【三变量联合分布函数copula】利用AIC BIC确定单变量最优拟合函数、利用AIC确定三变量联合最优copula函数、计算联合概率(Matlab代码实现)

简介: 【三变量联合分布函数copula】利用AIC BIC确定单变量最优拟合函数、利用AIC确定三变量联合最优copula函数、计算联合概率(Matlab代码实现)

                     💥💥💞💞欢迎来到本博客❤️❤️💥💥

🏆博主优势:🌞🌞🌞博客内容尽量做到思维缜密,逻辑清晰,为了方便读者。

⛳️座右铭:行百里者,半于九十。

⛳️赠与读者

👨‍💻做科研,涉及到一个深在的思想系统,需要科研者逻辑缜密,踏实认真,但是不能只是努力,很多时候借力比努力更重要,然后还要有仰望星空的创新点和启发点。当哲学课上老师问你什么是科学,什么是电的时候,不要觉得这些问题搞笑。哲学是科学之母,哲学就是追究终极问题,寻找那些不言自明只有小孩子会问的但是你却回答不出来的问题。建议读者按目录次序逐一浏览,免得骤然跌入幽暗的迷宫找不到来时的路,它不足为你揭示全部问题的答案,但若能让人胸中升起一朵朵疑云,也未尝不会酿成晚霞斑斓的别一番景致,万一它居然给你带来了一场精神世界的苦雨,那就借机洗刷一下原来存放在那儿的“躺平”上的尘埃吧。

    或许,雨过云收,神驰的天地更清朗.......🔎🔎🔎

💥1 概述

一、Copula函数基础理论

1. 定义与核心性质

Copula是一种将多变量联合分布函数 F(x1,…,xn) 分解为边缘分布 Fi(xi) 和依赖结构 C 的函数(Sklar定理):

image.gif 编辑

  • 边缘分布 FiFi 需连续,以保证Copula唯一性 。
    性质
  • 边界性:联合分布由边缘分布和依赖结构独立表示 。
  • 不变性:严格单调变换不改变Copula结构(如 x∗=h(x)x∗=h(x) 递增变换)。

2. 常用Copula类型

类别 具体函数 适用场景
椭圆Copula 高斯Copula、t-Copula 对称依赖,金融风险建模 
阿基米德Copula Clayton、Gumbel、Frank 非对称尾部依赖(如洪水、极值)
极值Copula Galambos、Tawn 极端事件联合概率 

尾部依赖度量

  • image.gif 编辑

二、单变量边缘分布拟合:AIC与BIC准则

步骤流程

  1. 数据准备
    获取每个变量的观测数据 {x1,x2,…,xn}。
  2. 候选分布选择 假设常见分布(正态、伽马、指数、对数正态等),估计参数:
  • 正态分布:μ^=Xˉμ^=Xˉ, σ^2=S2σ^2=S2(无偏估计)。

    image.gif 编辑

    image.gif 编辑
  • image.gif 编辑
  1. 计算AIC与BIC
  • image.gif 编辑

三、三变量联合Copula选择:AIC准则

步骤流程

  1. 边缘分布变换
    将数据转换为均匀分布变量:
    image.gif 编辑
    其中 Fi 为最优边缘分布 。
  2. 候选Copula拟合 拟合常见Copula族(如高斯、t、Clayton、Gumbel、Frank),估计参数:
  • 高斯Copula:参数为相关系数矩阵 ρρ 。

    image.gif 编辑
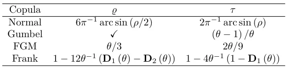
  • Gumbel Copula:参数 θ 满足 τ=(θ−1)/θ 。
  • Frank Copula:参数 θ 与 τ 关系复杂(涉及Debye函数)。
  1. AIC计算与选择
  • image.gif 编辑

尾部依赖对齐

  • Clayton:强下尾依赖(λl>0λl>0),弱上尾依赖(λu=0λu=0)。
  • Gumbel:强上尾依赖(λu>0λu>0),弱下尾依赖(λl=0λl=0)。
  • Frank:无尾部依赖(λu=λl=0λu=λl=0)。

    image.gif 编辑

四、联合概率计算

1. 基本公式

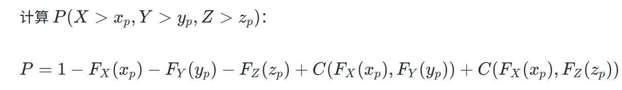
  • 三变量联合概率
    image.gif 编辑
    其中 C 为选定Copula函数 。
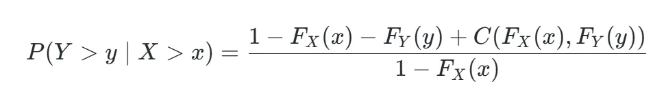
  • 条件概率
    image.gif 编辑

