【油浸式变压器】在不同气候条件下的油浸式变压器的能量极限研究(Matlab代码实现)

简介: 【油浸式变压器】在不同气候条件下的油浸式变压器的能量极限研究(Matlab代码实现)

💥💥💞💞欢迎来到本博客❤️❤️💥💥

🏆博主优势:🌞🌞🌞博客内容尽量做到思维缜密,逻辑清晰,为了方便读者。

⛳️座右铭:行百里者,半于九十。

⛳️赠与读者

👨‍💻做科研,涉及到一个深在的思想系统,需要科研者逻辑缜密,踏实认真,但是不能只是努力,很多时候借力比努力更重要,然后还要有仰望星空的创新点和启发点。当哲学课上老师问你什么是科学,什么是电的时候,不要觉得这些问题搞笑。哲学是科学之母,哲学就是追究终极问题,寻找那些不言自明只有小孩子会问的但是你却回答不出来的问题。建议读者按目录次序逐一浏览,免得骤然跌入幽暗的迷宫找不到来时的路,它不足为你揭示全部问题的答案,但若能让人胸中升起一朵朵疑云,也未尝不会酿成晚霞斑斓的别一番景致,万一它居然给你带来了一场精神世界的苦雨,那就借机洗刷一下原来存放在那儿的“躺平”上的尘埃吧。

    或许,雨过云收,神驰的天地更清朗.......🔎🔎🔎

💥1 概述

现代电网的现实要求利用来自发电、负荷和储能的灵活性。这些灵活性使系统运营商能够以智能方式调整变压器的负载。因此,通过使用适当的灵活性,可以克服变压器的功率约束。然而,变压器在能量传输方面有一个物理极限,不能越过。这个能量极限代表了变压器的独特负载特性,在给定的环境温度条件下确保最高的能量传输。

