【微电网优化调度】基于鳗鱼和石斑鱼优化算法(EGO)的微电网优化调度研究(Matlab代码实现)

简介: 【微电网优化调度】基于鳗鱼和石斑鱼优化算法(EGO)的微电网优化调度研究(Matlab代码实现)

  💥💥💞💞欢迎来到本博客❤️❤️💥💥

🏆博主优势:🌞🌞🌞博客内容尽量做到思维缜密,逻辑清晰,为了方便读者。

⛳️座右铭:行百里者,半于九十。

📋📋📋本文内容如下:🎁🎁🎁

⛳️赠与读者

👨‍💻做科研,涉及到一个深在的思想系统,需要科研者逻辑缜密,踏实认真,但是不能只是努力,很多时候借力比努力更重要,然后还要有仰望星空的创新点和启发点。建议读者按目录次序逐一浏览,免得骤然跌入幽暗的迷宫找不到来时的路,它不足为你揭示全部问题的答案,但若能解答你胸中升起的一朵朵疑云,也未尝不会酿成晚霞斑斓的别一番景致,万一它给你带来了一场精神世界的苦雨,那就借机洗刷一下原来存放在那儿的“躺平”上的尘埃吧。

    或许,雨过云收,神驰的天地更清朗.......🔎🔎🔎

💥1 概述

基于鳗鱼和石斑鱼优化算法(EGO)的微电网优化调度研究

一、研究背景与意义

随着全球能源结构的转型,清洁能源的比重逐渐增加,微电网作为一种灵活、可靠的能源系统,能够有效整合分布式能源资源,满足能源结构转型的需求。然而,微电网内包含多种能源资源,如太阳能、风能、生物质能等,其调度面临多源异构能源集成、调度实时性要求高、调度复杂度增加等挑战。传统优化方法在处理微电网调度中的多目标优化、不确定性因素等问题时存在局限性,因此需要引入先进的智能算法来提高调度决策的准确性和效率。

鳗鱼和石斑鱼优化器(Eel and Grouper Optimizer, EGO)是2024年提出的一种智能优化算法,其灵感来自海洋生态系统中鳗鱼和石斑鱼的共生相互作用和觅食策略。EGO算法具有全局搜索能力强、对目标函数假设条件少等优点,适用于复杂非线性函数的优化,为微电网优化调度提供了新的解决方案。

二、微电网优化调度问题分析

(一)微电网系统组成

微电网通常由分布式电源(如光伏、风电、微型燃气轮机等)、储能装置(如电池、超级电容等)、负荷(包括居民负荷、工业负荷等)以及监控和保护装置等组成。这些组件相互协作,共同实现微电网的稳定运行。

(二)优化调度目标

  1. 能源效率最大化:通过优化调度策略,实现微电网内部能源的高效利用,降低能源消耗,提升整体能源转换效率。
  2. 成本最小化:在保证供电质量的前提下,通过智能算法降低运行成本,包括设备维护成本、能源采购成本等。
  3. 可再生能源最大化利用:推动微电网对太阳能、风能等可再生能源的集成与利用,提高可再生能源在微电网中的比例。
  4. 系统可靠性提升:通过调度策略,微电网可以在局部故障时快速切换至备用电源,提高系统的可靠性,保障电力供应的连续性。

(三)调度面临的挑战

  1. 多源异构能源集成:微电网内集成多种能源,如何实现这些能源的协调调度,是微电网调度面临的一大挑战。
  2. 调度实时性要求高:微电网调度需要实时响应系统状态变化,对调度算法的实时性和准确性要求较高。
  3. 不确定性因素处理:光伏、风电等可再生能源出力以及负荷需求存在不确定性,调度算法需要能够有效处理这些不确定性因素。
  4. 多目标优化冲突:经济性与环保性目标往往存在冲突,如增加光伏出力可减少碳排放,但可能因出力波动需从主网购电增加成本,需找到帕累托最优解。

三、EGO算法原理与优势

(一)EGO算法原理

EGO算法是一种基于Kriging模型的全局优化算法,其核心思想是通过构建Kriging模型来近似目标函数,并利用Kriging模型的预测值和置信区间来指导搜索方向。具体步骤如下:

