Disruptor是什么?
Disruptor是一个高性能的异步处理框架,一个轻量级的JMS,和JDK中的BlockingQueue有相似处,但是它的处理速度非常快,获得2011年程序框架创新大奖,号称“一个线程一秒钟可以处理600W个订单”(这有点吓人吧),并且Disruptor不仅仅只有buffer,它提供的功能非常强大,比如它可以帮助我们轻松构建数据流处理(比如一个数据先交给A和B这2个消费者并行处理后在交给C处理,是不是有点想起storm这种流处理,实际上strom的底层就是应用了disruptor来实现worker内部threads的通信)。本文将使用disruptor最新版3.3.6进行介绍,可以在https://github.com/LMAX-Exchange/disruptor/releases 下载最新的JAR包开始disruptor之旅吧。
轮胎:RingBuffer
RingBuffer,环形缓冲区,在disruptor中扮演着非常重要的角色,理解RingBuffer的结构有利于我们理解disruptor为什么这么快、无锁的实现方式、生产者/消费者模式的实现细节。如下图所示:
数组
这个类似于轮胎的东西实际上就是一个数组,使用数组的好处当然是由于预加载的缘故使得访问比链表要快的多。
序号
RingBuffer中元素拥有序号的概念,并且序号是一直增长的,这怎么理解?比如RingBuffer大小为10,那么序号从0开始增长,当到9的时候,相当于转了一圈,如果继续增长的话,那么将覆盖0号元素。也即是说通过 序号%SIZE 来定位元素,实现set/get操作。这里也发现了和队列不同的一个方式,就是不存在元素的删除操作,只有覆盖而已,实际上RingBuffer的这种特别的环形存储方式,使得不需要花费大量的时间用于内存清理/垃圾回收。
由于涉及到取模操作,为了CPU进行位运算更加高效,RingBuffer的大小应该是2的N次方。
无锁的机制
在生产者/消费者模式下,disruptor号称“无锁并行框架”(要知道BlockingQueue是利用了Lock锁机制来实现的),这是怎么做到的呢?下面我们来具体分析下:
一个生产者 + 一个消费者
生产者维护一个生产指针P,消费者维护一个消费者指针C,当然P和C本质上就是序号。2者各操作各的,不需要锁,仅仅需要注意的是生产者和消费者的速度问题,当然这个在disruptor内部已经为我们做了处理,就是判断一下P和C之间不能超过一圈的大小。
一个生产者 + 多个消费者
多个消费者当然持有多个消费指针C1,C2,...,消费者依据C进行各自读取数据,只需要保证生产者的速度“协调”最慢的消费者的速度,就是那个不能超出一圈的概念。此时也不需要进行锁定。
多个生产者 + N个消费者
很显然,无论生产者有几个,生产者指针P只能存在一个,否则数据就乱套了。那么多个生产者之间共享一个P指针,在disruptor中实际上是利用了CAS机制来保证多线程的数据安全,也没有使用到锁。
Disruptor初体验:简单的生产者和消费者
业务数据对象POJO(Event)
|
1
2
3
4
5
6
7
8
9
10
11
12
13
14
15
16
17
18
19
20
21
22
23
24
25
26
27
28
29
30
31
32
33
34
35
|
public
class
Order {
//订单ID
private
long
id;
//订单信息
private
String info;
//订单价格
private
double
price;
public
long
getId() {
return
id;
}
public
void
setId(
long
id) {
this
.id = id;
}
public
String getInfo() {
return
info;
}
public
void
setInfo(String info) {
this
.info = info;
}
public
double
getPrice() {
return
price;
}
public
void
setPrice(
double
price) {
this
.price = price;
}
}
|
业务数据工厂(Factory)
|
1
2
3
4
5
6
7
8
9
10
|
public
class
OrderFactory
implements
EventFactory{
@Override
public
Object newInstance() {
System.out.println(
"OrderFactory.newInstance"
);
return
new
Order();
}
}
|
事件处理器(Handler,即消费者处理逻辑)
|
1
2
3
4
5
6
7
8
9
10
11
|
public
class
OrderHandler
implements
EventHandler<Order>{
@Override
public
void
onEvent(Order order,
long
l,
boolean
b)
throws
Exception {
System.out.println(Thread.currentThread().getName() +
" 消费者处理中:"
+ l);
order.setInfo(
"info"
+ order.getId());
order.setPrice(Math.random());
}
}
|
Main
|
1
2
3
4
5
6
7
8
9
10
11
12
13
14
15
16
17
18
19
20
21
22
23
24
25
26
27
28
29
30
31
32
33
34
35
36
37
38
39
|
public
class
Main {
public
static
void
main(String[] args)
throws
InterruptedException {
//创建订单工厂
OrderFactory orderFactory =
new
OrderFactory();
//ringbuffer的大小
int
RINGBUFFER_SIZE =
1024
;
//创建disruptor
Disruptor<Order> disruptor =
new
Disruptor<Order>(orderFactory,RINGBUFFER_SIZE,Executors.defaultThreadFactory());
//设置事件处理器 即消费者
disruptor.handleEventsWith(
new
OrderHandler());
disruptor.start();
RingBuffer<Order> ringBuffer = disruptor.getRingBuffer();
//-------------生产数据
for
(
int
i =
0
; i <
3
; i++){
long
sequence = ringBuffer.next();
Order order = ringBuffer.get(sequence);
order.setId(i);
ringBuffer.publish(sequence);
