【SCI复现】电力系统储能调峰、调频模型研究(Matlab代码实现)

简介: 【SCI复现】电力系统储能调峰、调频模型研究(Matlab代码实现)


💥💥💞💞欢迎来到本博客❤️❤️💥💥

🏆博主优势:🌞🌞🌞博客内容尽量做到思维缜密,逻辑清晰,为了方便读者。

⛳️座右铭:行百里者,半于九十。

💥1 概述

文献来源:

image.gif 编辑

电力系统储能调峰、调频模型研究

摘要-我们考虑通过联合优化框架同时使用电池存储系统进行调峰和频率调节,该框架捕获电池退化、操作约束以及客户负载和调节信号的不确定性。在此框架下,我们使用真实数据显示,用户的电费可降低12%。此外,我们证明,当电池用于两个单独的应用程序时,联合优化的节省通常大于最优节省的总和。提出了一种简单的阈值实时算法,实现了这种超线性增益。

与之前专注于将电池存储系统用于单一应用的工作相比,我们的结果表明,如果电池联合提供多种服务,它们可以获得比以前想象的更大的经济效益。

指标术语-电池管理系统,数据中心,频率调节服务,电力系统经济。

TTERY储能系统在电力系统运行中正变得越来越重要。随着不确定性和间歇性可再生资源的渗透增加,存储系统对能源系统的稳健性、弹性和效率至关重要。例如,研究表明,到2050年,加州将需要22吉瓦的储能,而整个美国可能需要152吉瓦的储能。这些容量中的大部分预计将由个人消费者拥有的分布式存储系统实现。

目前,拥有大量存储空间的两种最突出的消费者类型是信息技术公司和大型建筑物的运营商。微软和谷歌等公司在其数据中心广泛使用电池存储,作为故障转移到现场本地发电[4]。

今天,尽管这些电池存储系统有潜力用于电网服务,但它们并没有与电力系统集成。对于存储所有者来说,电池是否参与电网服务主要取决于这些服务的经济效益。例如,在正常情况下,数据中心每四年更换一次电池[6]。如果电池参与电力市场,电池可能会更快地退化,需要更频繁地更换。来自市场的收益是否证明额外的运营和资本成本是合理的?以最佳方式运行电池以最大化其经济效益的问题是一个核心问题,并刺激了大量的研究。问题包括能源套利、调峰、频率调节、需求响应等(如[7]-[10]及其参考文献)。在过去的几年里,人们已经认识到,由于电池[11]的高资本成本,服务于单一应用往往很难证明其投资[12]是合理的。此外,选择单一应用程序并没有考虑到多种收入流的可能性,可能会“把钱留在桌子上”。

因此,最近的一系列研究已经开始分析电池的能源套利和调节服务[13],[14]的共同优化。

本文思想上接近[13],它捕捉了未来市场的不确定性和多个应用程序的时间尺度差异。但是,与[12]、[13]相比,我们的工作有两个重要的贡献:1)我们提出了电池进行调峰并提供频率调节服务的联合优化框架。该框架考虑了电池退化、操作限制以及客户负载和调节信号的不确定性。据我们所知,之前的所有工作都没有在优化模型中考虑电池的运行成本,这可能会导致激进的充放电响应和严重的次优操作[12]-[16]。

由于电池在用于频率调节和调峰时,每天循环多次,因此降解效应在决定其运行时起着重要作用。

2)我们证明了存在一个超线性增益:其中联合优化的收益大于执行单个应用的总和。我们使用来自两个大型商业用户的真实数据来量化这一收益:微软数据中心和华盛顿大学EE & CSE CSE大楼。图2给出了两种情况下的每日负荷剖面示例。超线性增益与[13]-[15]中先前的观察结果有本质区别,[13]-[15]中仅比较了单个应用的协同优化收益,而不是应用的总和。[12]的结果暗示了协同优化收益与多个收益流之和之间的关系,而主要关注的是不同应用之间的权衡及其“次可加性”。我们在工作中观察到的关键是,如果电池通过探索不同应用的多样性来共同提供多种服务,那么它们可以获得比以前想象的更大的经济效益。

一、储能调峰的基本概念与作用

  1. 调峰功能定义
    调峰指通过调节发电端与负荷端的功率平衡,应对日间或季节性的电力需求波动。储能系统在用电低谷时充电,高峰时放电,实现“削峰填谷”,降低负荷峰谷差,提升系统稳定性。例如,图3展示了储能平滑负荷曲线的效果,高峰时段储能释放电能,减少电网冲击。

image.gif 编辑

2. 技术优势

  • 灵活性:储能响应速度快(秒级至分钟级),优于传统火电机组(分钟级至小时级),尤其适用于新能源高渗透场景。
  • 经济性:通过峰谷电价差实现收益,降低系统运行成本。例如,电源侧储能可存储弃风弃光电量,提升可再生能源利用率。
  • 环保性:减少火电机组频繁启停,降低碳排放。
  1. 模型应用
  • 数学建模:采用线性规划优化储能容量配置,目标函数为最小化年运行成本与投资成本之和,约束条件包括充放电功率、SOC(荷电状态)范围等。
  • 仿真验证:基于MATLAB/Simulink构建多时间尺度模型,验证削峰填谷效果及经济性。

