网格最短路径算法(Dijkstra & Fast Marching)(转)

简介:   Dijkstra算法是计算图中节点之间最短路径的经典算法,网上关于Dijkstra算法原理介绍比较多,这里不再多讲。值得一提的是,当图中节点之间的权重都为1时,Dijkstra算法就变化为一般意义上的广度优先搜索算法(Breadth-first search algorithm)。

  Dijkstra算法是计算图中节点之间最短路径的经典算法,网上关于Dijkstra算法原理介绍比较多,这里不再多讲。值得一提的是,当图中节点之间的权重都为1时,Dijkstra算法就变化为一般意义上的广度优先搜索算法(Breadth-first search algorithm)。

  Dijkstra算法流程如下:

Dijkstra算法流程

 

 

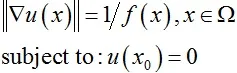
  在介绍Fast marching算法之前先提下Eikonal方程,Eikonal方程属于非线性偏微分方程,可以认为是一种近似波动方程,它的形式如下:

  Eikonal方程解u(x)的物理含义是从源点x0以速度f(x)到达计算域Ω内x点所需要消耗的最短时间。当f(x) = 1的特殊情况下,方程解就代表计算域Ω内的距离场。

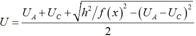
  [Sethian et al. 1999]提出的Fast marching算法是一种求解Eikonal方程的数值方法。下面首先以二维正交栅格(栅格间距为h)为例,将方程左边的梯度项用一阶近似代替后可以得到:

max(U – UA, U – UB, 0)2 + max(U – UC, U – UD, 0)2 = h2/f(x)2

  假设UA = min(UA, UB),UC = min(UC, UD),那么:

(U – UA)2 + (U – UC)2 = h2/f(x)2

  当||UA – UC || ≤ h/f(x)时,

  当||UA – UC || > h/f(x)时,U = min(UA, UC) + h/f(x)。

 

       Fast marching算法也可以用于计算三角网格上的测地距离。对于三角面片x1x2x,,因此,Eikonal方程可以近似变为如下二次方程:

(aTQa)U(x)2 + (2aTQb)U(x) + bTQb = 1/f(x)2

其中:a = [1;1],b = –[Ux1;Ux2],M = [x – x1; x – x2],Q = (MMT–1。通过求解上式方程可以得到x点的测地距离。

  Fast marching算法流程如下:

Fast marching算法流程

 

 

  Dijkstra算法和Fast marching算法思想相似,不同之处在于Dijkstra算法利用节点之间的欧式距离进行更新,而Fast marching算法利用由Eikonal方程化简得到的近似偏微分方程进行更新。

 

 

参考文献:

[1] J. A. Sethian, A. Vladimirsky. Fast methods for the eikonal and related Hamilton-Jacobi equations on unstructured meshes. (1999). Proceedings of the National Academy of Sciences, 97(11), 5699-5703.

http://www.cnblogs.com/shushen/p/5381753.html

 

相关文章
|
4月前
|
存储 运维 监控
基于 C# 语言的 Dijkstra 算法在局域网内监控软件件中的优化与实现研究
本文针对局域网监控系统中传统Dijkstra算法的性能瓶颈,提出了一种基于优先队列和邻接表优化的改进方案。通过重构数据结构与计算流程,将时间复杂度从O(V²)降至O((V+E)logV),显著提升大规模网络环境下的计算效率与资源利用率。实验表明,优化后算法在包含1000节点、5000链路的网络中,计算时间缩短37.2%,内存占用减少21.5%。该算法适用于网络拓扑发现、异常流量检测、故障定位及负载均衡优化等场景,为智能化局域网监控提供了有效支持。
96 5
|
20天前
|
机器学习/深度学习 编解码 算法
【机器人路径规划】基于迪杰斯特拉算法(Dijkstra)的机器人路径规划(Python代码实现)
【机器人路径规划】基于迪杰斯特拉算法(Dijkstra)的机器人路径规划(Python代码实现)
118 4
|
2月前
|
算法 机器人 定位技术
基于机器视觉和Dijkstra算法的平面建筑群地图路线规划matlab仿真
本程序基于机器视觉与Dijkstra算法,实现平面建筑群地图的路径规划。通过MATLAB 2022A读取地图图像,识别障碍物并进行路径搜索,支持鼠标选择起点与终点,最终显示最优路径及长度,适用于智能导航与机器人路径规划场景。
|
12月前
|
存储 人工智能 算法
数据结构与算法细节篇之最短路径问题:Dijkstra和Floyd算法详细描述,java语言实现。
这篇文章详细介绍了Dijkstra和Floyd算法,这两种算法分别用于解决单源和多源最短路径问题,并且提供了Java语言的实现代码。
640 3
数据结构与算法细节篇之最短路径问题:Dijkstra和Floyd算法详细描述,java语言实现。
|
8月前
|
存储 算法 测试技术
【狂热算法篇】探秘图论之 Floyd 算法:解锁最短路径的神秘密码(通俗易懂版)
【狂热算法篇】探秘图论之 Floyd 算法:解锁最短路径的神秘密码(通俗易懂版)
|
8月前
|
算法 编译器 C++
【狂热算法篇】探秘图论之Dijkstra 算法:穿越图的迷宫的最短路径力量(通俗易懂版)
【狂热算法篇】探秘图论之Dijkstra 算法:穿越图的迷宫的最短路径力量(通俗易懂版)
|
12月前
|
存储 算法 程序员
迪杰斯特拉(Dijkstra)算法(C/C++)
迪杰斯特拉(Dijkstra)算法(C/C++)
|
算法 定位技术
路径规划算法 - 求解最短路径 - A*(A-Star)算法
路径规划算法 - 求解最短路径 - A*(A-Star)算法
1465 1
|
机器学习/深度学习 算法 Java
算法设计(动态规划应用实验报告)实现基于贪婪技术思想的Prim算法、Dijkstra算法
这篇文章介绍了基于贪婪技术思想的Prim算法和Dijkstra算法,包括它们的伪代码描述、Java源代码实现、时间效率分析,并展示了算法的测试用例结果,使读者对贪婪技术及其应用有了更深入的理解。
算法设计(动态规划应用实验报告)实现基于贪婪技术思想的Prim算法、Dijkstra算法
|
自然语言处理 算法
HanLP — HMM隐马尔可夫模型 - 路径规划算法 - 求解最短路径 - 维特比(Viterbi)算法
HanLP — HMM隐马尔可夫模型 - 路径规划算法 - 求解最短路径 - 维特比(Viterbi)算法
199 0
HanLP — HMM隐马尔可夫模型 - 路径规划算法 - 求解最短路径 - 维特比(Viterbi)算法

热门文章

最新文章