1. 两数之和 II
给定一个已按照 非递减顺序排列 的整数数组 numbers ,请你从数组中找出两个数满足相加之和等于目标数 target 。
函数应该以长度为 2 的整数数组的形式返回这两个数的下标值。numbers 的下标 从 1 开始计数 ,所以答案数组应当满足 1 <= answer[0] < answer[1] <= numbers.length 。
你可以假设每个输入 只对应唯一的答案 ,而且你 不可以 重复使用相同的元素。
示例 1:
输入:numbers = [2,7,11,15], target = 9
输出:[1,2]
解释:2 与 7 之和等于目标数 9 。因此 index1 = 1, index2 = 2 。
示例 2:
输入:numbers = [2,3,4], target = 6
输出:[1,3]
示例 3:
输入:numbers = [-1,0], target = -1
输出:[1,2]
提示:
2 <= numbers.length <= 3 * 10^4
-1000 <= numbers[i] <= 1000
numbers 按 非递减顺序 排列
-1000 <= target <= 1000
仅存在一个有效答案
代码:
class Solution { public int[] twoSum(int[] numbers, int target) { int[] answer = new int[2]; int n = numbers.length; for (int i = 0; i < n - 1; i++) { int t = target - numbers[i]; answer[0] = i + 1; for (int j = i + 1; j < n; j++) { if (numbers[j] > t) { break; } if (numbers[j] == t) { answer[1] = j + 1; break; } } if (answer[1] != 0) { break; } } return answer; } }
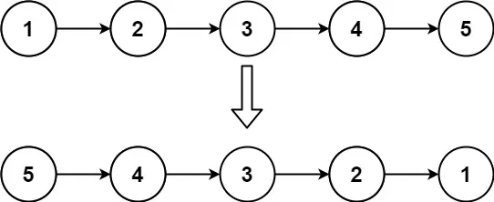
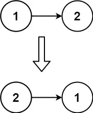
2. 反转链表
给你单链表的头节点 head ,请你反转链表,并返回反转后的链表。
示例 1:
输入:head = [1,2,3,4,5]
输出:[5,4,3,2,1]
示例 2:
输入:head = [1,2]
输出:[2,1]
示例 3:
输入:head = []
输出:[]
提示:
链表中节点的数目范围是 [0, 5000]
-5000 <= Node.val <= 5000
进阶:链表可以选用迭代或递归方式完成反转。你能否用两种方法解决这道题?
代码:
public class ListNode { int val; ListNode next; ListNode(int x) { val = x; } } class Solution { public ListNode reverseList(ListNode head) { ListNode pre = null; while (head != null) { ListNode tmp = head.next; head.next = pre; pre = head; head = tmp; } return pre; } }
3. 二叉树的层序遍历 II
给定一个二叉树,返回其节点值自底向上的层序遍历。 (即按从叶子节点所在层到根节点所在的层,逐层从左向右遍历)
例如:给定二叉树 [3,9,20,null,null,15,7],
3
/ \
9 20
/ \
15 7
返回其自底向上的层序遍历为:
[
[15,7],
[9,20],
[3]
]
代码:
public class TreeNode { int val; TreeNode left; TreeNode right; TreeNode(int x) { val = x; } } class Solution { public List<List<Integer>> levelOrderBottom(TreeNode root) { List<List<Integer>> list1 = new ArrayList<>(); if (root == null) return list1; Queue<TreeNode> queue = new LinkedList<>(); queue.add(root); while (!queue.isEmpty()) { List<Integer> list2 = new ArrayList<>(); int count = queue.size(); for (int i = 0; i < count; i++) { TreeNode node = queue.poll(); list2.add(node.val); if (node.left != null) queue.add(node.left); if (node.right != null) queue.add(node.right); } list1.add(0, list2); } return list1; } }
附录
DFS 深度优先搜索算法
Depth-First-Search,是一种用于遍历或搜索树或图的算法。这个算法会尽可能深的搜索树的分支。当节点v的所在边都己被探寻过,搜索将回溯到发现节点v的那条边的起始节点。这一过程一直进行到已发现从源节点可达的所有节点为止。如果还存在未被发现的节点,则选择其中一个作为源节点并重复以上过程,整个进程反复进行直到所有节点都被访问为止。
BFS 广度优先搜索算法
Breadth-First Search,又译作宽度优先搜索,或横向优先搜索,是一种图形搜索算法。简单的说,BFS是从根节点开始,沿着树的宽度遍历树的节点。如果所有节点均被访问,则算法中止。
BFS 和 DFS 的区别
1 数据结构
bfs 遍历节点是先进先出,一般使用队列作为辅助数据结构
dfs遍历节点是先进后出,一般使用栈作为辅助数据结构
2 访问节点的方式
bfs是按层次访问的,先访问源点,再访问它的所有相邻节点,并且标记结点已访问,根据每个邻居结点的访问顺序,依次访问它们的邻居结点,并且标记节点已访问,重复这个过程,一直访问到目标节点或无未访问的节点为止。
dfs 是按照一个路径一直访问到底,当前节点没有未访问的邻居节点时,然后回溯到上一个节点,不断的尝试,直到访问到目标节点或所有节点都已访问。
3 应用
bfs 适用于求源点与目标节点距离近的情况,例如:求最短路径。
dfs 更适合于求解一个任意符合方案中的一个或者遍历所有情况,例如:全排列、拓扑排序、求到达某一点的任意一条路径。