System.out.println(Thread.currentThread().getName() +
" 生产者发布一条数据:"
+ sequence +
" 订单ID:"
+ i);
}
Thread.sleep(
1000
);
disruptor.shutdown();
}
}
|
运行结果:
说明:
其实上面的结果已经很明显的说明了,在初始阶段构造Disruptor的时候,会调用工厂Factory去实例化RingBuffer中的Event数据对象。
另外在构造Disruptor的时候,在3.3.6之前使用的是API:
到了3.3.6这些API都不推荐使用了,即不再推荐传入Executor这样的线程池,而是推荐传入ThreadFactory线程工厂。这样的话,关闭disruptor就会自动关闭Executor线程池,而不需要像以前那样必须在关闭disruptor的时候再关闭线程池了。
构造Disruptor时,需要注意ProducerType(SINGLE or MULTI 指示是单个生产者还是多个生产者模式)、WaitStrategy(策略选择,决定了消费者如何等待生产者)。
单独使用RingBuffer:WorkerPool
如果场景比较简单,我们完全可以不用创建Disruptor,而是仅仅使用RingBuffer功能。
|
1
2
3
4
5
6
7
8
9
10
11
12
13
14
15
16
17
18
19
20
21
22
23
24
25
26
27
|
public
static
void
main(String[] args)
throws
InterruptedException {
ExecutorService executor = Executors.newFixedThreadPool(
3
);
RingBuffer<Order> ringBuffer = RingBuffer.create(ProducerType.SINGLE,
new
OrderFactory(),
1024
,
new
YieldingWaitStrategy());
WorkerPool<Order> workerPool =
new
WorkerPool<Order>(ringBuffer,ringBuffer.newBarrier(),
new
IgnoreExceptionHandler(),
new
OrderHandler());
workerPool.start(executor);
//-------------生产数据
for
(
int
i =
0
; i <
30
; i++){
long
sequence = ringBuffer.next();
Order order = ringBuffer.get(sequence);
order.setId(i);
ringBuffer.publish(sequence);
System.out.println(Thread.currentThread().getName() +
" 生产者发布一条数据:"
+ sequence +
" 订单ID:"
+ i);
}
Thread.sleep(
1000
);
workerPool.halt();
executor.shutdown();
}
|
实际上是利用WorkerPool辅助连接消费者。
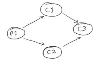
一个生产者+多个消费者
|
1
2
3
4
5
6
7
8
9
10
11
12
13
14
15
16
17
18
19
20
21
22
23
24
25
26
27
28
29
30
31
32
33
34
|
public
static
void
main(String[] args)
throws
InterruptedException {
//创建订单工厂
OrderFactory orderFactory =
new
OrderFactory();
//ringbuffer的大小
int
RINGBUFFER_SIZE =
1024
;
//创建disruptor
Disruptor<Order> disruptor =
new
Disruptor<Order>(orderFactory,RINGBUFFER_SIZE,Executors.defaultThreadFactory());
//设置事件处理器 即消费者
EventHandlerGroup<Order> eventHandlerGroup = disruptor.handleEventsWith(
new
OrderHandler(),
new
OrderHandler2());
eventHandlerGroup.then(
new
OrderHandler3());
disruptor.start();
RingBuffer<Order> ringBuffer = disruptor.getRingBuffer();
//-------------生产数据
for
(
int
i =
0
; i <
3
; i++){
long
sequence = ringBuffer.next();
Order order = ringBuffer.get(sequence);
order.setId(i);
ringBuffer.publish(sequence);
System.out.println(Thread.currentThread().getName() +
" 生产者发布一条数据:"
+ sequence +
" 订单ID:"
+ i);
}
Thread.sleep(
1000
);
disruptor.shutdown();
}
|
运行结果:
生产者生产了3条消息,一个消费者线程1消费了这3条数据,另一个消费者线程2也消费了这3条数据,2者是并行的,待消费者线程1和2完毕后,3条数据交给消费者线程3处理。
如果我们想顺序的按照A->B->C呢?
|
1
2
3
|
disruptor.handleEventsWith(
new
Handler1()).
handleEventsWith(
new
Handler2()).
handleEventsWith(
new
Handler3());
|
如果我们想六边形操作呢?
|
1
2
3
4
5
6
7
8
9
|
Handler1 h1 =
new
Handler1();
Handler2 h2 =
new
Handler2();
Handler3 h3 =
new
Handler3();
Handler4 h4 =
new
Handler4();
Handler5 h5 =
new
Handler5();
disruptor.handleEventsWith(h1, h2);
disruptor.after(h1).handleEventsWith(h4);
disruptor.after(h2).handleEventsWith(h5);
disruptor.after(h4, h5).handleEventsWith(h3);
|
到这里相信你对Disruptor已经有所了解了,那么多个生产者多个消费者如何实现呢,其实和上面的代码非常类似,无非是多个生产者都持有RingBuffer可以publish而已。