2. 极端事件联合概率(如洪水、金融风险)

image.gif 编辑

3. 独立事件简化

若变量独立,则:

image.gif 编辑


五、实现工具与案例参考

  1. 软件工具
  • PythonstatsmodelsGaussianCopula 模块 。
  • RVineCopula 包支持多类Copula拟合与AIC选择 。
  • MATLAB:内置Copula拟合函数(如 copulafit)。
  1. 应用案例
  • 水文:长江上游径流联合分布(寸滩、武隆、宜昌三站,用Clayton/Gumbel Copula)。
  • 金融:股票风险溢出(EVT-Copula-CoVaR模型)。
  • 气候:风暴降雨强度与持续时间依赖(高斯Copula).

六、总结流程图

image.gif 编辑

📚2 运行结果

image.gif 编辑

image.gif 编辑

image.gif 编辑

image.gif 编辑

image.gif 编辑

image.gif 编辑

部分代码:

%% 削减后的场景三维图

subplot(1,3,1)

bar3(P_wt')

l2 = xlabel('t/h');

set(l2, 'Fontname', 'Times New Roman', 'FontSize', 20)

ylabel('场景编号');

zlabel('风电出力');

subplot(1,3,2)

bar3(P_pv')

l2 = xlabel('t/h');

set(l2, 'Fontname', 'Times New Roman', 'FontSize', 20)

ylabel('场景编号');

zlabel('光伏出力');

subplot(1,3,3)

bar3(P_sum')

l2 = xlabel('t/h');

set(l2, 'Fontname', 'Times New Roman', 'FontSize', 20)

ylabel('场景编号');

zlabel('负荷');

%% 各个场景的概率

figure(3)

bar(p)

%ylim([0, 0.30]);

xlabel('场景编号');

ylabel('概率');

set(gca, 'FontSize', 20)

no = 1;

figure(4)

[ss,gg]=meshgrid(1:n_reduction,1:24);

plot3(ss,gg,P_wt, 'linewidth', 2);

title(['考虑相关性生成的风电出力', num2str(n_reduction), '个场景'])

xlabel('场景'); ylabel('时刻');zlabel('风电出力值');

set(gca,  'FontSize', 20)

set(gca,'LineWidth',2);

figure(5)

[ss,gg]=meshgrid(1:n_reduction,1:24);

plot3(ss,gg,P_pv, 'linewidth', 2);

title(['考虑相关性生成的光伏出力', num2str(n_reduction), '个场景'])

xlabel('场景'); ylabel('时刻');zlabel('光伏出力值');

set(gca,  'FontSize', 20)

set(gca,'LineWidth',2);

figure(6)

[ss,gg]=meshgrid(1:n_reduction,1:24);

plot3(ss,gg,P_sum, 'linewidth', 2);

title(['考虑相关性生成的负荷', num2str(n_reduction), '个场景'])

xlabel('场景'); ylabel('时刻');zlabel('负荷值');

set(gca,'FontSize', 20)

set(gca,'LineWidth',2);

figure(7)

subplot(1,3,1)

for i=1:10

hold on

h=cdfplot(P_wt(:,i));

set(h,'LineStyle', '-', 'LineWidth',2)

end

title('');

grid off;

%h1=legend({'1','2','3','4','5','6','7','8','9','10'},'FontSize',16);

%xlabel('Value','FontSize',16,'fontname','Times New Roman');

%legend('Location', 'Best');

%set(h1, 'Box', 'off');

ylabel('Cumulative probability','FontSize',16,'fontname','Times New Roman');

set(gca,'fontname','Times New Roman','FontWeight','bold','FontSize',20);

set(gca,'LineWidth',1.5);

subplot(1,3,2)

for i=1:n_reduction

hold on

h=cdfplot(P_pv(:,i));

set(h,'LineStyle', '-', 'LineWidth',2)

end

title('');

grid off;

%h1=legend({'1','2','3','4','5','6','7','8','9','10'},'FontSize',16);

%xlabel('Value','FontSize',16,'fontname','Times New Roman');

%legend('Location', 'Best');

%set(h1, 'Box', 'off');