  1. 初始化:随机生成初始种群,计算每个个体的目标函数值。
  2. 构建Kriging模型:根据初始种群的目标函数值,构建Kriging模型来近似目标函数。
  3. 搜索方向确定:利用Kriging模型的预测值和置信区间,确定搜索方向,选择最有潜力的个体进行进一步搜索。
  4. 更新种群:根据搜索结果更新种群,重复步骤2-4,直到满足终止条件。

(二)EGO算法优势

  1. 全局搜索能力强:EGO算法能够有效地搜索最优参数组合,避免陷入局部最优。
  2. 对目标函数假设条件少:适用于复杂非线性函数的优化,能够处理微电网调度中的复杂优化问题。
  3. 鲁棒性好:对不确定性因素具有一定的容忍度,能够提高调度策略的适应性和鲁棒性。

四、基于EGO算法的微电网优化调度模型构建

(一)模型假设

  1. 微电网内各分布式电源、储能装置和负荷的运行状态可实时监测。
  2. 光伏、风电等可再生能源的出力可通过历史数据和气象信息进行预测。
  3. 负荷需求可通过历史数据和用户行为模式进行预测。

(二)目标函数

基于EGO算法的微电网优化调度模型的目标函数可设置为日运行成本最小化,包括能源采购成本、设备维护成本等。同时,可考虑将可再生能源利用率、碳排放量等作为辅助目标,通过多目标优化方法实现综合优化。

(三)约束条件

  1. 功率平衡约束:微电网内各分布式电源的出力、储能装置的充放电功率以及与主网的交互功率需满足负荷需求。
  2. 设备出力限制:各分布式电源的出力需在额定范围内,储能装置的充放电功率也需满足其最大充放电功率限制。
  3. 储能状态约束:储能装置的荷电状态(SOC)需在调度周期始末保持一致,以满足循环调度的需求,同时需满足储能容量的最大最小限值,以延长储能寿命。
  4. 不确定性约束:考虑光伏、风电等可再生能源出力以及负荷需求的不确定性,引入不确定性调节参数,调节最优解的保守性。

(四)EGO算法在模型中的应用

  1. 参数优化:利用EGO算法对微电网优化调度模型中的关键参数进行优化,如分布式电源的出力分配、储能装置的充放电策略等。
  2. 不确定性处理:通过EGO算法的全局搜索能力,处理可再生能源出力以及负荷需求的不确定性,提高调度策略的鲁棒性。
  3. 多目标优化:结合多目标优化方法,利用EGO算法寻找帕累托最优解集,为决策者提供不同目标组合下的调度方案。

五、仿真实验与结果分析

(一)仿真平台搭建

基于MATLAB平台搭建微电网仿真系统,包括分布式电源模型、储能装置模型、负荷模型以及监控和保护装置模型等。同时,集成EGO算法模块,实现微电网优化调度的仿真计算。

(二)实验参数设置

设置仿真实验的参数,包括微电网内各分布式电源的额定功率、储能装置的容量和充放电效率、负荷需求曲线等。同时,设置EGO算法的参数,如种群规模、最大迭代次数、不确定性调节参数等。