二、储能调频的基本原理与功能

  1. 调频机制
  • 一次调频:通过机组调速器自动响应秒级频率波动,属有差调节。储能通过虚拟惯性控制模拟同步发电机特性,提升系统阻尼。
  • 二次调频(AGC) :通过自动发电控制平复分钟级波动,属无差调节。储能双向响应(充放电深度达200%),可替代部分传统调频资源。
  1. 技术优势
  • 精度与速度:电化学储能(如锂电池)响应速度达毫秒级,调频精度提升30%以上。
  • 设备保护:减少火电机组调频动作次数,延长汽轮机叶片寿命。
  1. 模型构建
  • 控制模型:基于PI控制器设计有功功率指令,输入为母线频率偏差,输出为储能充放电功率(公式示例:Pcmd=KpΔf+Ki∫Δf dtPcmd=KpΔf+Ki∫Δfdt)。
  • 经济性模型:考虑调频收益(如东北电网AGC奖惩机制)与电池退化成本,优化充放电策略。

三、储能调峰调频模型的主要类型

  1. 数学模型
  • 优化模型:双层优化框架,上层决策储能容量,下层模拟多时间尺度运行(如差分进化算法+Gurobi求解器)。
  • 经济性模型:联合调峰调频收益分析,实现超线性经济效益提升(如MATLAB/CVX平台仿真)。
  1. 仿真模型
  • 离线仿真:基于历史负荷数据构建典型日场景,评估储能削峰能力与调频贡献。
  • 动态仿真:MATLAB/Simulink模型模拟混合储能(锂电池+超级电容)协同控制,延长电池寿命并提升调频性能。
  1. 深度学习模型
  • POA-BiGRU网络:结合特征降维(KPCA)与时序预测,提升调峰调频工况下的SOC估计精度(误差<1%)。

关键参数与技术指标

参数类型 典型指标 引用来源
充放电效率 锂离子电池:85%-95%
响应时间 飞轮储能:毫秒级;锂电池:秒级
循环寿命 锂电池:3000-6000次(80%容量保持)
经济性指标 投资回报率:调频>调峰(AGC收益高)

四、典型案例分析

  1. 国内项目
  • 南网佛山南海项目:300MW/600MWh锂电池储能,全国首个多技术路线站点,提升调峰调频能力并减少弃风弃光。
  • 内蒙古飞轮储能:10套100kW/20kWh飞轮阵列,极端低温下稳定运行,验证规模化调频技术。
  1. 国际项目
  • 美国Beacon Power:20MW飞轮储能电站,200台机组并联,提供秒级调频服务。

五、技术挑战与优化方案

  1. 挑战
  • 容量配置:新能源波动性导致储能需求动态变化,传统静态模型难以适应。
  • 寿命衰减:频繁充放电加速电池退化,增加运维成本。
  1. 解决方案
  • 自适应控制:基于SOC的调频功率分配,限制电池深度放电(如模糊控制策略)。
  • 多目标优化:兼顾碳足迹约束与联络线偏差控制,实现经济-环保双目标最优。

六、最新研究进展(2020年后)

  1. 多时间尺度协同
  • 基于SOC分区控制,调峰与调频协同策略提升储能利用率16%-37%。
  1. 智能算法应用
  • 模型预测控制(MPC)优化光储电站出力,频率偏差减少61.8%。
  1. 混合储能系统
  • 锂电池+超级电容联合调频,降低电池日均使用次数60%,综合收益提高34%。

七、结论与展望

储能调峰调频模型正向多时间尺度协同、智能化与混合化方向发展。未来需进一步探索:

  1. 高精度建模:融合数字孪生与实时数据,提升模型预测能力。
  2. 政策-技术协同:完善市场机制(如容量电价、辅助服务补偿),推动储能商业化。
  3. 多能互补:结合氢能、压缩空气储能,构建多元灵活性资源池。