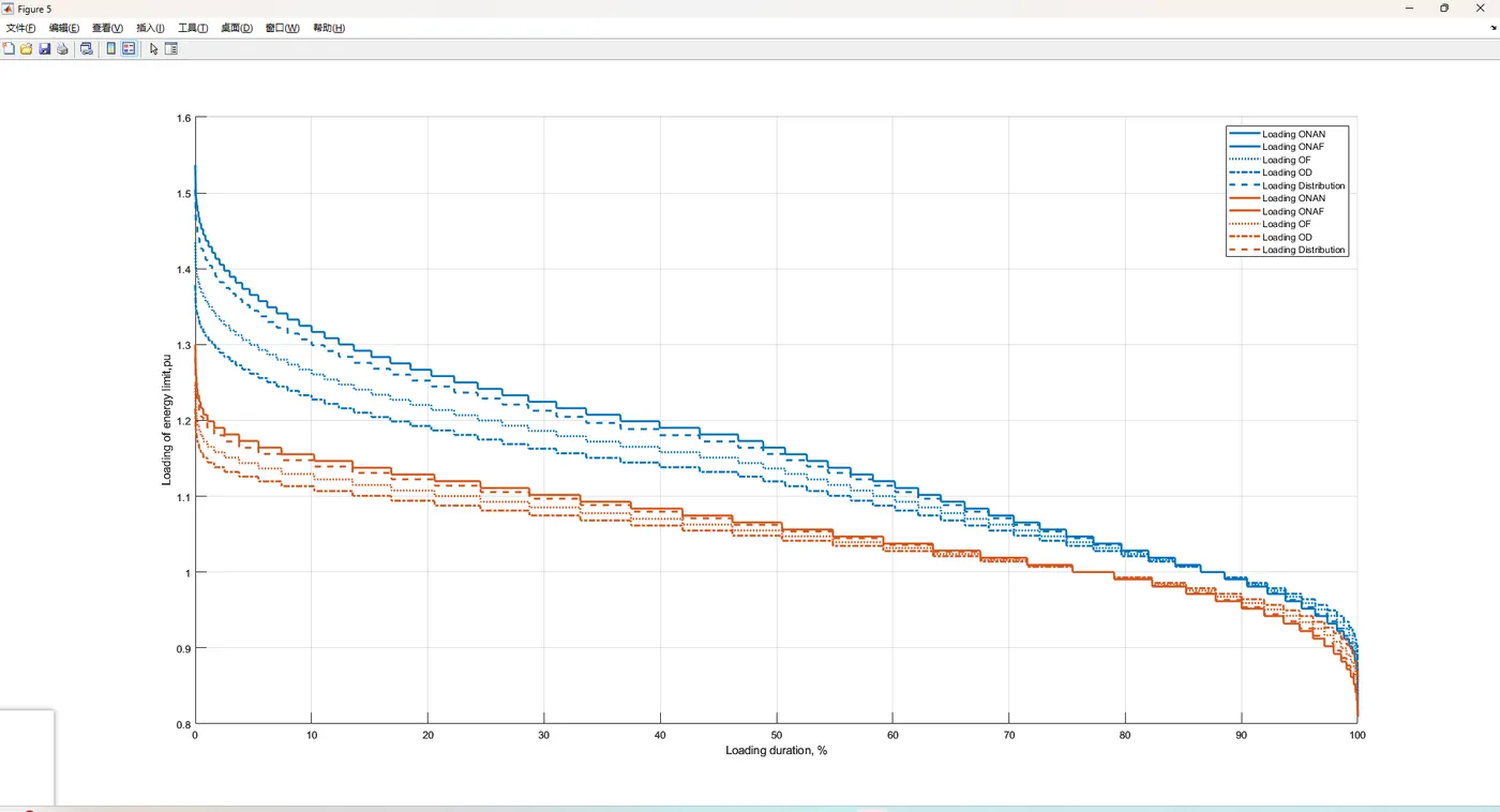
本文解释了如何计算能量极限。在俄罗斯寒冷的大陆气候和法国温暖的温带气候中,估算了能量极限的典型特征。针对每个月份确定了最大、最小和平均负载。为每种冷却系统确定了能量极限的负载持续时间。研究发现,在能量极限下运行的变压器绕组温度保持在设计绕组温度附近。因此,变压器在能量极限下运行可以避免高温应力,同时最大化能量传输。

本文简要解释了能量极限在电力系统问题中的应用。能量极限的应用可以降低能源成本,最大化可再生能源发电量,并增加配电网络的容纳能力。

未来几年,由于可再生能源系统(RES)的整合,拥挤管理变得尤为重要,旨在应对气候变化。例如,欧洲电力传输系统运营商联合会(ENTSO-E)估计,RES的部署将导致欧洲80%的电网拥挤[1]。在美国的一些网络公司中,即使在正常运行下,电力设备已经接近额定负载[2]。与用于缓解拥挤的传统解决方案——网络加固相比,由于成本高、前期时间长和非技术约束,已经变得效率低下。这些非技术约束[2]涉及经济、环境、政治、社会和监管问题。因此,系统运营商被迫探讨其他选项,以确保短期和中期内同时实现RES整合和拥挤管理。

尽管拥挤管理应该同时针对线路和电力变压器,但本文仅关注油浸式变压器。与架空线相比,油浸式变压器可以承受远高于其额定负载的负荷。这可以通过变压器具有较大的油质量和绕组而具有较高的热容量来解释。由于变压器成本高昂且可再生能源的间歇性输出,将电力变压器的规模定为等于RES装机容量并不具有成本效益[3]。因此,最近的研究建议将变压器规模定为低于RES装机容量,使用额定功率和成本较低的变压器热容量[3-10]。专门的IEC标准正在为与RES一起运行的变压器引入。