(三)实验结果分析

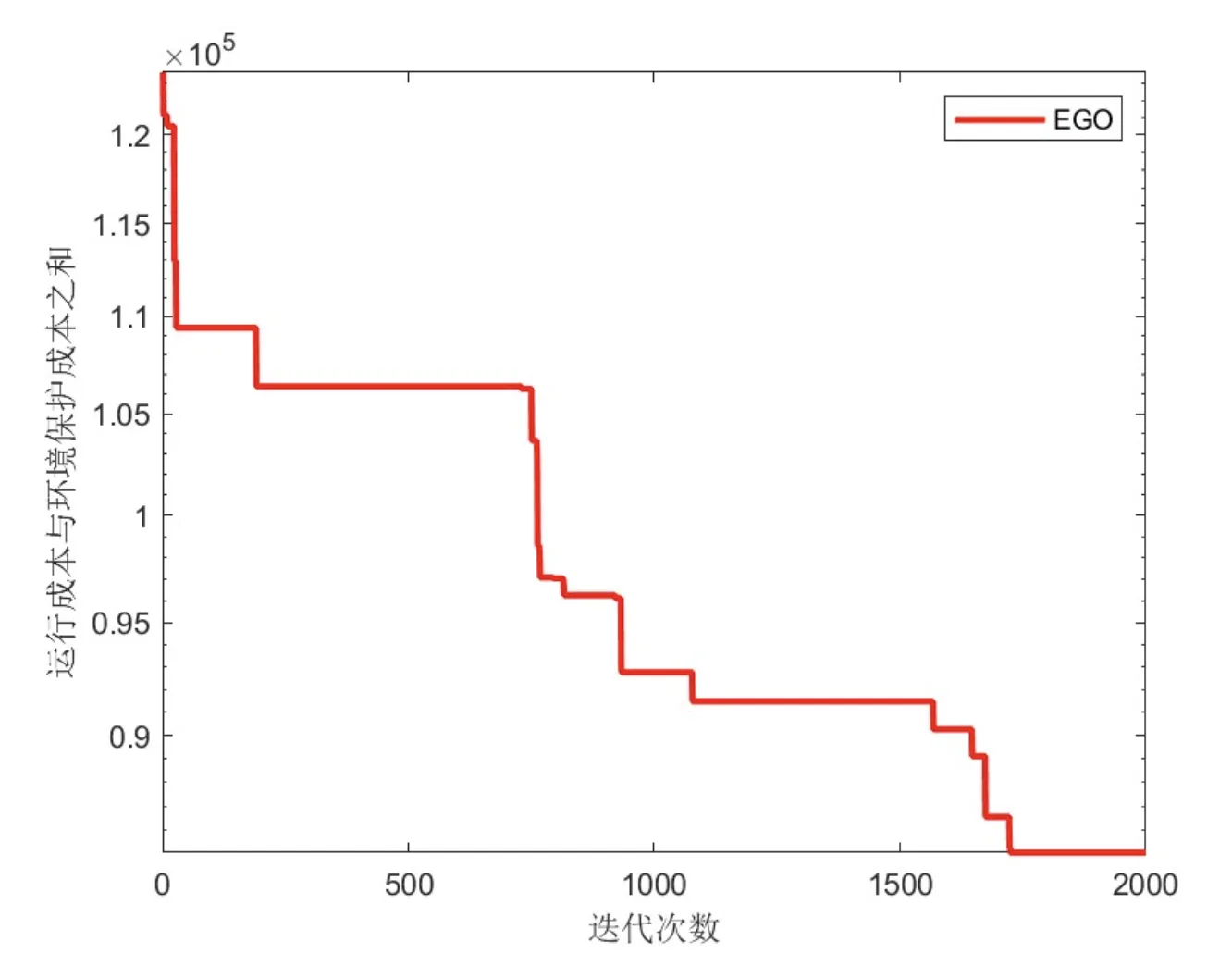
  1. 经济性分析:对比基于EGO算法的优化调度方案与传统调度方案的经济性,包括日运行成本、能源采购成本等指标。实验结果表明,基于EGO算法的优化调度方案能够显著降低日运行成本,提高经济效益。
  2. 可再生能源利用率分析:分析基于EGO算法的优化调度方案对可再生能源的利用率,包括光伏、风电等可再生能源的发电量占比等指标。实验结果表明,基于EGO算法的优化调度方案能够提高可再生能源的利用率,促进绿色能源的发展。
  3. 鲁棒性分析:通过引入可再生能源出力以及负荷需求的不确定性,分析基于EGO算法的优化调度方案的鲁棒性。实验结果表明,基于EGO算法的优化调度方案对不确定性因素具有一定的容忍度,能够提高调度策略的适应性和鲁棒性。
  4. 多目标优化分析:分析基于EGO算法的多目标优化调度方案的帕累托最优解集,为决策者提供不同目标组合下的调度方案。实验结果表明,基于EGO算法的多目标优化调度方案能够找到多个均衡的解,满足不同决策者的需求。

