
9.	    t0 = np.random.random(x.shape[1])  
10.	    t1 = np.random.random(x.shape[1])  
11.	  
12.	    # total error, J(theta)  
13.	    J = sum([(t0 + t1*x[i] - y[i])**2 for i in range(m)])  
14.	  
15.	    # Iterate Loop  
16.	    while not converged:  
17.	        # for each training sample, compute the gradient (d/d_theta j(theta))  
18.	        grad0 = 1.0/m * sum([(t0 + t1*x[i] - y[i]) for i in range(m)])   
19.	        grad1 = 1.0/m * sum([(t0 + t1*x[i] - y[i])*x[i] for i in range(m)])  
20.	        # update the theta_temp  
21.	        temp0 = t0 - alpha * grad0  
22.	        temp1 = t1 - alpha * grad1  
23.	      
24.	        # update theta  
25.	        t0 = temp0  
26.	        t1 = temp1  
27.	  
28.	        # mean squared error  
29.	        e = sum( [ (t0 + t1*x[i] - y[i])**2 for i in range(m)] )   
30.	  
31.	        if abs(J-e) <= ep:  
32.	            print 'Converged, iterations: ', iter, '!!!'  
33.	            converged = True  
34.	      
35.	        J = e   # update error   
36.	        iter += 1  # update iter  
37.	      
38.	        if iter == max_iter:  
39.	            print 'Max interactions exceeded!'  
40.	            converged = True  
41.	  
42.	    return t0,t1 

随机梯度下降法原理

   批量梯度下降法被证明是一个较慢的算法,所以,我们可以选择随机梯度下降法达到更快的计算。随机梯度下降法的第一步是随机化整个数据集。在每次迭代仅选择一个训练样本去计算代价函数的梯度,然后更新参数。即使是大规模数据集,随机梯度下降法也会很快收敛。 随机梯度下降法得到结果的准确性可能不会是最好的,但是计算结果的速度很快。在随机化初始参数之后,使用如下方法计算代价函数的梯度:

这里m表示训练样本的数量。

如下为随机梯度下降法的伪码:

       1. 进入内循环(inner loop);

       2. 第一步:挑选第一个训练样本并更新参数,然后使用第二个实例;

       3. 第二步:选第二个训练样本,继续更新参数;

       4. 然后进行第三步…直到第n步;

       5. 直到达到全局最小值

如下图所示,随机梯度下降法不像批量梯度下降法那样收敛,而是 游走到接近全局最小值的区域终止


小批量梯度下降法原理

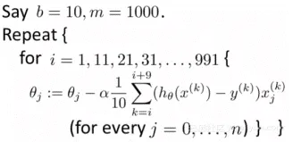
 小批量梯度下降法是最广泛使用的一种算法,该算法每次使用m个训练样本(称之为一批)进行训练,能够更快得出准确的答案。小批量梯度下降法不是使用完整数据集,在每次迭代中仅使用m个训练样本去计算代价函数的梯度。一般小批量梯度下降法所选取的样本数量在50到256个之间,视具体应用而定。

1.这种方法减少了参数更新时的变化,能够更加稳定地收敛。

2.同时,也能利用高度优化的矩阵,进行高效的梯度计算。

随机初始化参数后,按如下伪码计算代价函数的梯度:
这里 b 表示一批训练样本的个数, m 是训练样本的总数。

Notes:

1. 实现该算法时,同时更新参数


2. 学习速率α(也称之为步长)如果α过大,算法可能不会收敛;如果α比较小,就会很容易收敛。


3. 检查梯度下降法的工作过程。画出迭代次数与每次迭代后代价函数值的关系图,这能够帮助你了解梯度下降法是否取得了好的效果。每次迭代后J(θ)应该降低,多次迭代后应该趋于收敛。



4. 不同的学习速率在梯度下降法中的效果


总结

本文详细介绍了不同类型的梯度下降法。这些算法已经被广泛应用于神经网络。下面的图详细展示了3种梯度下降法的比较。




以上为译文

本文由北邮@爱可可-爱生活 老师推荐,阿里云云栖社区组织翻译。

文章原标题《3 Types of Gradient Descent Algorithms for Small & Large Data Sets》,由HackerEarth blog发布。

译者:李烽 ;审校:段志成-海棠

文章为简译,更为详细的内容,请查看原文。中文译制文档下载见此。

相关实践学习
基于MaxCompute的热门话题分析
Apsara Clouder大数据专项技能认证配套课程:基于MaxCompute的热门话题分析
相关文章
|
3月前
|
机器学习/深度学习 分布式计算 Java
Java 大视界 -- Java 大数据机器学习模型在遥感图像土地利用分类中的优化与应用(199)
本文探讨了Java大数据与机器学习模型在遥感图像土地利用分类中的优化与应用。面对传统方法效率低、精度差的问题,结合Hadoop、Spark与深度学习框架,实现了高效、精准的分类。通过实际案例展示了Java在数据处理、模型融合与参数调优中的强大能力,推动遥感图像分类迈向新高度。
|
机器学习/深度学习 算法 数据可视化
机器学习模型中特征贡献度分析:预测贡献与错误贡献
本文将探讨特征重要性与特征有效性之间的关系,并引入两个关键概念:预测贡献度和错误贡献度。
930 3
|
8月前
|
机器学习/深度学习 数据采集 分布式计算
大数据分析中的机器学习基础:从原理到实践
大数据分析中的机器学习基础:从原理到实践
368 3
|
10月前
|
机器学习/深度学习 数据可视化 大数据
机器学习与大数据分析的结合:智能决策的新引擎
机器学习与大数据分析的结合:智能决策的新引擎
576 15
|
10月前
|
机器学习/深度学习 数据采集 运维
机器学习在运维中的实时分析应用:新时代的智能运维
机器学习在运维中的实时分析应用:新时代的智能运维
271 12
|
11月前
|
机器学习/深度学习 分布式计算 算法
【大数据分析&机器学习】分布式机器学习
本文主要介绍分布式机器学习基础知识,并介绍主流的分布式机器学习框架,结合实例介绍一些机器学习算法。
1275 6
|
12月前
|
机器学习/深度学习 数据可视化 数据挖掘
机器学习中空间和时间自相关的分析:从理论基础到实践应用
空间和时间自相关是数据分析中的重要概念,揭示了现象在空间和时间维度上的相互依赖关系。本文探讨了这些概念的理论基础,并通过野火风险预测的实际案例,展示了如何利用随机森林模型捕捉时空依赖性,提高预测准确性。
558 0
机器学习中空间和时间自相关的分析:从理论基础到实践应用
|
12月前
|
数据采集 移动开发 数据可视化
模型预测笔记(一):数据清洗分析及可视化、模型搭建、模型训练和预测代码一体化和对应结果展示(可作为baseline)
这篇文章介绍了数据清洗、分析、可视化、模型搭建、训练和预测的全过程,包括缺失值处理、异常值处理、特征选择、数据归一化等关键步骤,并展示了模型融合技术。
1432 1
模型预测笔记(一):数据清洗分析及可视化、模型搭建、模型训练和预测代码一体化和对应结果展示(可作为baseline)
|
12月前
|
机器学习/深度学习
如何用贝叶斯方法来解决机器学习中的分类问题?
【10月更文挑战第5天】如何用贝叶斯方法来解决机器学习中的分类问题?
|
12月前
|
机器学习/深度学习 存储 自然语言处理
【机器学习】基于逻辑回归的分类预测
【机器学习】基于逻辑回归的分类预测

热门文章

最新文章