配电网中考虑需求响应(Python代码实现)【硕士论文复现】

简介: 基于需求侧响应的配电网供电能力综合评估

  💥💥💞💞欢迎来到本博客❤️❤️💥💥

🏆博主优势:🌞🌞🌞博客内容尽量做到思维缜密,逻辑清晰,为了方便读者。

⛳️座右铭:行百里者,半于九十。

📋📋📋本文内容如下:🎁🎁🎁

⛳️赠与读者

👨‍💻做科研,涉及到一个深在的思想系统,需要科研者逻辑缜密,踏实认真,但是不能只是努力,很多时候借力比努力更重要,然后还要有仰望星空的创新点和启发点。建议读者按目录次序逐一浏览,免得骤然跌入幽暗的迷宫找不到来时的路,它不足为你揭示全部问题的答案,但若能解答你胸中升起的一朵朵疑云,也未尝不会酿成晚霞斑斓的别一番景致,万一它给你带来了一场精神世界的苦雨,那就借机洗刷一下原来存放在那儿的“躺平”上的尘埃吧。

    或许,雨过云收,神驰的天地更清朗.......🔎🔎🔎

💥1 概述

      提高配电网的供电能力以满足用户用电需求已成为我国电网规划亟待解决的问题之一。在含分布式电源的配电网中采用需求侧响应策略,可以在一定程度上降低系统的峰谷差和负荷波动,缓解供电压力。配电网中引入需求侧响应策略后,需求侧响应对配电网供电能力提升的延续性依赖于客户的主观意愿,传统的从技术层面考察系统供电能力的评估体系将不再完全适用。因此,合理制定需求侧响应策略,完善现有供电能力评估体系,科学全面的评估需求侧响应对配电网供电能力的影响,对配电网的规划、运行具有十分重要的指导作用。

      电力客户参与需求侧响应的意愿直接影响需求侧响应策略的实施程度。为了在需求侧响应模型中体现客户的主观意愿,在考虑传统的电价和负荷限制基础上,提出客户舒适性和支出合理性限制条件,通过模糊传递闭包法对峰谷时段进行合理的划分,建立考虑客户舒适性和支出合理性需求侧响应模型,并使用粒子群算法进行电价寻优。

2 考虑客户意愿的分时电价需求侧响应模型

2.1 电价伸缩系数分析

      在经济学领域,通常采用价格伸缩系数来描述商品的需求对于价格敏感程度。电力能源作为商品,同样可以采用伸缩系数来描述电力需求和电价之间的关系。--方面,电价的变化可以影响电力客户的用电行为,进而影响用电量;另一方面,客户用电量的改变,也可以指导供电侧电价的制定,使电力企业获得更高的收益。客户用电量与电价之间的关系采用电价伸缩系数k来表示。k可以定义为客户用电量波动率与价格波动率的比值:

                                  image.gif 编辑

式中,p m 分别表示该时刻初始的用电量和价格,∆p和∆m 分别表示该时刻的用电

量和电价的改变量。

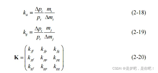
      实际生产生活中,电力客户的用电行受多重因素影响。一方面,当前时段电力价格的变化可能会导致当前时段用电行为的改变,产生了用电量的增减;同时,其他时段的电价变化也会对当前时段客户的用电行为产生影响,即产生了用电量的转移。所以,在分析价格伸缩性时,需要综合考虑上述两种伸缩变化。可定义第 i 时段的自伸缩系数为kii,第 i 时段对第 j 时段的互伸缩系数为kij,如式(2-18)~式(2-19)。在得到自伸缩系数kii和互伸缩系数kij后,则能形成需求侧响应电价伸缩系数矩阵 K,如式

(2-20):

        image.gif 编辑

式中,下角标 fpg 代表伸缩系数归属的不同时间段。

显然地,K 矩阵对角线元素k ff k pp kgg 表征了当前时间电价变化与需求侧用电量之间的相互作用,是自伸缩系数;而矩阵中其他元素则表征了不同时间内电价变化与需求侧用电量的相互作用,是互伸缩系数。进一步地,在采用了分时电价之后,各个时间段用电变化量ΔP ,如式(2-21):

        image.gif 编辑

式中, p m 分别为采用需求侧响应策略之前的用电量和电价。

综上。采用需求侧响应之后各个时间的负荷需求量矩阵为 image.gif 编辑

                                image.gif 编辑

2.2 需求侧响应数学模型

      对于配电网而言,如果在其允许的范围内峰值负荷过大,会导致其转带备用容量

不足,负荷波动率较高,容易影响该配电网的稳定性。同时,通过柯西-施

瓦茨不等式证明了网损与最高-最低负荷比率成正比,即日内负荷的峰谷差越小,系

统线损率越低。可见,缩小电网的高低负荷比率能够有效降低网损,提高系统负荷率,

从而提升设备利用率。

      基于上述分析,设置日最高负荷日最高-最低负荷比率规划目标。因为这两

个目标可以从直观上判断出系统的供电能力,故也可以定义这两个规模目标为系统的

显性供电能力,其值越小,系统的显性供电能力越好。规划目标如式(2-23)~式(2-24):