然而,这种变压器规模的方法可能会导致拥挤,例如,如果新RES设施的互连将超过最初计划的RES容量。即使变压器未被规模不足,仍然可能发生拥挤。例如,到2040年,荷兰由于负荷增长和新发电设施的增加,将有近90%的配电变压器将过载[12]。因此,必须在某些时间段内减少一定比例的RES发电量[13]。这导致RES装机容量的低利用率(降低应对气候变化措施的效率)和/或更换变压器的高成本。然而,现代的主动网络运营策略[12, 14–18]意味着利用来自发电、储能和负荷的灵活性[19],可以最大程度地减少RES的减量以及变压器拥挤。因此,如果应用灵活性,新的RES设施可以与“拥挤”的变压器互连。因此,现代电力系统在特定背景下运行:RES整合、新的变压器规模和主动运营策略(灵活性)等。

1.2 对能量极限调查的动机

尽管主动策略[12, 14–18]具有许多有利之处,但变压器存在一个物理极限,这在理论上使任何主动策略的进一步发展变得低效。我们认为,当变压器达到其能量传输极限时,这种情况就会发生。这个能量极限代表了变压器的独特负载特性,在给定的环境温度条件下确保最高的能量传输。一旦变压器达到能量极限,变压器加固将成为一个不可避免的选项,即使之前通过主动策略或将负荷转移至另一个变电站推迟了这一决定。

值得解释的是为什么过去没有探讨能量极限,以及为什么今天和未来变得相关。过去,没有技术可能性在功率极限之前达到能量极限。换句话说,变压器的负载特性无法完全受控以匹配某种理论负载特性,从而确保最高的能量传输。这就是为什么通常根据给定负载特性的形状来计算变压器极限。例如,在参考文献[20]中,我们发现能够最大化变压器通过给定负载特性传输能量的功率极限。然而,应该注意,获得的功率极限不应被称为能量极限,因为对于给定的负载特性,已经最大化了能量传输,而可能存在另一种负载特性,可以传输更多能量。通过来自发电、负荷和储能的现代灵活性,可以修改负载特性。例如,可以通过增加位于消费者附近的分布式发电的功率输出来削减变压器的峰值负载。另一个选择是通过激活需求响应计划或使用储能进行谷填充来减少变电站负载[21]。这些系统服务已经由新市场参与者——聚合商提供。因此,在现代电力系统中,变压器的负载特性代表着一个可控参数。

能量极限应用的兴趣可以在变压器是限制性元素的问题中找到。例如[23],报告称,位于PJM西部和MISO东部的发电能力受到变压器的限制,无法为PJM运行区域提供负荷。具体来说,Cloverdale变压器被认为是PJM前25个约束之一[24]。2018年Cloverdale变压器的拥挤成本达到了8750万美元,占PJM总拥挤成本的6.7%[24]。与国内运行区域一样,变压器可以减少国家之间的互连容量,就像在欧洲发生的情况[25]。这种变压器拥挤会影响跨境交流和电力系统的发电调度。这对系统运营商非常重要,因为调度解决方案对发电成本有很大影响。例如,FERC估计,全球调度解决方案的改善可以每年节省870亿美元[26]。在国家或国

 

image.gif 编辑

image.gif 编辑

image.gif 编辑

一、油浸式变压器基础结构与工作原理

油浸式变压器依靠绝缘油实现散热与绝缘,核心结构包括:

  1. 铁芯:硅钢片叠压而成,集中磁场并减少涡流损耗(磁滞损耗占空载损耗60%以上)。
  2. 绕组:铜/铝导线分层绕制,通过电磁感应实现电压变换(匝数比决定升/降压)。
  3. 冷却系统
  • 自然油循环(ONAN) :依赖油温差对流散热。
  • 强迫油循环(OFAF/ODAF) :加装风扇或泵增强散热,适用大容量变压器。
  1. 绝缘油作用
  • 绝缘介质(击穿电压≥40kV)
  • 散热介质(比热容约1.8 kJ/kg·K)。

工作原理:一次绕组通交流电→铁芯产生交变磁通→二次绕组感应电动势→电能传输。能量损耗包括 铜损(负载损耗)铁损(空载损耗) ,温升是限制传输能力的核心因素。


二、能量极限的定义与评估标准

能量极限(Energy Limit) 指在特定环境温度下,变压器可安全传输的最大能量值,由绕组热点温度(HST)决定:

