厨房里总共有 n 个橘子,你决定每一天选择如下方式之一吃这些橘子:
- 吃掉一个橘子。
- 如果剩余橘子数
n能被 2 整除,那么你可以吃掉n/2个橘子。 - 如果剩余橘子数
n能被 3 整除,那么你可以吃掉2*(n/3)个橘子。
每天你只能从以上 3 种方案中选择一种方案。
请你返回吃掉所有 n 个橘子的最少天数。
示例 1:
输入:n = 10 输出:4 解释:你总共有 10 个橘子。 第 1 天:吃 1 个橘子,剩余橘子数 10 - 1 = 9。 第 2 天:吃 6 个橘子,剩余橘子数 9 - 2*(9/3) = 9 - 6 = 3。(9 可以被 3 整除) 第 3 天:吃 2 个橘子,剩余橘子数 3 - 2*(3/3) = 3 - 2 = 1。 第 4 天:吃掉最后 1 个橘子,剩余橘子数 1 - 1 = 0。 你需要至少 4 天吃掉 10 个橘子。
示例 2:
输入:n = 6 输出:3 解释:你总共有 6 个橘子。 第 1 天:吃 3 个橘子,剩余橘子数 6 - 6/2 = 6 - 3 = 3。(6 可以被 2 整除) 第 2 天:吃 2 个橘子,剩余橘子数 3 - 2*(3/3) = 3 - 2 = 1。(3 可以被 3 整除) 第 3 天:吃掉剩余 1 个橘子,剩余橘子数 1 - 1 = 0。 你至少需要 3 天吃掉 6 个橘子。
示例 3:
输入:n = 1 输出:1
示例 4:
输入:n = 56 输出:6
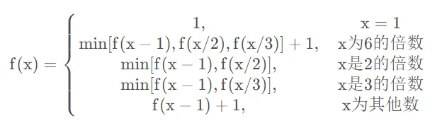
思考:对于这个题,假定“吃掉一个橘子”为“操作1”,“吃掉 n/2 个橘子”为“操作2”,“吃掉 2*(n/3) 个橘子”为“操作3”。
我们首先可以猜想一下,尽量多用操作2和操作3,对于操作1尽量少用。
同时可以总结一个公式
这个证明参照官方题解
class Solution { HashMap<Integer, Integer> map = new HashMap<>(1024); public int minDays(int n) { if (n <= 1) { return n; } if (map.containsKey(n)) { return map.get(n); } map.put(n,Math.min(n % 2 + 1 + minDays(n / 2),n % 3 + 1 + minDays(n / 3))); return map.get(n); } }
在这里要说明一点,这里用的是记忆化搜索,每次需要用到上次map.put()的结果,因此需要将HashMap作为全局变量,否则放到里面去,如下
class Solution { public int minDays(int n) { HashMap<Integer, Integer> map = new HashMap<>(1024); if (n <= 1) { return n; } if (map.containsKey(n)) { return map.get(n); } map.put(n,Math.min(n % 2 + 1 + minDays(n / 2),n % 3 + 1 + minDays(n / 3))); return map.get(n); } }
提交就会报错
因此算法小白的我在这儿涨个经验教训,记忆化搜索用到的集合类型之类的尽量用全局变量。