          image.gif 编辑

式中, image.gif 编辑  image.gif 编辑分别为采用需求侧响应策略之后的峰负荷最大值和峰谷负荷

差最大值。

显然,求解此问题涉及多个规划目标。对于这类问题求解,通常有两种做法,即

将多个规划目标转化为单一目标进行求解或者采用分层序列法。这里对每个目标进行

数据标准化后运用线性加权和法将多个规划目标转化为单一目标;而后设置权系数

µ1 、 µ2 ,有 µ1+µ2=1,作规划目标的线性加权和,得到最终规划目标,如式(2-25):

  image.gif 编辑

式中, image.gif 编辑  image.gif 编辑

分别为采用需求侧响应之前系统的峰负荷最大值和峰谷负荷差最大值。

确定了规划目标之后需要根据电力系统运行特点以及电力市场相关经验设置合

理的边界条件.

2.2.1 主观限制

某些时段过高的价格会导致客户支出过高,所以需要考虑客户负担的合理性,即

在应用需求侧响应策略后客户所需负担的总费用不应升高。据此,定义客户支出合理

性指标 H1,如式(2-26):

          image.gif 编辑

式中, image.gif 编辑 image.gif 编辑分别表示需求侧响应前后第 t 时段客户负担电费值。

      同时,在市场经济中,欲达到供需双方利益的最大化,不仅需要考虑商品的成本

和用户的支出,同时也需要考虑商品是否满足需求方的舒适性。分析需求侧响应策略

的削峰填谷作用可知,微观上,在采用需求侧响应策略之后,一部分客户会根据分时

电价调整自身的用电安排,这会导致自身的舒适性降低,而使个人日用电需求曲线变

的平缓;宏观上,电力日负荷曲线是全体电力客户当日用电情况的集中反映,当部分

用户因参与需求侧响应而使得用电曲线变的平缓时,电网的日负荷曲线会随之变的平

缓,日负荷标准差也会相应减小。

     通过上述分析可知,负荷曲线的标准差可以从一定程度上体现客户对于需求侧响

应的参与度。随着参与度的提升,负荷曲线的标准差也会在一定程度上减小,但是客

户被迫调整或者削减原有的用电安排的情况就会越多,导致舒适性降低。基于上述分

析,定义客户舒适性指标 H2如式(2-27):

image.gif 编辑

2.2.2 客观限制

根据经济学相关知识可知,通常情况下商品的价格量是一个合理范围内的正数;

同时,对于客户而言,为保证正常的生产生活用电需求,电力负荷高峰时的电费不可

以过高;而对于供电企业而言,为保证盈利,则在电力负荷低谷时电费不能过低;此

外,根据电力市场相关经验易知,商品定价时需要保证一定的价格梯度,即低谷时刻

价格须比平时价格低,且平时价格也须比高峰时段价格低。客观价格边界条件如式(2-

31):

image.gif 编辑

此外,在采用需求侧响应策略之后,为使效益最大化时不造成容量浪费,需要尽

可能的保持配电网内部负荷值不小于原始配电网内部的负荷值,如式(2-32):

image.gif 编辑

2.3 基于 PSO 算法的需求响应模型

      image.gif 编辑

3 案例

3.1 数据

文章末尾下载。

3.2 基础数据绘图  

#!/usr/bin/env python3
# -*- coding: utf-8 -*-
import numpy as np
import matplotlib.pyplot as plt
import matplotlib as mpl
mpl.rcParams['font.sans-serif'] = ['SimHei']  # 指定默认字体
mpl.rcParams['axes.unicode_minus'] = False  # 解决保存图像是负号'-'显示为方块的问题
import matplotlib;
matplotlib.use('TkAgg')  #解决在PyCharm中不显示绘图;
'''matplotlib的use()命令其实是用来配置matplotlib的backend (后端)的命令
也就是说,Pycharm运行的时候,默认的后端是Qt5Agg。
实际上,Agg 渲染器是非交互式的后端,没有GUI界面,所以不显示图片,它是用来生成图像文件。
Qt5Agg 是意思是Agg渲染器输出到Qt5绘图面板,它是交互式的后端,拥有在屏幕上展示的能力3。'''
Pload=np.array([0.6,0.58, 0.55, 0.54, 0.55, 0.59, 0.68,
 0.88, 0.92, 0.94, 0.93, 0.92, 0.9, 0.85,
 0.85, 0.85, 0.87, 0.93, 0.93, 0.92, 0.85, 0.84, 0.8, 0.7])
plt.plot(Pload,label="负荷")
plt.xticks(np.arange(0,24,1),np.arange(1,25,1))
plt.xlabel('t/hour',fontsize=18)    #字体大小18
plt.ylabel('负荷/MW',fontsize=18)
plt.legend()
plt.show()
PF=0.5*np.array([0.03, 0.016, 0.010, 0.008, 0.004, 0.003,
 0.01049, 0.004, 0.08, 0.06,   0.074,  0.057,
 0.0617, 0.05, 0.057, 0.050, 0.042, 0.029,
 0.0458, 0.031, 0.012, 0.036, 0.029, 0.029])
PS=0.5*np.array([0, 0,0,0,0,0.01613917,
 0.02322205, 0.05175432, 0.0313843,  0.05591635, 0.0545465,  0.05789205,
 0.05384659, 0.04837572, 0.04980761, 0.06190041, 0.03408133, 0,
 0,  0,0,0, 0, 0])
plt.plot(PF,marker='d',linestyle='--',linewidth=2,label="风机")
plt.plot(PS,color='r',marker='*',linestyle='-',linewidth=2,label="光伏")
plt.xticks(np.arange(0,24,1),np.arange(1,25,1))
plt.xlabel('t/hour',fontsize=18)
plt.ylabel('负荷/MW',fontsize=18)
plt.legend()
plt.show()