  • 核心约束:HST ≤ 98°C(IEC标准,对应A级绝缘寿命20-30年)。
  • 超限后果:绝缘老化加速(温度每升6℃,寿命减半)、油裂解产气、火灾风险。
  • 计算模型 image.gif 编辑

三、气候条件对能量极限的影响机制

(1) 高温气候(>40℃)

  • 散热效率下降
  • 油粘度降低→流动性减弱→自然对流散热效率下降30%以上。
  • 试验数据:40℃环境比10℃时,1.6倍过载可持续时间减少188分钟。
  • 绝缘加速老化
  • 油氧化生成酸性物质→绝缘纸降解→介电强度下降。
  • 铁损增加:高温下硅钢片磁导率下降,涡流损耗上升→能效降低。
  • 能量极限降幅:炎热地区(如法国格勒诺布尔)比寒冷地区传输能量低10%。

(2) 低温气候(<-30℃)

  • 油流动性危机
  • 油粘度剧增→循环阻力增大→散热停滞(凝固点约-45℃)。
  • 水分析出:油中溶解水转为悬浮冰晶→局部放电风险↑。
  • 启动风险
  • 冷启动时机械应力导致焊缝/绝缘脆裂。
  • 建议:-30℃以下需预热至0℃以上再投运。
  • 能量极限增益:寒冷地区(如俄罗斯托姆斯克)可多传输10%能量(低温延缓温升)。

(3) 高湿/盐雾气候

  • 绝缘性能劣化
  • 湿度>90%时,绝缘纸含水率↑→介电强度下降30%。
  • 盐雾中Cl⁻腐蚀绕组接头→接触电阻增大→局部过热。
  • 防护措施
  • 密封油箱 + 耐腐蚀涂层(如全铝外壳)。
  • 沿海地区选用IP65防护等级设备。

四、散热系统在极端气候下的效能变化

冷却方式 高温效能 低温挑战
自然油冷(ONAN) 40℃时散热效率降至60% 油粘度↑→热交换停滞
强迫风冷(OFAF) 风扇效率降,需增辅助冷却 风扇结冰风险
强迫水冷(OFWF) 稳定但依赖水源 管道冻结

极端案例:环境温度从25℃升至40℃时,变频器冷却响应时间从10分钟缩至5分钟,预示变压器类似风险。


五、优化能量极限的技术策略

  1. 材料改进
  • 低温地区用低粘度油(如45#变压器油)。
  • 高湿地区采用环氧树脂浸渍纸增强防潮性。
  1. 智能调控
  • 动态负载:利用热惯性,在低温时段提升负载(寒冷地区平均负载可提高25%)。
  • 冷却系统适配:低温环境关闭多余风扇,高温启用辅助泵。
  1. 状态监测
  • 在线检测油中微水含量(临界值40ppm)。
  • HST实时预警(IEC 60076-7标准)。

六、结论与展望

  • 气候适应性差异:寒冷气候提升能量极限(+10%),高温/高湿气候显著降低传输能力。
  • 未来方向
  • 开发气候自适应冷却系统(如相变材料散热)。
  • 将能量极限模型扩展至电缆、发电机等设备。
  • 电网规划建议:在能源跨区输送中,优先利用寒冷地区变压器的能量极限潜力。

📚2 运行结果

image.gif 编辑

image.gif 编辑

image.gif 编辑

image.gif 编辑

image.gif 编辑

image.gif 编辑

image.gif 编辑

部分代码:

end % end of "for city=1:2 % for Tomsk and Grenoble"

for city=1:2 % for Tomsk and Grenoble

   for cooling=1:length(all_cooling)

       

       for day=1:12506 % for all (12 506) days

           

