1. 二叉搜索树的最近公共祖先
给定一个二叉搜索树, 找到该树中两个指定节点的最近公共祖先。
百度百科中最近公共祖先的定义为:“对于有根树 T 的两个结点 p、q,最近公共祖先表示为一个结点 x,满足 x 是 p、q 的祖先且 x 的深度尽可能大(一个节点也可以是它自己的祖先)。”
例如,给定如下二叉搜索树: root = [6,2,8,0,4,7,9,null,null,3,5]
示例 1:
输入: root = [6,2,8,0,4,7,9,null,null,3,5], p = 2, q = 8
输出: 6
解释: 节点 2 和节点 8 的最近公共祖先是 6。
示例 2:
输入: root = [6,2,8,0,4,7,9,null,null,3,5], p = 2, q = 4
输出: 2
解释: 节点 2 和节点 4 的最近公共祖先是 2, 因为根据定义最近公共祖先节点可以为节点本身。
说明:
所有节点的值都是唯一的。
p、q 为不同节点且均存在于给定的二叉搜索树中。
出处:
https://edu.csdn.net/practice/26945721
代码:
importjava.util.*; importjava.util.LinkedList; publicclasslowestCommonAncestor { publicfinalstaticintNULL=Integer.MIN_VALUE; //用NULL来表示空节点publicstaticclassTreeNode { intval; TreeNodeleft; TreeNoderight; TreeNode(intx) { val=x; } } publicstaticclassSolution { publicTreeNodelowestCommonAncestor(TreeNoderoot, TreeNodep, TreeNodeq) { if (p.val<root.val&&q.val<root.val) returnlowestCommonAncestor(root.left, p, q); elseif (p.val>root.val&&q.val>root.val) returnlowestCommonAncestor(root.right, p, q); elsereturnroot; } } publicstaticTreeNodecreateBinaryTree(Vector<Integer>vec) { if (vec==null||vec.size() ==0) { returnnull; } Queue<TreeNode>queue=newLinkedList<>(); TreeNoderoot=newTreeNode(vec.get(0)); queue.offer(root); inti=1; while (!queue.isEmpty()) { intsize=queue.size(); for (intj=0; j<size; j++) { TreeNodenode=queue.poll(); if (i<vec.size() &&vec.get(i) !=NULL) { node.left=newTreeNode(vec.get(i)); queue.offer(node.left); } i++; if (i<vec.size() &&vec.get(i) !=NULL) { node.right=newTreeNode(vec.get(i)); queue.offer(node.right); } i++; } } returnroot; } publicstaticvoidmain(String[] args) { Solutions=newSolution(); Integer[] nums= {6,2,8,0,4,7,9,NULL,NULL,3,5}; Vector<Integer>vec=newVector<Integer>(Arrays.asList(nums)); TreeNoderoot=createBinaryTree(vec); TreeNodep=newTreeNode(2); TreeNodeq=newTreeNode(8); System.out.println(s.lowestCommonAncestor(root, p, q).val); Integer[] nums2= {6,2,8,0,4,7,9,NULL,NULL,3,5}; vec=newVector<Integer>(Arrays.asList(nums2)); root=createBinaryTree(vec); p=newTreeNode(2); q=newTreeNode(4); System.out.println(s.lowestCommonAncestor(root, p, q).val); } }
输出:
6
2
2. 随机分组问题
已知有16只男子足球队参加2008年奥运会。写一段程序将球队随机分成4组
出处:
https://edu.csdn.net/practice/26945722
代码:
import java.util.*; class StringToDateDemo { public static void main(String args[]) { ArrayList<String> teams = new ArrayList<String>() { { add("a"); add("b"); add("c"); add("d"); add("e"); add("f"); add("g"); add("h"); add("i"); add("j"); add("k"); add("l"); add("m"); add("n"); add("o"); add("p"); } }; Collections.shuffle(teams); ArrayList<String> group1 = new ArrayList<String>(); ArrayList<String> group2 = new ArrayList<String>(); ArrayList<String> group3 = new ArrayList<String>(); ArrayList<String> group4 = new ArrayList<String>(); group1.addAll(teams.subList(0, teams.size() / 4 + teams.size() % 4)); group2.addAll(teams.subList(teams.size() / 4 + teams.size() % 4, 2 * teams.size() / 4 + teams.size() % 4)); group3.addAll(teams.subList(2*teams.size() / 4 + teams.size() % 4, 3 * teams.size() / 4 + teams.size() % 4)); group4.addAll(teams.subList(3*teams.size() / 4 + teams.size() % 4, teams.size())); } }
输出:(随机)
[h, a, i, n]
[j, l, k, e]
[b, p, g, c]
[o, d, f, m]
Tips: 因为是连续字母,ArrayList<String> teams 用循环赋值即可。
ArrayList<String> teams = new ArrayList<>(); for (int i = 0; i < 16; i++) { teams.add(String.valueOf((char)(i + 'a'))); }
3. K 个一组翻转链表
给你一个链表,每 k 个节点一组进行翻转,请你返回翻转后的链表。
k 是一个正整数,它的值小于或等于链表的长度。
如果节点总数不是 k 的整数倍,那么请将最后剩余的节点保持原有顺序。
进阶:
- 你可以设计一个只使用常数额外空间的算法来解决此问题吗?