image.gif

      image.gif 编辑

        image.gif 编辑

image.gif 编辑

🎉3 参考文献

文章中一些内容引自网络,会注明出处或引用为参考文献,难免有未尽之处,如有不妥,请随时联系删除。(文章内容仅供参考,具体效果以运行结果为准)

[1]魏鹏飞.基于需求侧响应的配电网供电能力综合评估[J].水电能源科学, 2019, 37(10):6.DOI:CNKI:SUN:SDNY.0.2019-10-045.

🌈4 Matlab完整代码、数据、文章下载

资料获取,更多粉丝福利,MATLAB|Simulink|Python资源获取

                                                          image.gif 编辑

相关文章
|
5月前
|
弹性计算 Devops Shell
用阿里云 DevOps Flow 实现 ECS 部署自动化:从准备到落地的完整指南
阿里云 DevOps Flow 是一款助力开发者实现自动化部署的高效工具,支持代码流水线构建、测试与部署至ECS实例,显著提升交付效率与稳定性。本文详解如何通过 Flow 自动部署 Bash 脚本至 ECS,涵盖环境准备、流水线搭建、源码接入、部署流程设计及结果验证,助你快速上手云上自动化运维。
492 0
|
存储 算法 vr&ar
精通 Python OpenCV4:第二部分
精通 Python OpenCV4:第二部分
364 0
|
3月前
|
Java Nacos Sentinel
Spring Cloud Alibaba 深度实战:Nacos + Sentinel + Gateway 整合指南
本指南深入整合Spring Cloud Alibaba核心组件:Nacos实现服务注册与配置管理,Sentinel提供流量控制与熔断降级,Gateway构建统一API网关。涵盖环境搭建、动态配置、服务调用与监控,助你打造高可用微服务架构。(238字)
1149 10
|
Linux 芯片 开发者
|
5月前
|
人工智能 JavaScript 开发工具
极速上手!Claude Code 原生支持 Windows 免WSL安装教程
Claude Code 现已支持 Windows 原生运行,无需 WSL 配置。本文提供详细安装教程,涵盖 Node.js 环境验证、Git 安装及 Claude Code 配置步骤,助你快速上手这一强大 AI 编程工具。
4075 5
|
8月前
|
开发者
详解仓颉开发语言中的日志打印问题
本文介绍了仓颉开发语言中的日志打印机制及常见问题。由于仓颉尚处于早期阶段,日志功能存在一定“坑点”。例如,AppLog.info在模拟器中不显示日志,需真机查看;而Hilog则可在模拟器正常打印。此外,VSCode与DevEco创建的项目默认打印方式不同,使用时需注意区分。了解这些细节有助于开发者更高效调试代码。
|
6月前
|
消息中间件 自然语言处理 运维
微服务不是银弹!这4个设计原则让你少踩90%的坑
本文深入解析微服务架构与领域驱动设计(DDD)的核心理念与实践方法,帮助开发者正确拆分服务边界,避免常见误区,提升系统可维护性与扩展性,适用于复杂业务场景下的高效开发与团队协作。
633 1
|
6月前
|
JSON API 定位技术
公交线路站点查询API接口详解:免费获取全国公交路线数据
公交线路站点查询API提供全国公交数据,支持线路编号查询路线、站点、票价及运营时间。具备GET/POST请求方式,免费调用,适用于公交App、智慧交通及地图导航等场景。
695 4
|
数据采集 数据可视化
国内77个城市建筑物轮廓(带高度)数据分享(附百度网盘)
国内77个城市建筑物轮廓(带高度)数据分享(附百度网盘)
2090 1
|
JavaScript 前端开发 API
【Vue面试题三十一】、你是怎么处理vue项目中的错误的?
这篇文章讨论了Vue项目中错误的处理方式,包括后端接口错误和代码逻辑错误的处理策略。文章详细介绍了如何使用axios的拦截器处理后端接口错误,以及Vue提供的全局错误处理函数`errorHandler`和生命周期钩子`errorCaptured`来处理代码中的逻辑错误。此外,还分析了Vue错误处理的源码,解释了`handleError`、`globalHandleError`、`invokeWithErrorHandling`和`logError`函数的作用和处理流程。
【Vue面试题三十一】、你是怎么处理vue项目中的错误的?