%ylabel('Cumulative probability','FontSize',16,'fontname','Times New Roman');

set(gca,'fontname','Times New Roman','FontWeight','bold','FontSize',20);

set(gca,'LineWidth',1.5);

subplot(1,3,3)

for i=1:10

hold on

h=cdfplot(P_sum(:,i));

set(h,'LineStyle', '-', 'LineWidth',2)

end

title('');

grid off;

h1=legend({'1','2','3','4','5','6','7','8','9','10'},'FontSize',16);

%xlabel('Value','FontSize',16,'fontname','Times New Roman');

legend('Location', 'Best');

set(h1, 'Box', 'off');

%ylabel('Cumulative probability','FontSize',16,'fontname','Times New Roman');

set(gca,'fontname','Times New Roman','FontWeight','bold','FontSize',20);

set(gca,'LineWidth',1.5);

🎉3 参考文献

文章中一些内容引自网络,会注明出处或引用为参考文献,难免有未尽之处,如有不妥,请随时联系删除。

[1]高远(Ayantobo,Olusola Olaitan).干旱指标和Copula函数在干旱事件多变量频率分析中的应用[D].西北农林科技大学,2018.

[2]赵继超,袁越,傅质馨,等.基于Copula理论的风光互补发电系统可靠性评估[J].电力自动化设备, 2013, 33(001):124-129.DOI:10.3969/j.issn.1006-6047.2013.01.024.

[3]段偲默,苗世洪,霍雪松,等.基于动态Copula的风光联合出力建模及动态相关性分析[J].电力系统保护与控制, 2019, 47(5):8.DOI:10.7667/PSPC180149.

[4]付婷婷,边俐争,李嫚,等.基于Copula理论的风光互补配网经济运行联合配网重构优化[J].可再生能源, 2023, 41(1):122-

相关文章
|
6月前
|
算法 定位技术 计算机视觉
【水下图像增强】基于波长补偿与去雾的水下图像增强研究(Matlab代码实现)
【水下图像增强】基于波长补偿与去雾的水下图像增强研究(Matlab代码实现)
736 0
|
6月前
|
机器学习/深度学习 算法 机器人
使用哈里斯角Harris和SIFT算法来实现局部特征匹配(Matlab代码实现)
使用哈里斯角Harris和SIFT算法来实现局部特征匹配(Matlab代码实现)
305 8
|
6月前
|
机器学习/深度学习 编解码 算法
基于OFDM技术的水下声学通信多径信道图像传输研究(Matlab代码实现)
基于OFDM技术的水下声学通信多径信道图像传输研究(Matlab代码实现)
308 8
|
6月前
|
机器学习/深度学习 算法 机器人
【水下图像增强融合算法】基于融合的水下图像与视频增强研究(Matlab代码实现)
【水下图像增强融合算法】基于融合的水下图像与视频增强研究(Matlab代码实现)
613 0
|
6月前
|
算法 机器人 计算机视觉
【图像处理】水下图像增强的颜色平衡与融合技术研究(Matlab代码实现)
【图像处理】水下图像增强的颜色平衡与融合技术研究(Matlab代码实现)
212 0
|
6月前
|
新能源 Java Go
【EI复现】参与调峰的储能系统配置方案及经济性分析(Matlab代码实现)
【EI复现】参与调峰的储能系统配置方案及经济性分析(Matlab代码实现)
227 0
|
6月前
|
机器学习/深度学习 数据采集 测试技术
基于CEEMDAN-VMD-BiLSTM的多变量输入单步时序预测研究(Matlab代码实现)
基于CEEMDAN-VMD-BiLSTM的多变量输入单步时序预测研究(Matlab代码实现)
260 8
|
6月前
|
机器学习/深度学习 算法 自动驾驶
基于导向滤波的暗通道去雾算法在灰度与彩色图像可见度复原中的研究(Matlab代码实现)
基于导向滤波的暗通道去雾算法在灰度与彩色图像可见度复原中的研究(Matlab代码实现)
347 8
|
6月前
|
编解码 运维 算法
【分布式能源选址与定容】光伏、储能双层优化配置接入配电网研究(Matlab代码实现)
【分布式能源选址与定容】光伏、储能双层优化配置接入配电网研究(Matlab代码实现)
503 12
|
6月前
|
人工智能 数据可视化 网络性能优化
【顶级SCI复现】虚拟电厂的多时间尺度调度:在考虑储能系统容量衰减的同时,整合发电与多用户负荷的灵活性研究(Matlab代码实现)
【顶级SCI复现】虚拟电厂的多时间尺度调度:在考虑储能系统容量衰减的同时,整合发电与多用户负荷的灵活性研究(Matlab代码实现)
219 9

热门文章

最新文章

下一篇
开通oss服务