六、结论与展望

(一)研究结论

本研究基于EGO算法构建了微电网优化调度模型,并通过仿真实验验证了模型的有效性和优越性。实验结果表明,基于EGO算法的优化调度方案能够显著降低日运行成本、提高可再生能源利用率、增强调度策略的鲁棒性,并为决策者提供不同目标组合下的调度方案。

(二)研究展望

  1. 大规模微电网优化调度:随着微电网规模的扩大和复杂性的增加,未来可研究基于EGO算法的大规模微电网优化调度方法,提高优化计算的效率和准确性。
  2. 多能互补系统优化调度:微电网正从单一电力系统向电-热-气多能互补系统发展,未来可研究基于EGO算法的多能互补系统优化调度方法,实现能源的综合利用和优化配置。
  3. 与深度学习的融合:利用深度学习预测EGO算法的关键参数或通过强化学习指导粒子的搜索方向,实现智能优化调度。例如,结合LSTM等深度学习模型提高可再生能源出力预测的精度,为EGO算法提供更准确的输入数据。
  4. 动态调度与实时响应:结合边缘计算技术,开发轻量化EGO算法,满足微电网实时调度的毫秒级响应需求。通过分布式计算架构实现各节点的协同优化,提升系统整体调度效率。

📚2 运行结果

image.gif 编辑

image.gif 编辑

image.gif 编辑

image.gif 编辑

image.gif 编辑

🎉3 参考文献

文章中一些内容引自网络,会注明出处或引用为参考文献,难免有未尽之处,如有不妥,请随时联系删除。(文章内容仅供参考,具体效果以运行结果

相关文章
|
2月前
|
存储 传感器 分布式计算
针对大尺度L1范数优化问题的MATLAB工具箱推荐与实现
针对大尺度L1范数优化问题的MATLAB工具箱推荐与实现
|
2月前
|
机器学习/深度学习 算法 机器人
【水下图像增强融合算法】基于融合的水下图像与视频增强研究(Matlab代码实现)
【水下图像增强融合算法】基于融合的水下图像与视频增强研究(Matlab代码实现)
204 0
|
2月前
|
机器学习/深度学习 算法 自动驾驶
基于导向滤波的暗通道去雾算法在灰度与彩色图像可见度复原中的研究(Matlab代码实现)
基于导向滤波的暗通道去雾算法在灰度与彩色图像可见度复原中的研究(Matlab代码实现)
154 8
|
2月前
|
机器学习/深度学习 供应链 算法
【电动车】基于削峰填谷的电动汽车多目标优化调度策略研究(Matlab代码实现)
【电动车】基于削峰填谷的电动汽车多目标优化调度策略研究(Matlab代码实现)
|
2月前
|
算法 定位技术 计算机视觉
【水下图像增强】基于波长补偿与去雾的水下图像增强研究(Matlab代码实现)
【水下图像增强】基于波长补偿与去雾的水下图像增强研究(Matlab代码实现)
110 0
|
2月前
|
算法 机器人 计算机视觉
【图像处理】水下图像增强的颜色平衡与融合技术研究(Matlab代码实现)
【图像处理】水下图像增强的颜色平衡与融合技术研究(Matlab代码实现)
|
2月前
|
新能源 Java Go
【EI复现】参与调峰的储能系统配置方案及经济性分析(Matlab代码实现)
【EI复现】参与调峰的储能系统配置方案及经济性分析(Matlab代码实现)
106 0
|
2月前
|
机器学习/深度学习 算法 机器人
使用哈里斯角Harris和SIFT算法来实现局部特征匹配(Matlab代码实现)
使用哈里斯角Harris和SIFT算法来实现局部特征匹配(Matlab代码实现)
143 8
|
2月前
|
机器学习/深度学习 编解码 算法
基于OFDM技术的水下声学通信多径信道图像传输研究(Matlab代码实现)
基于OFDM技术的水下声学通信多径信道图像传输研究(Matlab代码实现)
136 8
|
2月前
|
机器学习/深度学习 数据采集 测试技术
基于CEEMDAN-VMD-BiLSTM的多变量输入单步时序预测研究(Matlab代码实现)
基于CEEMDAN-VMD-BiLSTM的多变量输入单步时序预测研究(Matlab代码实现)

热门文章

最新文章