区块链技术中的哈希指针

简介: 区块链技术中的哈希指针

哈希指针:

指针保存的是本地内存的地址,那么只是在本地这台计算机上才有意义,发送到其他计算机上就没有意义了。那么在发布区块的时候哈希指针是怎么能够通过网络进行传输呢?

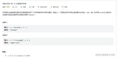
所谓的哈希指针只是一种形象的说法,实际系统中用的时候只有哈希,没有指针。回顾一下之前看到的block header的数据结构,如图(第1分第39秒)。第25行就是指向前一个区块的哈希,没有指针。block header里只有哈希值,没有指针。

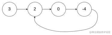
那么怎么才能找到前一个区块的内容呢?全节点一般是把这些区块存储在一个(key,value)数据库里面。key是区块的哈希,value就是区块的内容。一个常用的key value数据库是level DB。所谓的区块链这种链表结构实际上是在level DB里面用哈希值算出来的。只要你掌握了最后一个区块的哈希值,那么你通过level DB的查找,哈希值key对应的value就可以把最后一个区块的内容取出来。然后这个区块块头里面,又有指向前一个区块的哈希值。那么再去查找key和value,可以找到前一个区块的内容,以此类推,一步一步往前找,最终能够把整个区块链都找出来。

所以说在实际系统当中,所谓的哈希指针,只有哈希,没有指针,或者也可以认为哈希值的本身就是指针。

有一些节点没有保存完整的区块链的信息,只保存了最近的几千个区块,如果需要用到前面的区块的信息可以问其他的全节点要。哈希指针的性质保证了整个区块链的内容是不可篡改的。

目录
相关文章
|
9月前
|
存储 供应链 API
区块链技术在电商API中的应用:保障数据安全与交易透明
区块链技术在电商API中的应用,为数据安全与交易透明提供了新方案。通过数据加密、分布式存储、智能合约管理、商品溯源及实时结算等功能,有效提升电商数据安全性与交易可信度。然而,技术成熟度、隐私保护和监管合规等挑战仍需克服。未来,随着物联网、大数据等技术融合及政策支持,区块链将在电商领域发挥更大潜力,推动行业智能化发展。
|
10月前
|
传感器 人工智能 算法
聚焦“以技术集成支撑单亩价值创造”与“增加值分配机制区块链存证确权”两大核心本质
“振兴链-技术集成科技小院”以技术集成与区块链为核心,推动农业现代化。通过多维度技术整合(如精准农业、物联网等),突破资源约束,最大化单亩产值;同时利用区块链确权存证,建立透明分配机制,解决传统农业中收益不均问题。技术赋能生产,制度重塑分配,实现效率与公平的平衡,助力乡村振兴与产业升级。典型场景显示,该模式可显著提升单亩价值并确保增值公平分配。
|
5月前
|
供应链 安全 算法
区块链技术探索与应用:从密码学奇迹到产业变革引擎
🌟蒋星熠Jaxonic,技术宇宙中的星际旅人。以代码为舟,算法为帆,在区块链的浩瀚星河中探索去中心化的未来。从智能合约到DeFi,用极客精神谱写信任新篇章。
区块链技术探索与应用:从密码学奇迹到产业变革引擎
|
6月前
|
人工智能 安全 数据可视化
数字孪生 + 区块链:MyEMS 引领能源管理技术融合新趋势
MyEMS融合数字孪生与区块链技术,打造可信、透明、高效的能源管理新范式。通过实时镜像、智能预测与数据上链,实现能耗可追溯、碳排可验证、交易可信任,推动能源管理迈向智能化与价值化新时代。(238字)
274 1
|
存储 安全 算法
深入探讨区块链技术的安全性
深入探讨区块链技术的安全性
777 103
|
9月前
|
存储 安全 API
区块链技术:为电商API接口应用前景筑牢安全与效率之基
区块链技术凭借其去中心化、透明性、安全性和不可篡改性,为电商API接口带来了全新机遇。它可提升数据安全性、增强交易透明度、优化供应链管理,并降低运营成本。应用场景包括数据加密传输、分布式存储、智能合约权限管理、商品溯源防伪及实时结算。尽管面临性能、隐私保护与监管等挑战,随着技术进步与融合创新,区块链将在电商API中实现更智能、高效的应用,推动行业变革升级。
|
安全 区块链 数据安全/隐私保护
区块链技术在跨境支付中的应用:打破传统,畅行全球支付新时代
区块链技术在跨境支付中的应用:打破传统,畅行全球支付新时代
1553 12
区块链技术在跨境支付中的应用:打破传统,畅行全球支付新时代
|
安全 算法 区块链
当量子计算遇上区块链:未来技术的双刃剑
当量子计算遇上区块链:未来技术的双刃剑
549 16
|
存储 供应链 物联网
区块链技术的未来发展趋势:革新、挑战与机遇
区块链技术的未来发展趋势:革新、挑战与机遇
654 8
|
供应链 算法 安全
探索区块链技术中的隐私保护机制
探索区块链技术中的隐私保护机制
540 27

热门文章

最新文章