           % Convert from cell to double format

           if city==1 % Tomsk

               Energy_limit_interm=Result_Tomsk.Energy_limit{day,cooling};

           else % city==2 Grenoble

               Energy_limit_interm=Result_Grenoble.Energy_limit{day,cooling};

           end % end of "city==1 % Tomsk"

           

           % Convert from 1440-min format to 24-hour format. Otherwise

           if length(Energy_limit_interm)==1440 % if the length of vector is 1440

               

               t=60; % 60 min per  hour

🎉3 参考文献

文章中一些内容引自网络,会注明出处或引用为参考文献,

相关文章
|
10天前
|
存储 编解码 算法
【多光谱滤波器阵列设计的最优球体填充】使用MSFA设计方法进行各种重建算法时,图像质量可以提高至多2 dB,并在光谱相似性方面实现了显著提升(Matlab代码实现)
【多光谱滤波器阵列设计的最优球体填充】使用MSFA设计方法进行各种重建算法时,图像质量可以提高至多2 dB,并在光谱相似性方面实现了显著提升(Matlab代码实现)
|
10天前
|
机器学习/深度学习 传感器 算法
【高创新】基于优化的自适应差分导纳算法的改进最大功率点跟踪研究(Matlab代码实现)
【高创新】基于优化的自适应差分导纳算法的改进最大功率点跟踪研究(Matlab代码实现)
98 14
|
10天前
|
机器学习/深度学习 边缘计算 运维
【电能质量扰动】基于ML和DWT的电能质量扰动分类方法研究(Matlab实现)
【电能质量扰动】基于ML和DWT的电能质量扰动分类方法研究(Matlab实现)
79 10
|
10天前
|
机器学习/深度学习 算法
【概率Copula分类器】实现d维阿基米德Copula相关的函数、HACs相关的函数研究(Matlab代码实现)
【概率Copula分类器】实现d维阿基米德Copula相关的函数、HACs相关的函数研究(Matlab代码实现)
|
10天前
|
机器学习/深度学习 传感器 算法
【裂纹检测】检测和标记图片中的裂缝(Matlab代码实现)
【裂纹检测】检测和标记图片中的裂缝(Matlab代码实现)
|
11天前
|
算法 计算机视觉
【MPDR & SMI】失配广义夹角随输入信噪比变化趋势、输出信干噪比随输入信噪比变化趋势研究(Matlab代码实现)
【MPDR & SMI】失配广义夹角随输入信噪比变化趋势、输出信干噪比随输入信噪比变化趋势研究(Matlab代码实现)
|
11天前
|
编解码 人工智能 算法
【采用BPSK或GMSK的Turbo码】MSK、GMSK调制二比特差分解调、turbo+BPSK、turbo+GMSK研究(Matlab代码实现)
【采用BPSK或GMSK的Turbo码】MSK、GMSK调制二比特差分解调、turbo+BPSK、turbo+GMSK研究(Matlab代码实现)
|
11天前
|
机器学习/深度学习 编解码 并行计算
【改进引导滤波器】各向异性引导滤波器,利用加权平均来实现最大扩散,同时保持图像中的强边缘,实现强各向异性滤波,同时保持原始引导滤波器的低低计算成本(Matlab代码实现)
【改进引导滤波器】各向异性引导滤波器,利用加权平均来实现最大扩散,同时保持图像中的强边缘,实现强各向异性滤波,同时保持原始引导滤波器的低低计算成本(Matlab代码实现)
|
11天前
|
机器学习/深度学习 传感器 边缘计算
【故障诊断】基于时滞反馈随机共振的增强型旋转电机故障诊断(Matlab代码实现)
【故障诊断】基于时滞反馈随机共振的增强型旋转电机故障诊断(Matlab代码实现)
|
11天前
|
传感器 机器学习/深度学习 算法
【UASNs、AUV】无人机自主水下传感网络中遗传算法的路径规划问题研究(Matlab代码实现)
【UASNs、AUV】无人机自主水下传感网络中遗传算法的路径规划问题研究(Matlab代码实现)

热门文章

最新文章