- 你不能只是单纯的改变节点内部的值,而是需要实际进行节点交换。
示例 1:
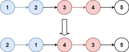
输入:head = [1,2,3,4,5], k = 2
输出:[2,1,4,3,5]
示例 2:
输入:head = [1,2,3,4,5], k = 3
输出:[3,2,1,4,5]
示例 3:
输入:head = [1,2,3,4,5], k = 1
输出:[1,2,3,4,5]
示例 4:
输入:head = [1], k = 1
输出:[1]
提示:
列表中节点的数量在范围 sz 内
1 <= sz <= 5000
0 <= Node.val <= 1000
1 <= k <= sz
以下程序实现了这一功能,请你填补空白处内容:
```Java
public class ListNode { int val; ListNode next; ListNode() { } ListNode(int val) { this.val = val; } ListNode(int val, ListNode next) { this.val = val; this.next = next; } } class Solution { public ListNode reverseKGroup(ListNode head, int k) { if (head == null) { return null; } ListNode a = head, b = head; for (int i = 0; i < k; i++) { if (b == null) { return a; } b = b.next; } ListNode newHead = reverse(a, b); a.next = reverseKGroup(b, k); return newHead; } public ListNode reverse(ListNode a, ListNode b) { ListNode pre, cur, nxt; pre = null; cur = a; nxt = a; while (nxt != b) { __________________; } return pre; } } ```
出处:
https://edu.csdn.net/practice/26945723
代码:
import java.util.*; import java.util.LinkedList; public class reverseKGroup { public static class ListNode { int val; ListNode next; ListNode() { } ListNode(int val) { this.val = val; } ListNode(int val, ListNode next) { this.val = val; this.next = next; } } public static class Solution { public ListNode reverseKGroup(ListNode head, int k) { if (head == null) { return null; } ListNode a = head, b = head; for (int i = 0; i < k; i++) { if (b == null) { return a; } b = b.next; } ListNode newHead = reverse(a, b); a.next = reverseKGroup(b, k); return newHead; } public ListNode reverse(ListNode a, ListNode b) { ListNode pre, cur, nxt; pre = null; cur = a; nxt = a; while (nxt != b) { nxt = cur.next; cur.next = pre; pre = cur; cur = nxt; } return pre; } } public static ListNode createLinkedList(int[] nums) { if (nums == null || nums.length == 0) { return null; } ListNode head = new ListNode(nums[0]); ListNode cur = head; for (int i = 1; i < nums.length; i++) { cur.next = new ListNode(nums[i]); cur = cur.next; } return head; } public static void printLinkedList(ListNode head) { ListNode cur = head; while (cur != null) { System.out.print(cur.val + "->"); cur = cur.next; } System.out.println("null"); } public static void main(String[] args) { Solution s = new Solution(); int[] nums = {1,2,3,4,5}; ListNode head = createLinkedList(nums); printLinkedList(head); printLinkedList(s.reverseKGroup(head, 2)); head = createLinkedList(nums); printLinkedList(s.reverseKGroup(head, 3)); head = createLinkedList(nums); printLinkedList(s.reverseKGroup(head, 1)); } }
输出:
1->2->3->4->5->null
2->1->4->3->5->null
3->2->1->4->5->null
1->2->3->4->5->null