通过技术创新与工程实践,储能将成为高比例可再生能源电力系统的核心调节工具,助力“双碳”目标实现。

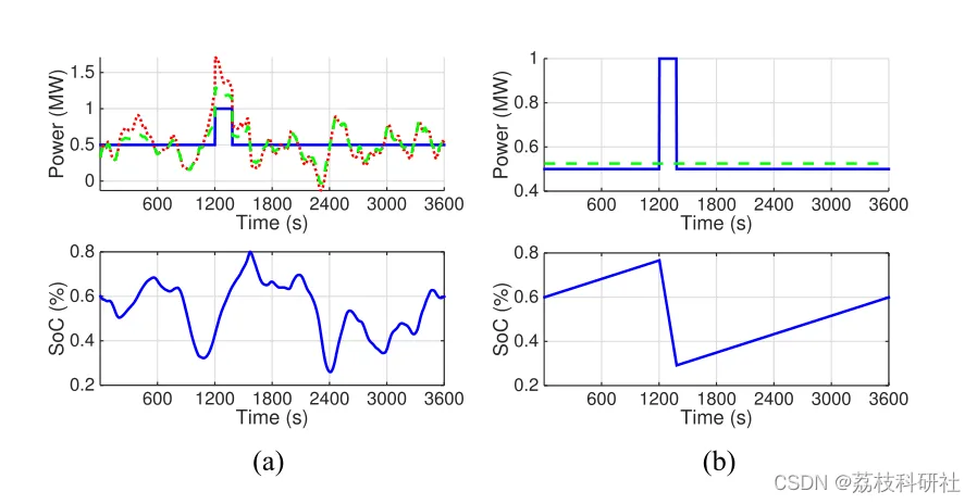
📚2 运行结果

2.1 文献结果

image.gif 编辑

image.gif 编辑

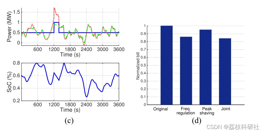
2.2 复现结果

image.gif 编辑

image.gif 编辑

image.gif 编辑

image.gif 编辑

🎉3 资料获取,更多粉丝福利,MATLAB|Simulink|Python资源获取【请看主页然后私信】

相关文章
|
3月前
|
算法 定位技术 计算机视觉
【水下图像增强】基于波长补偿与去雾的水下图像增强研究(Matlab代码实现)
【水下图像增强】基于波长补偿与去雾的水下图像增强研究(Matlab代码实现)
178 0
|
3月前
|
算法 机器人 计算机视觉
【图像处理】水下图像增强的颜色平衡与融合技术研究(Matlab代码实现)
【图像处理】水下图像增强的颜色平衡与融合技术研究(Matlab代码实现)
150 0
|
3月前
|
机器学习/深度学习 编解码 算法
基于OFDM技术的水下声学通信多径信道图像传输研究(Matlab代码实现)
基于OFDM技术的水下声学通信多径信道图像传输研究(Matlab代码实现)
227 8
|
3月前
|
机器学习/深度学习 数据采集 测试技术
基于CEEMDAN-VMD-BiLSTM的多变量输入单步时序预测研究(Matlab代码实现)
基于CEEMDAN-VMD-BiLSTM的多变量输入单步时序预测研究(Matlab代码实现)
135 8
|
3月前
|
机器学习/深度学习 算法 机器人
【水下图像增强融合算法】基于融合的水下图像与视频增强研究(Matlab代码实现)
【水下图像增强融合算法】基于融合的水下图像与视频增强研究(Matlab代码实现)
399 0
|
3月前
|
新能源 Java Go
【EI复现】参与调峰的储能系统配置方案及经济性分析(Matlab代码实现)
【EI复现】参与调峰的储能系统配置方案及经济性分析(Matlab代码实现)
149 0
|
3月前
|
机器学习/深度学习 算法 机器人
使用哈里斯角Harris和SIFT算法来实现局部特征匹配(Matlab代码实现)
使用哈里斯角Harris和SIFT算法来实现局部特征匹配(Matlab代码实现)
210 8
|
3月前
|
机器学习/深度学习 算法 自动驾驶
基于导向滤波的暗通道去雾算法在灰度与彩色图像可见度复原中的研究(Matlab代码实现)
基于导向滤波的暗通道去雾算法在灰度与彩色图像可见度复原中的研究(Matlab代码实现)
229 8
|
3月前
|
编解码 运维 算法
【分布式能源选址与定容】光伏、储能双层优化配置接入配电网研究(Matlab代码实现)
【分布式能源选址与定容】光伏、储能双层优化配置接入配电网研究(Matlab代码实现)
209 12
|
3月前
|
人工智能 数据可视化 网络性能优化
【顶级SCI复现】虚拟电厂的多时间尺度调度:在考虑储能系统容量衰减的同时,整合发电与多用户负荷的灵活性研究(Matlab代码实现)
【顶级SCI复现】虚拟电厂的多时间尺度调度:在考虑储能系统容量衰减的同时,整合发电与多用户负荷的灵活性研究(Matlab代码实现)
167 9

热门文章

最新文章